当前位置:首页>文档>高二开学学情调研卷01(摸底考试)(解析版)(北京专用)(1)_1多考区联考_0914黄金卷:2024-2025学年高二上学期入学摸底考试数学试卷21套(含答题卡)

高二开学学情调研卷01(摸底考试)(解析版)(北京专用)(1)_1多考区联考_0914黄金卷:2024-2025学年高二上学期入学摸底考试数学试卷21套(含答题卡)

  • 2026-04-03 08:14:49 2026-02-11 02:27:08

文档预览

高二开学学情调研卷01(摸底考试)(解析版)(北京专用)(1)_1多考区联考_0914黄金卷:2024-2025学年高二上学期入学摸底考试数学试卷21套(含答题卡)
高二开学学情调研卷01(摸底考试)(解析版)(北京专用)(1)_1多考区联考_0914黄金卷:2024-2025学年高二上学期入学摸底考试数学试卷21套(含答题卡)
高二开学学情调研卷01(摸底考试)(解析版)(北京专用)(1)_1多考区联考_0914黄金卷:2024-2025学年高二上学期入学摸底考试数学试卷21套(含答题卡)
高二开学学情调研卷01(摸底考试)(解析版)(北京专用)(1)_1多考区联考_0914黄金卷:2024-2025学年高二上学期入学摸底考试数学试卷21套(含答题卡)
高二开学学情调研卷01(摸底考试)(解析版)(北京专用)(1)_1多考区联考_0914黄金卷:2024-2025学年高二上学期入学摸底考试数学试卷21套(含答题卡)
高二开学学情调研卷01(摸底考试)(解析版)(北京专用)(1)_1多考区联考_0914黄金卷:2024-2025学年高二上学期入学摸底考试数学试卷21套(含答题卡)
高二开学学情调研卷01(摸底考试)(解析版)(北京专用)(1)_1多考区联考_0914黄金卷:2024-2025学年高二上学期入学摸底考试数学试卷21套(含答题卡)
高二开学学情调研卷01(摸底考试)(解析版)(北京专用)(1)_1多考区联考_0914黄金卷:2024-2025学年高二上学期入学摸底考试数学试卷21套(含答题卡)
高二开学学情调研卷01(摸底考试)(解析版)(北京专用)(1)_1多考区联考_0914黄金卷:2024-2025学年高二上学期入学摸底考试数学试卷21套(含答题卡)
高二开学学情调研卷01(摸底考试)(解析版)(北京专用)(1)_1多考区联考_0914黄金卷:2024-2025学年高二上学期入学摸底考试数学试卷21套(含答题卡)
高二开学学情调研卷01(摸底考试)(解析版)(北京专用)(1)_1多考区联考_0914黄金卷:2024-2025学年高二上学期入学摸底考试数学试卷21套(含答题卡)
高二开学学情调研卷01(摸底考试)(解析版)(北京专用)(1)_1多考区联考_0914黄金卷:2024-2025学年高二上学期入学摸底考试数学试卷21套(含答题卡)
高二开学学情调研卷01(摸底考试)(解析版)(北京专用)(1)_1多考区联考_0914黄金卷:2024-2025学年高二上学期入学摸底考试数学试卷21套(含答题卡)
高二开学学情调研卷01(摸底考试)(解析版)(北京专用)(1)_1多考区联考_0914黄金卷:2024-2025学年高二上学期入学摸底考试数学试卷21套(含答题卡)
高二开学学情调研卷01(摸底考试)(解析版)(北京专用)(1)_1多考区联考_0914黄金卷:2024-2025学年高二上学期入学摸底考试数学试卷21套(含答题卡)
高二开学学情调研卷01(摸底考试)(解析版)(北京专用)(1)_1多考区联考_0914黄金卷:2024-2025学年高二上学期入学摸底考试数学试卷21套(含答题卡)
高二开学学情调研卷01(摸底考试)(解析版)(北京专用)(1)_1多考区联考_0914黄金卷:2024-2025学年高二上学期入学摸底考试数学试卷21套(含答题卡)
