



参考答案:
一、1.3 ℃ -2 ℃
2.6 4 12 25 二五
3.200
4.351.68 502.4
5.169.56 56.52
6.10 7.24 8.16 5
9.40:1
10. 正 反
二、1.√ 2.× 3.× 4.√ 5.√
三、1.C 2.A 3.D 4.C 5.C
四、x=64 x=x=x=5
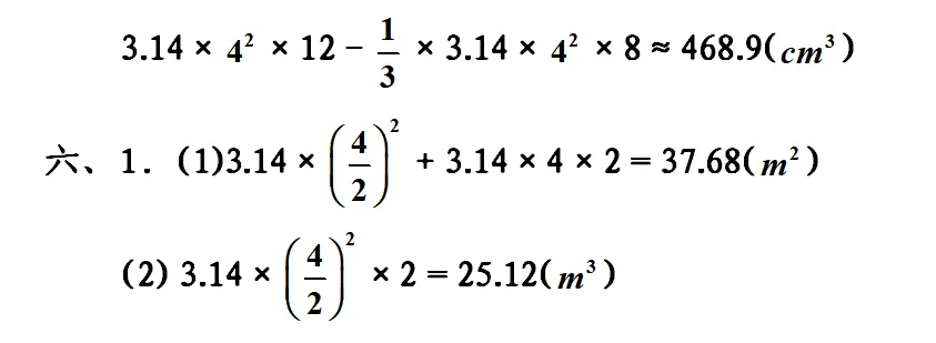
五、8÷2=4(cm)

2.(27600-24000)÷24000÷3=5%
3.甲品牌:400÷200=2 2×100=200(元)
400-200=200(元)
乙品牌:400×60%×95%=240×95%=228(元)
200<228 甲品牌的更便宜。
4.16×6×3÷18=16(dm)
5.解:设运行12周需要x小时。

x=22.8
6.27÷=54000000(cm)=540(km)
540÷90=6(小时)
7.解:设需要增加x人。
10×12=(10+x)×(12-4)
x=5
夜雨聆风