当前位置:首页>文档>高三开学学情调研卷01(摸底考试)(解析版)(北京专用)(1)_1多考区联考_0914黄金卷:2024-2025学年高二上学期入学摸底考试数学试卷21套(含答题卡)

高三开学学情调研卷01(摸底考试)(解析版)(北京专用)(1)_1多考区联考_0914黄金卷:2024-2025学年高二上学期入学摸底考试数学试卷21套(含答题卡)

  • 2026-04-15 20:36:21 2026-02-11 00:48:44

文档预览

高三开学学情调研卷01(摸底考试)(解析版)(北京专用)(1)_1多考区联考_0914黄金卷:2024-2025学年高二上学期入学摸底考试数学试卷21套(含答题卡)
高三开学学情调研卷01(摸底考试)(解析版)(北京专用)(1)_1多考区联考_0914黄金卷:2024-2025学年高二上学期入学摸底考试数学试卷21套(含答题卡)
高三开学学情调研卷01(摸底考试)(解析版)(北京专用)(1)_1多考区联考_0914黄金卷:2024-2025学年高二上学期入学摸底考试数学试卷21套(含答题卡)
高三开学学情调研卷01(摸底考试)(解析版)(北京专用)(1)_1多考区联考_0914黄金卷:2024-2025学年高二上学期入学摸底考试数学试卷21套(含答题卡)
高三开学学情调研卷01(摸底考试)(解析版)(北京专用)(1)_1多考区联考_0914黄金卷:2024-2025学年高二上学期入学摸底考试数学试卷21套(含答题卡)
高三开学学情调研卷01(摸底考试)(解析版)(北京专用)(1)_1多考区联考_0914黄金卷:2024-2025学年高二上学期入学摸底考试数学试卷21套(含答题卡)
高三开学学情调研卷01(摸底考试)(解析版)(北京专用)(1)_1多考区联考_0914黄金卷:2024-2025学年高二上学期入学摸底考试数学试卷21套(含答题卡)
高三开学学情调研卷01(摸底考试)(解析版)(北京专用)(1)_1多考区联考_0914黄金卷:2024-2025学年高二上学期入学摸底考试数学试卷21套(含答题卡)
高三开学学情调研卷01(摸底考试)(解析版)(北京专用)(1)_1多考区联考_0914黄金卷:2024-2025学年高二上学期入学摸底考试数学试卷21套(含答题卡)
高三开学学情调研卷01(摸底考试)(解析版)(北京专用)(1)_1多考区联考_0914黄金卷:2024-2025学年高二上学期入学摸底考试数学试卷21套(含答题卡)
高三开学学情调研卷01(摸底考试)(解析版)(北京专用)(1)_1多考区联考_0914黄金卷:2024-2025学年高二上学期入学摸底考试数学试卷21套(含答题卡)
高三开学学情调研卷01(摸底考试)(解析版)(北京专用)(1)_1多考区联考_0914黄金卷:2024-2025学年高二上学期入学摸底考试数学试卷21套(含答题卡)
高三开学学情调研卷01(摸底考试)(解析版)(北京专用)(1)_1多考区联考_0914黄金卷:2024-2025学年高二上学期入学摸底考试数学试卷21套(含答题卡)