高二开学学情调研卷01(摸底考试)(解析版)(北京专用)(1)_1多考区联考_0914黄金卷:2024-2025学年高二上学期入学摸底考试数学试卷21套(含答题卡)
高二开学学情调研卷01(摸底考试)(解析版)(北京专用)(1)_1多考区联考_0914黄金卷:2024-2025学年高二上学期入学摸底考试数学试卷21套(含答题卡)
高二开学学情调研卷01(摸底考试)(解析版)(北京专用)(1)_1多考区联考_0914黄金卷:2024-2025学年高二上学期入学摸底考试数学试卷21套(含答题卡)
高二开学学情调研卷01(摸底考试)(解析版)(北京专用)(1)_1多考区联考_0914黄金卷:2024-2025学年高二上学期入学摸底考试数学试卷21套(含答题卡)
高二开学学情调研卷01(摸底考试)(解析版)(北京专用)(1)_1多考区联考_0914黄金卷:2024-2025学年高二上学期入学摸底考试数学试卷21套(含答题卡)

文档信息

文档格式
docx
文档大小
1.106 MB
文档页数
18 页
上传时间
2026-02-11 02:27:08

文档内容

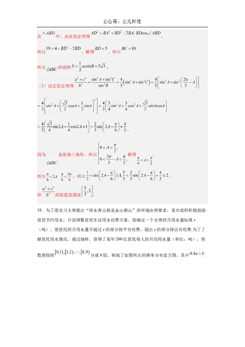
2024 年高二数学秋季开学考试(北京专用) 注意事项: 1.本试卷满分150分,考试时间120分钟. 2.答卷前,考生务必将自己的姓名、准考证号填写在答题卡上. 3.回答选择题时,选出每小题答案后,用铅笔把答题卡上对应题目的答案标号涂黑.如需 改动,用橡皮擦干净后,再选涂其它答案标号.回答非选择题时,将答案写在答题卡上, 写在本试卷上无效. 4.考试结束后,将本试卷和答题卡一并交回. 一、选择题:本大题共10小题,每小题4分,共40分.在每小题给出的四个选项中,只 有一项是符合题目要求的. 1.已知向量 , ,若 ,则 ( ) A.1或 B. 或2 C.1或 D. 或 【答案】A 【分析】运用向量平行的坐标表示求解即可. 【详解】由 ,有 ,解得 或 . 故选:A. 2.复数 (其中 为虚数单位)的虚部等于( ) A. B. C.1 D.0 【答案】B 【分析】由复数的运算法则先化简复数,根据复数虚部的概念可得答案. 【详解】 , 所以其虚部为 故选:B 3.经过点 且斜率为 的直线方程是( )A. B. C. D. 【答案】D 【分析】利用直线的点斜式方程即可得解. 【详解】因为直线经过点 且斜率为 , 所以直线方程为 ,即 . 故选:D. 4.斛是我国古代的一种量器,如图所示的斛可视为正四棱台,若该正四棱台的上、下底面 边长分别为2,4,侧面积为24,则该正四棱台的体积为( ) A.56 B. C. D. 【答案】C 【分析】先根据正四棱台的侧面积求出斜高,再求正四棱台的高,根据四棱台的体积公式 求解. 【详解】由 为四棱台的斜高. 设四棱台的高为 ,则 , 所以四棱台的体积为: . 故选:C 5.已知一组样本数据 , ,…, ( )的方差为1.2,则 , , , ⋯ 的方差为( ).A.5 B.6 C.25 D.30 【答案】D 【分析】利用方差的性质求解. 【详解】 数据 的方差为1.2, , ,…… 的方差为: . 故选:D. 6.袋中装有大小相同的5个小球,其中1个红球,2个白球,2个黑球,从袋中任意取出 两个小球,则取到红球的概率为( ). A. B. C. D. 【答案】B 【分析】利用古典概型公式,结合列举法,即可求解. 【详解】设1个红球为 ,2个白球分别为 ,2个黑球分别为 ,则从袋子中任取2 个球包含: , 共10个基本事件, 其中取到红球,包含 ,共4个基本事件, 则取出的2个球都是红球的概率 . 故选:B 7. 的内角A,B,C的对边分别为a,b,c,已知 , ,则 的面积为( ) A. B. C. D. 