当前位置:首页>文档>2013年高考生物试卷(新课标Ⅰ)(空白卷)_生物历年高考真题_新·PDF版2008-2025·高考生物真题_生物(按省份分类)2008-2025_2008-2024·(江西)生物高考真题

2013年高考生物试卷(新课标Ⅰ)(空白卷)_生物历年高考真题_新·PDF版2008-2025·高考生物真题_生物(按省份分类)2008-2025_2008-2024·(江西)生物高考真题

  • 2026-04-12 23:51:12 2026-02-12 10:54:57

文档预览

2013年高考生物试卷(新课标Ⅰ)(空白卷)_生物历年高考真题_新·PDF版2008-2025·高考生物真题_生物(按省份分类)2008-2025_2008-2024·(江西)生物高考真题
2013年高考生物试卷(新课标Ⅰ)(空白卷)_生物历年高考真题_新·PDF版2008-2025·高考生物真题_生物(按省份分类)2008-2025_2008-2024·(江西)生物高考真题
2013年高考生物试卷(新课标Ⅰ)(空白卷)_生物历年高考真题_新·PDF版2008-2025·高考生物真题_生物(按省份分类)2008-2025_2008-2024·(江西)生物高考真题
2013年高考生物试卷(新课标Ⅰ)(空白卷)_生物历年高考真题_新·PDF版2008-2025·高考生物真题_生物(按省份分类)2008-2025_2008-2024·(江西)生物高考真题
2013年高考生物试卷(新课标Ⅰ)(空白卷)_生物历年高考真题_新·PDF版2008-2025·高考生物真题_生物(按省份分类)2008-2025_2008-2024·(江西)生物高考真题
2013年高考生物试卷(新课标Ⅰ)(空白卷)_生物历年高考真题_新·PDF版2008-2025·高考生物真题_生物(按省份分类)2008-2025_2008-2024·(江西)生物高考真题
2013年高考生物试卷(新课标Ⅰ)(空白卷)_生物历年高考真题_新·PDF版2008-2025·高考生物真题_生物(按省份分类)2008-2025_2008-2024·(江西)生物高考真题
2013年高考生物试卷(新课标Ⅰ)(空白卷)_生物历年高考真题_新·PDF版2008-2025·高考生物真题_生物(按省份分类)2008-2025_2008-2024·(江西)生物高考真题
2013年高考生物试卷(新课标Ⅰ)(空白卷)_生物历年高考真题_新·PDF版2008-2025·高考生物真题_生物(按省份分类)2008-2025_2008-2024·(江西)生物高考真题
2013年高考生物试卷(新课标Ⅰ)(空白卷)_生物历年高考真题_新·PDF版2008-2025·高考生物真题_生物(按省份分类)2008-2025_2008-2024·(江西)生物高考真题