高三开学学情调研卷01(摸底考试)(解析版)(北京专用)(1)_1多考区联考_0914黄金卷:2024-2025学年高二上学期入学摸底考试数学试卷21套(含答题卡)
高三开学学情调研卷01(摸底考试)(解析版)(北京专用)(1)_1多考区联考_0914黄金卷:2024-2025学年高二上学期入学摸底考试数学试卷21套(含答题卡)
高三开学学情调研卷01(摸底考试)(解析版)(北京专用)(1)_1多考区联考_0914黄金卷:2024-2025学年高二上学期入学摸底考试数学试卷21套(含答题卡)
高三开学学情调研卷01(摸底考试)(解析版)(北京专用)(1)_1多考区联考_0914黄金卷:2024-2025学年高二上学期入学摸底考试数学试卷21套(含答题卡)
高三开学学情调研卷01(摸底考试)(解析版)(北京专用)(1)_1多考区联考_0914黄金卷:2024-2025学年高二上学期入学摸底考试数学试卷21套(含答题卡)
高三开学学情调研卷01(摸底考试)(解析版)(北京专用)(1)_1多考区联考_0914黄金卷:2024-2025学年高二上学期入学摸底考试数学试卷21套(含答题卡)
高三开学学情调研卷01(摸底考试)(解析版)(北京专用)(1)_1多考区联考_0914黄金卷:2024-2025学年高二上学期入学摸底考试数学试卷21套(含答题卡)
高三开学学情调研卷01(摸底考试)(解析版)(北京专用)(1)_1多考区联考_0914黄金卷:2024-2025学年高二上学期入学摸底考试数学试卷21套(含答题卡)
高三开学学情调研卷01(摸底考试)(解析版)(北京专用)(1)_1多考区联考_0914黄金卷:2024-2025学年高二上学期入学摸底考试数学试卷21套(含答题卡)
高三开学学情调研卷01(摸底考试)(解析版)(北京专用)(1)_1多考区联考_0914黄金卷:2024-2025学年高二上学期入学摸底考试数学试卷21套(含答题卡)
高三开学学情调研卷01(摸底考试)(解析版)(北京专用)(1)_1多考区联考_0914黄金卷:2024-2025学年高二上学期入学摸底考试数学试卷21套(含答题卡)
高三开学学情调研卷01(摸底考试)(解析版)(北京专用)(1)_1多考区联考_0914黄金卷:2024-2025学年高二上学期入学摸底考试数学试卷21套(含答题卡)
高三开学学情调研卷01(摸底考试)(解析版)(北京专用)(1)_1多考区联考_0914黄金卷:2024-2025学年高二上学期入学摸底考试数学试卷21套(含答题卡)
高三开学学情调研卷01(摸底考试)(解析版)(北京专用)(1)_1多考区联考_0914黄金卷:2024-2025学年高二上学期入学摸底考试数学试卷21套(含答题卡)

文档信息

文档格式
docx
文档大小
1.144 MB
文档页数
23 页
上传时间
2026-02-11 00:48:44