【答案】B 【分析】由给定条件,利用正弦定理边化角求出 ,再利用余弦定理求出 即可求出 三角形面积.【详解】在 中,由 及正弦定理,得 , 而 ,则 ,由 及余弦定理得 , , 因此 , ,则 , 所以 的面积为 . 故选:B 8.有4个大小质地相同的小球,分别标有数字 ,从中不放回的随机抽取两次,每 次取一个球.甲表示事件“第一次取出的球的数字是奇数”,乙表示事件“第一次取出的球 的数字是偶数”,丙表示事件“两次取出的球的数字之和为4”,丁表示事件“两次取出的 球的数字之和为5”,则( ) A.甲和乙相互独立 B.甲和丙相互独立 C.甲和丁相互独立 D.丁和丙相互独立 【答案】C 【分析】根据相互独立事件的定义可得答案. 【详解】 , , , , , , , , , , 对于A, ,故A错误; 对于B,因为 ,故B错误; 对于C, ,故C正确; 对于D, ,故D错误. 故选:C.9.已知两个不重合的平面 , ,三条不重合的直线a,b,c,则下列四个命题中正确的 是( ) A.若 , ,则 B.若 , ,则 C. , , , ,则 D. , , ,则 【答案】D 【分析】根据线面平行的判定定理判断A,根据空间直线的位置关系判断B,根据面面平 行的判定定理判断C,根据线面平行的性质定理判断D. 【详解】当 , , 时,不能推出 ,故A错误; 当 , 时, 可能相交,也可能异面,不能推出 ,故B错误; 当 , , , ,若 不相交,则推不出 ,故C错误; 当 , , ,由线面平行的性质定理知 ,故D正确. 故选:D 10.在四边形 中, ,将 折起, 使平面 平面 ,构成三棱锥 ,如图,则在三棱锥 中,下列结论 不正确的是( ) A. B. C.平面 平面 D.平面 平面 【答案】D 【分析】根据线面、面面垂直的判定定理以及线面、面面垂直的性质定理逐项判断即可.【详解】对于B,如图①,因为 , 所以 , 又因为 , , 所以 , 所以 , 所以 ,故B正确; 对于A,由B选项知 , 又因为平面 平面 , 平面 , 平面 平面 , 所以 平面 , 因为 平面 , 所以 ,故A正确; 对于C,由选项A知, 平面 , 因为 平面 , 所以平面 平面 ,故C正确; 对于D,如图②过点A作 ,垂足为 , 因为平面 平面 , 平面 , 平面 平面 , 所以 平面 , 显然 平面 ,所以平面 与平面 不垂直,故D错误. 故选:D. 二、填空题:本大题共5小题,每小题5分,共25分. 11.已知 则 在 上的投影向量为【答案】 【分析】根据投影向量的公式即可得解. 【详解】因为 ,且 所以 在 上的投影向量为 . 故答案为: . 12.过点 和点 的直线的斜率为 . 【答案】 【分析】利用两点斜率公式即可得解. 【详解】因为直线过点 和点 , 所以直线的斜率为 . 故答案为: . 13.数据: , , , , , , , , , 的第 百分位数为 . 【答案】 【分析】根据百分位数的定义直接计算. 【详解】将数据从小到大依次排列为 , , , , , , , , , , 又 , 所以第 百分位数为第三个数,即为 , 故答案为: . 14.已知三棱锥 , ,则三棱锥 的外接球的表面积为 . 【答案】 【分析】先证明线面垂直,再将三棱锥放置在圆柱内,利用底面外接圆半径、高与球半径 的关系即可求解. 【详解】 , , 平面 , 平面 ,平面 , 如图,设圆柱 的底面圆直径为 ,母线长(即圆柱的高)为 , 则 的中点 到圆柱底面圆上每点的距离都相等, 即 为圆柱 的外接球球心,且有外接球半径 , 故可以将三棱锥 置于以 外接圆为底面, 为高的圆柱内(如图), 其中上底面外接圆圆心为 ,下底面 外接圆的圆心为 , 因为 , 所以 外接圆的直径 , 则 ,又圆柱的高 , 所以三棱锥 外接球的半径 , 球的表面积 .故答案为: . 15.