文档信息

文档格式
pdf
文档大小
0.214 MB
文档页数
6 页
上传时间
2026-02-12 10:54:57

文档内容

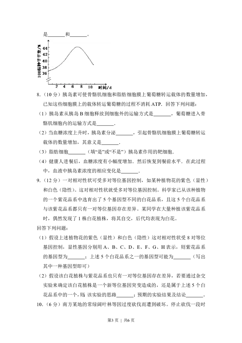
2013 年全国统一高考生物试卷(新课标Ⅰ) 一、选择题(共 6小题) 1.(6分)关于蛋白质生物合成的叙述,正确的是( ) A.一种tRNA 可以携带多种氨基酸 B.DNA聚合酶是在细胞核中合成的 C.反密码子是位于mRNA上相邻的三个碱基 D.线粒体中的DNA能控制某些蛋白质的合成 2.(6 分)关于同一个体中细胞有丝分裂和减数第一次分裂的叙述,正确的是 ( ) A.两者前期染色体数目相同,染色体行为和 DNA分子数目不同 B.两者中期染色体数目不同,染色体行为和 DNA 分子数目相同 C.两者后期染色体数目和染色体行为不同,DNA 分子数目相同 D.两者末期染色体数目和染色体行为相同,DNA分子数目不同 3.(6分)关于植物细胞主动运输方式吸收所需矿质元素离子的叙述,正确的是 ( ) A.吸收不同矿质元素离子的速率都相同 B.低温不影响矿质元素离子的吸收速率 C.主动运输矿质元素离子的过程只发生在活细胞中 D.叶肉细胞不能以主动运输的方式吸收矿质元素离子 4.(6分)示意图甲、乙、丙、丁为某实验动物感染HIV后的情况.下列叙述错 误的是( ) A B C D A.从图可以看出,HIV感染过程中存在逆转录现象 B.从图可以看出,HIV 侵入后机体能产生体液免疫 第1页 | 共6页C.从图可以推测,HIV 可能对实验药物a敏感 D.从图可以看出,HIV对实验药物b敏感 5.(6 分)某农场面积为 140hm2,农场丰富的植物资源为黑线姬鼠提供了良好 的生存条件,鼠大量繁殖吸引鹰前来捕食,某研究小组采用标志重捕法调查 该农场黑线姬鼠的种群密度,第一次捕获 100 只,标记后全部放掉,第二次 捕获280只,发现其中有2只带有标记,下列叙述错误的是( ) A.鹰的迁入率增加会影响黑线姬鼠的种群密度 B.该农场黑线姬鼠的种群密度约为100只/hm2 C.黑线姬鼠种群数量下降说明农场群落的丰富度下降 D.植物→鼠→鹰这条食物链,第三营养级含能量少 6.(6分)若用玉米为实验材料验证孟德尔分离定律,下列因素对得出正确实验 结论影响最小的是( ) A.所选实验材料是否为纯合子 B.所选相对性状的显隐性是否易于区分 C.所选相对性状是否受一对等位基因控制 D.是否严格遵守实验操作流程和统计分析方法 二、非选择题(共 6小题,满分 54分) 7.(11 分)某油料作物种子中脂肪含量为种子干重的 70%.为探究该植物种子 萌发过程中干重及脂肪的含量变化,某研究小组将种子置于温度、水分(蒸 馏水)、通气等条件适宜的黑暗环境中培养,定期检查萌发种子(含幼苗)的 脂肪含量和干重,结果表明:脂肪含量逐渐减少,到第 11d 时减少了 90%, 干重变化如图所示。 回答下列问题: (1)为了观察胚乳中的脂肪,常用 染液对种子胚乳切片染色,然后在显 微镜下观察,可见 色的脂肪微粒。 (2)实验过程中,导致萌发种子干重增加的主要元素是 (填“C”、“N” 或“O”)。 (3)实验第 11d 后,如果使萌发种子(含幼苗)的干重增加,必须提供的条件 第2页 | 共6页是 和 。 8.(10 分)胰岛素可使骨骼肌细胞和脂肪细胞膜上葡萄糖转运载体的数量增加, 已知这些细胞膜上的载体转运葡萄糖的过程不消耗ATP.回答下列问题: (1)胰岛素从胰岛 B 细胞释放到细胞外的运输方式是 ,葡萄糖进入骨 骼肌细胞内的运输方式是 . (2)当血糖浓度上升时,胰岛素分泌 ,引起骨骼肌细胞膜上葡萄糖转运 载体的数量增加,其意义是 . (3)脂肪细胞 (填“是”或“不是”)胰岛素作用的靶细胞. (4)健康人进餐后,血糖浓度有小幅度增加.