文档内容

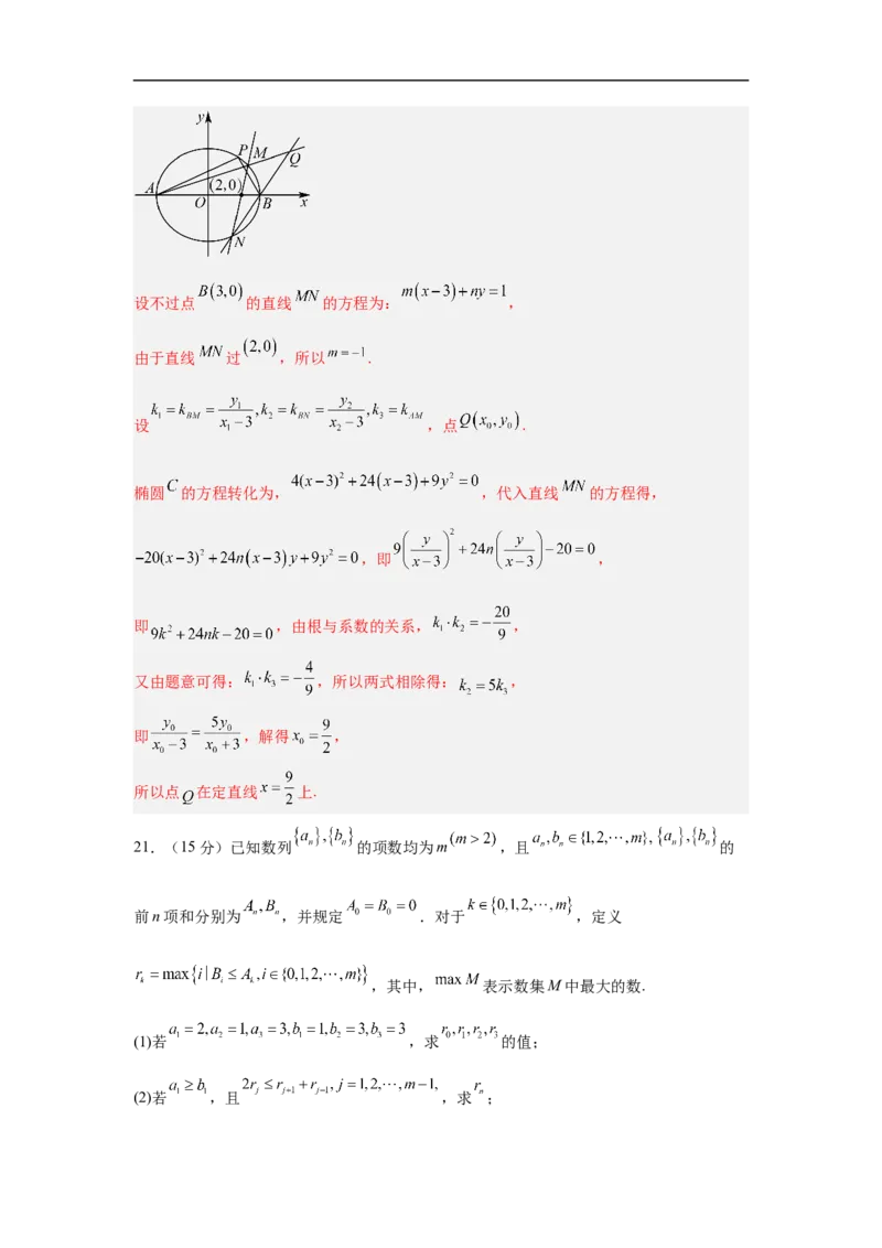
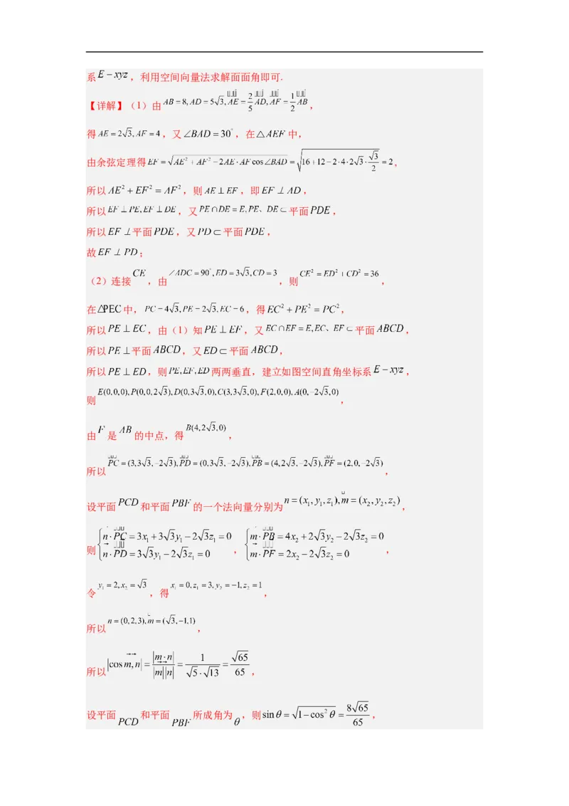
2024 年高三数学秋季开学考试(北京专用) 注意事项: 1.本试卷满分150分,考试时间120分钟. 2.答卷前,考生务必将自己的姓名、准考证号填写在答题卡上. 3.回答选择题时,选出每小题答案后,用铅笔把答题卡上对应题目的答案标号涂黑.如需 改动,用橡皮擦干净后,再选涂其它答案标号.回答非选择题时,将答案写在答题卡上, 写在本试卷上无效. 4.考试结束后,将本试卷和答题卡一并交回. 一、选择题:本大题共10小题,每小题4分,共40分.在每小题给出的四个选项中,只 有一项是符合题目要求的. 1.若集合 , ,则 ( ) A. B. C. D. 【答案】C 【分析】首先求出集合 ,再根据交集的定义计算可得. 【详解】由 ,则 , 所以 , 又 , 所以 . 故选:C 2.已知复数 ( 是虚数单位),则 的虚部是( ) A.1 B. C. D. 【答案】A 【分析】由复数的除法运算,代入计算,即可求解.【详解】 , 的虚部是1. 故选:A. 3.二项式 的展开式中常数项是( ) A.1 B.4 C.6 D.0 【答案】C 【分析】根据二项式 展开式的通项公式,令 的指数为 ,即可求出对应展开式的 常数项. 【详解】二项式 展开式的通项公式为 , 令 ,得 ,所以展开式的常数项为 . 故选: . 4.设 , 是非零向量,则“ 或 ”是“ ”的( ) A.充分不必要条件 B.必要不充分条件 C.充要条件 D.既不充分也不必要条件 【答案】A 【分析】根据数量积的运算律及充分条件、必要条件的定义判断即可. 【详解】若 ,则 ,所以 , 若 ,则 ,所以 , 故由“ 或 ”推得出“ ”,即充分性成立; 若 ,则 ,所以 , 所以由“ ”推不出“ 或 ”,故必要性不成立;所以“ 或 ”是“ ”的充分不必要条件. 故选:A 5.已知函数 ,若对任意的实数 , 在区间 上的值域均为 ,则 的取值范围为( ) A. B. C. D. 【答案】D 【分析】根据三角恒等变换化简函数解析式,再根据余弦型函数的值域与周期性可得解. 【详解】由 , 函数值域为 , 又对任意的实数 , 在区间 上的值域均为 , 则 , 解得 , 故选:D. 6.已知标准椭圆上P,Q两点的切线方程分别为 , ,则直线 PQ的斜率为( ) A. B. C.2 D. 【答案】D 【分析】设椭圆方程为 ,分别联立直线方程,根据判别式 联立求解可得 ,然后求出 坐标可得斜率.【详解】设椭圆方程为 , , 联立 消去 得 ①, 则 ②, 联立 消去 得 ③, 则 ④, 联立②④解得 , 代入①得 ,解得 ,所以 , 代入③得 ,解得 ,所以 , 所以 . 故选:D 7.若一圆锥的侧面展开图的圆心角为 ,则该圆锥的母线与底面所成角的余弦值为 ( ) A. B. C. D. 