“阿基米德多面体”也称半正多面体,是由边数不全相同的正多边形围成的多面体, 它体现了数学的对称美.如图是以正方体的各条棱的中点为顶点的多面体,这是一个有八 个面为正三角形,六个面为正方形的“阿基米德多面体”,若该多面体的棱长为2,则该 多面体外接球的表面积为 . 【答案】 【分析】将该多面体补全为正方体,得出该多面体的外接球即为正方体 的 棱切球,求出该正方体的棱长得出棱切球半径,计算得到表面积. 【详解】将“阿基米德多面体”补全为正方体,如下图所示: 不妨取两棱中点为 ,由题知 , 易知 ,可得 , 所以正方体的棱长为 ,该多面体的外接球即为正方体 的棱切球, 所以棱切球的直径为该正方体的面对角线,长度为4, 因此该多面体的外接球的半径为2,所以其表面积为 . 故答案为: . 【点睛】关键点点睛:解决问题的关键是通过适当补形,求出外接球的半径,由此即可顺 利得解.三、解答题:本大题共6小题,共85分.解答应写出文字说明、证明过程或演算步骤. 16.已知平面向量 , , ,其中 . (1)若 为单位向量,且 ,求 的坐标; (2)若 且 与 垂直,求向量 , 夹角的余弦值. 【答案】(1) 或 (2) 【分析】(1)设 ,根据 和 列出关于 的方程求解即可. (2)根据垂直数量积为0,代入 的模长,求解得 .再根据夹角公式求解即可. 【详解】(1)设 ,由 和 可得: ∴ 或 , ∴ 或 ; (2)∵ , 即 , 又 , , ∴ ,∴向量 , 夹角的余弦值 . 17.在 中,角 所对的边分别是 . (1)若 是 的中点,且 ,求 的面积; (2)若 为锐角三角形,求 的取值范围. 【答案】(1) (2) 【分析】(1)利用余弦定理和正弦定理将已知等式统一成角的形式,然后利用三角函数恒 等变换公式化简可求得 ,在 中利用余弦定理求出 ,从而可求出 ,再利 用三角形的面积公式可求得 的面积; (2)利用正弦定理和三角函数恒等变换公式化简 ,得 ,然后求 出角 的范围,再利用正弦函数的性质可求得答案. 【详解】(1)由余弦定理得 , 所以 由正弦定理得 , 所以 , 又 ,所以 ,所以 , 又 ,所以 .在 中,由余弦定理得 , 所以 ,解得 ,所以 . 所以 的面积 ; (2)由正弦定理得 , 因为 是锐角三角形,所以 解得 , 所以 ,所以 , 即 的取值范围是 . 18.为了落实习主席提出“绿水青山就是金山银山”的环境治理要求,某市政府积极鼓励 居民节约用水,计划调整居民生活用水收费方案,拟确定一个合理的月用水量标准x (吨),使居民的月用水量不超过x的部分按平价收费,超出x的部分按议价收费.为了了 解居民用水情况,通过抽样,获得了某年200位居民每人的月均用水量(单位:吨),将 数据按照 分成9组,制成了如图所示的频率分布直方图,其中 .(1)求直方图中a,b的值; (2)由频率分布直方图估计该市居民用水的平均数(每组数据用该组区间中点值作为代表); (3)若该市政府希望使85%的居民每月的用水量不超过标准x(吨),估计x的值,并说明 理由. 【答案】(1) , (2) 吨 (3) 【分析】(1)结合图中数据,由直方图中所有长方形的面积之和为1列出等式,即可求出 答案; (2)由频率分布直方图中平均数的求法,直接计算即可; (3)结合图中数据易知标准 在 中,由此即可求出 的估计值. 【详解】(1)由频率分布直方图可得 , 又 ,则 , . (2)该市居民用水的平均数估计为: (吨). (3)因 的频率为 , 的频率为 , 故 的估计值为 (吨). 所以有 的居民每月的用水量不超过标准 (吨).19.甲、乙两人轮流投篮,每人每次投一球.约定甲先投,先投中者获胜,一直到有人获胜 或者每人都已投球3次时投篮结束.