然后恢复到餐前水平.在此过程 中,血液中胰岛素浓度的相应变化是 . 9.(12 分)一对相对性状可受多对等位基因控制,如某种植物花的紫色(显性) 和白色(隐性)。这对相对性状就受多对等位基因控制。科学家已从该种植物 的一个紫花品系中选育出了 5 个基因型不同的白花品系,且这 5 个白花品系 与该紫花品系都只有一对等位基因存在差异。某同学在大量种植该紫花品系 时,偶然发现了1株白花植株,将其自交,后代均表现为白花。 回答下列问题: (1)假设上述植物花的紫色(显性)和白色(隐性)这对相对性状受 8 对等位 基因控制,显性基因分别用 A、B、C、D、E、F、G、H 表示,则紫花品系 的基因型为 ;上述 5 个白花品系之一的基因型可能为 (写出 其中一种基因型即可) (2)假设该白花植株与紫花品系也只有一对等位基因存在差异,若要通过杂交 实验来确定该白花植株是一个新等位基因突变造成的,还是属于上述 5 个白 花品系中的一个,则:该实验的思路 ;预期的实验结果及结论 。 10.(6 分)南方某地的常绿阔叶林等因过度砍伐而遭到破坏。停止砍伐一段时 第3页 | 共6页间后,该地常绿阔叶林逐步得以恢复。下表为恢复过程依次更替的群落类型 及其植物组成。 演替阶段 群落类型 植物种类数/种 草本植物 灌木 乔木 1 草丛 34 0 0 2 针叶林 52 12 1 3 针、阔叶混交林 67 24 17 4 常绿阔叶林 106 31 16 回答下列问题: (1)该地常绿阔叶林恢复过程中群落演替的类型为 演替。常绿阔叶林遭 到破坏后又得以恢复的原因,除了植物的种子或者繁殖体课得到保留外,还 可能是原有的 条件也得到基本保留。 (2)在由上述群落构成的生态系统中,恢复力稳定性最强的是 生态系统, 抵抗力稳定性最强的是 生态系统。 (3)与草丛相比,针叶林中的动物分层现象较为 (填“简单”或“复杂”), 原因是 。 11.(15分)回答下列有关泡菜制作的习题: (1)制作泡菜是,所用盐水煮沸,其目的是 。为了缩短制作时间,有人 还会在冷却后的盐水中加入少量陈泡菜液,加入陈泡菜液的目的是 。 (2)泡菜制作过程中,乳酸发酵过程即为乳酸菌进行 的过程。该过程发 生在乳酸菌的 中。 (3)泡菜制作过程中影响亚硝酸盐含量的因素有 、 和 等。 (4)从开始制作到泡菜质量最佳这段时间内,泡菜液逐渐变酸,这段时间内泡 菜坛中乳酸菌和其他杂菌的消长规律是 ,原因是: 。 12.阅读如下材料: 资料甲:科学家将牛生长激素基因导入小鼠受精卵中,得到了体型巨大的“超级 小鼠”;科学家采用农杆菌转化法培育出转基因烟草。 资料乙:T 溶菌酶在翁度较高时易失去活性,科学家对编码 T 溶菌酶的基因进 4 4 行了改造,使其表达的T 溶菌酶的第3位的异亮氨酸变为半胱氨酸,在该半 4 第4页 | 共6页胱氨酸与第 97 位的半胱氨酸之间形成了一个二硫键,提高了 T 溶菌酶的耐 4 热性。 资料丙:兔甲和兔乙是同一物种的两个雌性个体,科学家兔甲受精卵发育成的胚 胎移植到兔乙的体内,成功产出兔甲的后代,证实了同一物种的胚胎可在不 同个体的体内发育。 回答下列问题: (1)资料甲属于基因工程的范畴。将基因表达载体导入小鼠的受精卵中常用 法。构建基因表达载体常用的工具酶是 和 。在培育有些转基 因植物时,常用农杆菌转化法,农杆菌的作用是 。 (2)资料乙中的技术属于 工程范畴。该工程是指以分子生物学相关理论 为基础,通过基因修饰或基因合成,对 进行改造,或制造制造一种 的技术。在该实例中,引起T4溶菌酶空间结构改变的原因是组成该酶肽链的 序列发生了改变。 (3)资料丙属于胚胎工程的范畴。胚胎移植是指将获得的早期胚胎移植到 种的、生理状态相同的另一个雌性动物体内,使之继续发育成新个体的技术。 在资料丙的实例中,兔甲称为 体,兔乙称为 体。 第5页 | 共6页第6页 | 共6页