【答案】C 【分析】设圆锥的底面圆半径为 ,母线长为 ,利用侧面展开图条件建立 与 的关系式, 作出圆锥轴截面图,证明并求出线面所成角的余弦值即可. 【详解】作出圆锥的轴截面图 ,设圆锥的底面圆半径为 ,母线长为 ,依题意可得, , 即 ,因顶点 在底面的射影即底面圆圆心 ,故母线 与底面所成的角即 . 在 中, . 故选:C. 8.已知 分别为双曲线 的左、右焦点,过 的直线与双曲线 的 左支交于 两点,若 ,则双曲线 的焦距为( ) A. B. C. D. 【答案】B 【分析】利用双曲线定义、已知条件求出 、 ,设 ,由余弦定理、 求出 可得答案. 【详解】如图,由于 , 有 4,可得 , 又由 ,可得 ,设 , 在 中,由余弦定理有 . 在 中,由余弦定理有 .又由 ,有 , 可得 ,解得 ,所以双曲线 的焦距为 . 故选:B. 9.函数 ,若对任意 , ,都有 成立,则实数a的取值范围为( ) A. B. C. D. 【答案】A 【分析】由函数的单调性可求解. 【详解】因为对任意 ,都有 成立, 所以 是 上的减函数, 则 ,解得 . 故选:A. 10.已知集合 ,若 且互不相等,则使得指数函数,对数函数 ,幂函数 中至少有两个函数在 上单调递减的有序 数对 的个数是( ) A.36 B.42 C.72 D.84 【答案】C 【分析】分类讨论单调性,结合排列数、组合数运算求解. 【详解】若 和 在 上单调递减, 在 上单调递减增, 则 ,此时有序数对 的个数有: 个; 若 和 在 上单调递减, 在 上单调递增, 则 ,此时有序数对 的个数有: 个; 若 和 在 上单调递减, 在 上单调递增, 则 ,此时有序数对 的个数有: 个; 若 、 和 在 上单调递减, 则 ,此时有序数对 的个数有: 个; 综上所述:共有 个. 故选:C. 【点睛】关键点点睛:关键在于恰当的进行分类,做到不重不漏,由此即可顺利得解. 二、填空题:本大题共5小题,每小题5分,共25分. 11.已知 是圆 的直径, , 是圆 上两点,且 ,则 的最小值为 . 【答案】 【分析】设 ,分析可知点 为线段 靠近 的三等分点, ,再结合数量积的定义分析求解. 【详解】由题意可知:圆 的半径为 , 设 的中点为 , 因为 , , 则 , , , 设 ,则 ,即 , 可知点 为线段 靠近 的三等分点, 则 , , 设向量 与 的夹角为 , 可得 , 且 ,所以 的最小值为 . 故答案为: . 12.与家庭电路不同,从发电厂到用户端的高压电路只有三根火线而没有零线.实际上, 发电厂通常采用三相正弦交流进行发电,三根火线的瞬时电流表达式分别为 , .假设三根火线的电流分别进入用户端并通过一 根零线流出,则零线瞬时电流 . 【答案】0【分析】利用给定计算公式结合两角和差的正弦公式求解即可. 【详解】由题意得 , 原式 , , , . 故答案为:0 13. 的展开式中 的系数是 . (用数字作答) 【答案】40 【分析】利用通项中 的指数确定 ,然后可得. 