设甲每次投篮投中的概率为 ,乙每次投篮投中的概率 为 ,且各次投篮互不影响. (1)求甲获胜的概率; (2)求投篮结束时,甲只投了2个球的概率; (3)若用投掷一枚质地均匀硬币的方式决定甲、乙两人谁先投篮,求第3次投篮结束后,投 篮结束的概率. 【答案】(1) (2) (3) 【分析】(1)设 , 分别表示甲、乙在第 次投篮投中,设甲获胜为事件 , 则 ,由互斥事件概率的加法公式计算可得答案; (2)设投篮结束时,甲只投2个球为事件 ,则 ,由互斥事件概率 的加法公式计算可得答案; (3)设第3次投篮结束后,投篮结束为事件 ,按甲和乙谁先投篮分2中情况讨论,进而 由互斥事件概率的加法公式计算可得答案. 【详解】(1)根据题意,设 , 分别表示甲、乙在第 次投篮投中, 则 , , 设甲获胜为事件 ,则 ,而 , , 互斥, 故 (2)根据题意,设投篮结束时,甲只投2个球为事件 ,则 ,而 , 互斥, 所以 (3)根据题意,设第3次投篮结束后,投篮结束为事件 , 分两种情况讨论: 若甲先投篮,若第3次投篮结束后,投篮结束,即事件 , 若乙先投篮,若第3次投篮结束后,投篮结束,即事件 , 故 20.如图,在四棱锥 中,底面 为直角梯形, , ,平面 平面 . (1)求证: ; (2)求平面APB与平面 夹角的余弦值; (3)在棱 上是否存在点 ,使得 平面 ?若存在,求 的值;若不存在,说 明理由. 【答案】(1)证明见详解 (2) (3)不存在,理由见详解 【分析】(1)根据面面垂直的性质可得 平面 ,即可得结果; (2)建系标点,分别求平面APB与平面 法向量,利用空间向量求面面夹角; (3)设 ,分析可知 ∥ ,列式求解即可判断.【详解】(1)因为平面 平面 ,平面 平面 , 且 , 平面 ,可得 平面 , 因为 平面 ,所以 . (2)取 中点 ,连接 , 因为 ,则 , 因为平面 平面 ,平面 平面 , 平面 , 可得 平面 , 由 平面 ,可得 , 因为 ,则 , 可知四边形 是平行四边形,则 , 如图,以 为坐标原点, 为 轴,建立空间直角坐标系 , 则 可得 , 设平面APB的法向量为 ,则 , 令 ,则 ,可得 ; 设平面 的法向量为 ,则 , 令 ,则 ,可得 ; 则 ,所以平面APB与平面 夹角的余弦值为 . (3)设 , 且 ,则 , 若 平面 ,则 ∥ ,可得 ,方程无解, 所以不存在点 ,使得 平面 . 20.设n为正整数,集合A= .对于集合A中的 任意元素 和 ,记 M( )= . (Ⅰ)当n=3时,若 , ,求M( )和M( )的值; (Ⅱ)当n=4时,设B是A的子集,且满足:对于B中的任意元素 ,当 相同时, M( )是奇数;当 不同时,M( )是偶数.求集合B中元素个数的最大值; (Ⅲ)给定不小于2的n,设B是A的子集,且满足:对于B中的任意两个不同的元素 ,M( )=0.写出一个集合B,使其元素个数最多,并说明理由. 【答案】(1)2,1;(2) 最大值为4;(3) 【详解】(Ⅰ) , . (Ⅱ)考虑数对 只有四种情况: 、 、 、 ,相应的 分别为 、 、 、 , 所以 中的每个元素应有奇数个 , 所以 中的元素只可能为(上下对应的两个元素称之为互补元素): 、 、 、 , 、 、 、 , 对于任意两个只有 个 的元素 , 都满足 是偶数, 所以集合 、 、 、 满足题意, 假设 中元素个数大于等于 ,就至少有一对互补元素, 除了这对互补元素之外还有至少 个含有 个 的元素 , 则互补元素中含有 个 的元素 与之满足 不合题意, 故 中元素个数的最大值为 . (Ⅲ) , 此时 中有 个元素,下证其为最大. 对于任意两个不同的元素 , 满足 , 则 , 中相同位置上的数字不能同时为 , 假设存在 有多于 个元素,由于 与任意元素 都有 , 所以除 外至少有 个元素含有 , 根据元素的互异性,至少存在一对 , 满足 , 此时 不满足题意, 故 中最多有 个元素.