【详解】因为 展开式的通项 , 所以含 的项为第3项,即 , 所以 的系数是 . 故答案为:40 14.已知数列 的前 项和为 ,满足 ,则 【答案】 【分析】由已知可得数列 为首项为1,公差为2的等差数列,求出 ,从而可求出 ,再利用 可求得答案.【详解】因为 , 所以数列 为首项为1,公差为2的等差数列, 所以 ,所以 , 当 时, , 因为 不满足上式, 所以 . 故答案为: 15.经研究发现:任意一个三次多项式函数 的图象都有且只有一个 对称中心点 ,其中 是 的根, 是 的导数, 是 的导数.若函数 图象的对称中心点为 ,且不等式 对任意 恒成立,则 的取值范围是 . 【答案】 【分析】首先求得 , ,而原不等式等价于 ,可以利用不等 式 放缩即可求解.【详解】 , 因为 图象的对称中心点为 ,所以 ,所以 , 由 ,所以 , 原不等式为 , 因为 ,所以 , 设 ,则 , 当 时, ,当 时, , 所以当 时, 单调递减,当 时, 单调递增, 所以 ,即 , 因为 ,当且仅当 ,即 时等号成立, 所以 ,所以其最小值为 ,故 . 故答案为: . 【点睛】关键点点睛:关键是得到 恒成立,结合切线放缩不等式 即可顺利得解. 四、解答题:本大题共6小题,共85分.解答应写出文字说明、证明过程或演算步骤. 16.(13分)记 的内角A、B、C的对边分别为a,b,c,已知 , (1)求B; (2)若 的面积为 ,求c.【答案】(1) (2) 【分析】(1)由余弦定理、平方关系依次求出 ,最后结合已知 得 的值即可; (2)首先求出 ,然后由正弦定理可将 均用含有 的式子表示,结合三角形面积 公式即可列方程求解. 【详解】(1)由余弦定理有 ,对比已知 , 可得 , 因为 ,所以 , 从而 , 又因为 ,即 , 注意到 , 所以 . (2)由(1)可得 , , ,从而 , , 而 , 由正弦定理有 ,从而 , 由三角形面积公式可知, 的面积可表示为 , 由已知 的面积为 ,可得 , 所以 . 17.(13分)如图,平面四边形ABCD中, , , , , ,点E,F满足 , ,将 沿EF翻折至 ,使得 . (1)证明: ; (2)求平面PCD与平面PBF所成的二面角的正弦值. 【答案】(1)证明见解析 (2) 【分析】(1)由题意,根据余弦定理求得 ,利用勾股定理的逆定理可证得 ,则 ,结合线面垂直的判定定理与性质即可证明; (2)由(1),根据线面垂直的判定定理与性质可证明 ,建立如图空间直角坐标系 ,利用空间向量法求解面面角即可. 【详解】(1)由 , 得 ,又 ,在 中, 由余弦定理得 , 所以 ,则 ,即 , 所以 ,又 平面 , 所以 平面 ,又 平面 , 故 ; (2)连接 ,由 ,则 , 在 中, ,得 , 所以 ,由(1)知 ,又 平面 , 所以 平面 ,又 平面 , 所以 ,则 两两垂直,建立如图空间直角坐标系 , 则 , 由 是 的中点,得 , 所以 , 设平面 和平面 的一个法向量分别为 , 则 , , 令 ,得 , 所以 , 所以 , 设平面 和平面 所成角为 ,则 ,即平面 和平面 所成角的正弦值为 . 18.(14分)某校为举办甲、乙两项不同活动,分别设计了相应的活动方案:方案一、方 案二.为了解该校学生对活动方案是否支持,对学生进行简单随机抽样,获得数据如下表: 男生 女生 不支 支持 支持 不支持 持 方案一 200人 400人 300人 100人 方案二 350人 250人 150人 250人 假设所有学生对活动方案是否支持相互独立. (Ⅰ)分别估计该校男生支持方案一的概率、该校女生支持方案一的概率; (Ⅱ)从该校全体男生中随机抽取2人,全体女生中随机抽取1人,估计这3人中恰有2 人支持方案一的概率; (Ⅲ)将该校学生支持方案二的概率估计值记为 ,假设该校一年级有500名男生和300 名女生,除一年级外其他年级学生支持方案二的概率估计值记为 ,试比较 与 的大 小.(结论不要求证明) 【答案】(Ⅰ)该校男生支持方案一的概率为 ,该校女生支持方案一的概率为 ; (Ⅱ) ,(Ⅲ) 【分析】(Ⅰ)根据频率估计概率,即得结果; (Ⅱ)先分类,再根据独立事件概率乘法公式以及分类计数加法公式求结果; (Ⅲ)先求 ,再根据频率估计概率 ,即得大小.【详解】(Ⅰ)该校男生支持方案一的概率为 , 该校女生支持方案一的概率为 ; (Ⅱ)3人中恰有2人支持方案一分两种情况,(1)仅有两个男生支持方案一,(2)仅 有一个男生支持方案一,一个女生支持方案一, 所以3人中恰有2人支持方案一概率为: ; (Ⅲ) 【点睛】本题考查利用频率估计概率、独立事件概率乘法公式,考查基本分析求解能力, 属基础题. 19.(15分)已知函数 的图象是曲线C,直线 与曲线C相切于 点 . (1)求函数 的解析式; (2)求函数 在区间 上的最大值和最小值. 【答案】(1) (2)最大值为 ,最小值为 . 【分析】(1)利用切点在直线和曲线上,结合导数的几何意义即可求解; (2)根据(1)的结论,求出 ,再利用导数法求函数的最值的步骤即可求解. 【详解】(1)因为切点为 , 所以 ,解得 . 由 ,得 , 因为直线 与曲线C相切于点 , 所以 ,解得 ,所以 , 由 ,得 . 所以函数 的解析式为: . (2)由(1)知, , 所以 , . 可得 , 令 ,则 ,解得 (舍), . 当 时, ;当 时, ; 所以 在 上单调递减,在 上单调递增. 当 时, 取的极小值,极小值为 , 又因为 , 所以当 时, 的最大值为 ,最小值为 . 20.(15分)已知椭圆 的左顶点为 ,右顶点为 ,椭 圆上不同于点 的一点 满足 . (1)求椭圆 的方程; (2)过点 的直线 交椭圆 于 两点,直线 交于点 ,证明:点 在定直线 上. 【答案】(1)(2)证明见解析 【分析】(1)由左、右顶点为 , 先求 ,再设点 的坐标,利用斜率公式表示条件 ,结合点 在椭圆上求,由此可得椭圆方程. (2)解法一(非对称韦达):设点 的坐标及直线 的方程为,联立直线与椭圆的 方程组,化简写出韦达定理,然后表示出直线 、 的方程相除结合韦达定理化简即 可;解法二(齐次化):设不过点 的直线 的方程,由题意求出 的值,然后表示出 直线 、 的斜率,设点 ,结合椭圆方程化简分析即可. 【详解】(1)如图所示: 根据题意, ,设点 的坐标为 ,由于点 在椭圆上, 所以 ,得 , 则 , 解得 ,所以椭圆 的标准方程为 . (2)解法一(非对称韦达): 由题意如图所示:设点 ,可设直线 的方程为: , 联立 ,得 , 由根与系数的关系, , 直线 的方程: ,① 直线 的方程: ,② ① ②得, 因为 , 所以 ,解得 , 因此,点 在定直线 上. 解法二(齐次化): 由题意如图所示:设不过点 的直线 的方程为: , 由于直线 过 ,所以 . 设 ,点 . 椭圆 的方程转化为, ,代入直线 的方程得, ,即 , 即 ,由根与系数的关系, , 又由题意可得: ,所以两式相除得: , 即 ,解得 , 所以点 在定直线 上. 21.(15分)已知数列 的项数均为m ,且 的 前n项和分别为 ,并规定 .对于 ,定义 ,其中, 表示数集M中最大的数. (1)若 ,求 的值; (2)若 ,且 ,求 ;(3)证明:存在 ,满足 使得 . 【答案】(1) , , , (2) (3)证明见详解 【分析】(1)先求 ,根据题意分析求解; (2)根据题意题意分析可得 ,利用反证可得 ,在结合等差数列运算求 解; (3)讨论 的大小,根据题意结合反证法分析证明. 【详解】(1)由题意可知: , 当 时,则 ,故 ; 当 时,则 ,故 ; 当 时,则 故 ; 当 时,则 ,故 ; 综上所述: , , , . (2)由题意可知: ,且 , 因为 ,且 ,则 对任意 恒成立, 所以 , 又因为 ,则 ,即 , 可得 , 反证:假设满足 的最小正整数为 , 当 时,则 ;当 时,则 ,则 , 又因为 ,则 , 假设不成立,故 , 即数列 是以首项为1,公差为1的等差数列,所以 . (3)因为 均为正整数,则 均为递增数列, (ⅰ)若 ,则可取 ,满足 使得 ; (ⅱ)若 ,则 , 构建 ,由题意可得: ,且 为整数, 反证,假设存在正整数 ,使得 , 则 ,可得 , 这与 相矛盾,故对任意 ,均有 . ①若存在正整数 ,使得 ,即 , 可取 , 满足 ,使得 ; ②若不存在正整数 ,使得 , 因为 ,且 , 所以必存在 ,使得 , 即 ,可得 , 可取 ,满足 ,使得 ; (ⅲ)若 , 定义 ,则 , 构建 ,由题意可得: ,且 为整数, 反证,假设存在正整数 ,使得 , 则 ,可得 , 这与 相矛盾,故对任意 ,均有 . ①若存在正整数 ,使得 ,即 , 可取 , 即满足 ,使得 ; ②若不存在正整数 ,使得 , 因为 ,且 , 所以必存在 ,使得 , 即 ,可得 , 可取 , 满足 ,使得 . 综上所述:存在 使得 .