当前位置:首页>文档>理科数学02-2024届新高三开学摸底考试卷(全国通用)(参考答案)_2024届新高三开学摸底考试卷_数学-2024届新高三开学摸底考试卷_理科数学02-2024届新高三开学摸底考试卷(全国通用)

理科数学02-2024届新高三开学摸底考试卷(全国通用)(参考答案)_2024届新高三开学摸底考试卷_数学-2024届新高三开学摸底考试卷_理科数学02-2024届新高三开学摸底考试卷(全国通用)

  • 2026-03-25 02:06:31 2026-02-12 14:15:56

文档预览

理科数学02-2024届新高三开学摸底考试卷(全国通用)(参考答案)_2024届新高三开学摸底考试卷_数学-2024届新高三开学摸底考试卷_理科数学02-2024届新高三开学摸底考试卷(全国通用)
理科数学02-2024届新高三开学摸底考试卷(全国通用)(参考答案)_2024届新高三开学摸底考试卷_数学-2024届新高三开学摸底考试卷_理科数学02-2024届新高三开学摸底考试卷(全国通用)
理科数学02-2024届新高三开学摸底考试卷(全国通用)(参考答案)_2024届新高三开学摸底考试卷_数学-2024届新高三开学摸底考试卷_理科数学02-2024届新高三开学摸底考试卷(全国通用)
理科数学02-2024届新高三开学摸底考试卷(全国通用)(参考答案)_2024届新高三开学摸底考试卷_数学-2024届新高三开学摸底考试卷_理科数学02-2024届新高三开学摸底考试卷(全国通用)
理科数学02-2024届新高三开学摸底考试卷(全国通用)(参考答案)_2024届新高三开学摸底考试卷_数学-2024届新高三开学摸底考试卷_理科数学02-2024届新高三开学摸底考试卷(全国通用)
理科数学02-2024届新高三开学摸底考试卷(全国通用)(参考答案)_2024届新高三开学摸底考试卷_数学-2024届新高三开学摸底考试卷_理科数学02-2024届新高三开学摸底考试卷(全国通用)
理科数学02-2024届新高三开学摸底考试卷(全国通用)(参考答案)_2024届新高三开学摸底考试卷_数学-2024届新高三开学摸底考试卷_理科数学02-2024届新高三开学摸底考试卷(全国通用)
理科数学02-2024届新高三开学摸底考试卷(全国通用)(参考答案)_2024届新高三开学摸底考试卷_数学-2024届新高三开学摸底考试卷_理科数学02-2024届新高三开学摸底考试卷(全国通用)
理科数学02-2024届新高三开学摸底考试卷(全国通用)(参考答案)_2024届新高三开学摸底考试卷_数学-2024届新高三开学摸底考试卷_理科数学02-2024届新高三开学摸底考试卷(全国通用)
理科数学02-2024届新高三开学摸底考试卷(全国通用)(参考答案)_2024届新高三开学摸底考试卷_数学-2024届新高三开学摸底考试卷_理科数学02-2024届新高三开学摸底考试卷(全国通用)
理科数学02-2024届新高三开学摸底考试卷(全国通用)(参考答案)_2024届新高三开学摸底考试卷_数学-2024届新高三开学摸底考试卷_理科数学02-2024届新高三开学摸底考试卷(全国通用)
理科数学02-2024届新高三开学摸底考试卷(全国通用)(参考答案)_2024届新高三开学摸底考试卷_数学-2024届新高三开学摸底考试卷_理科数学02-2024届新高三开学摸底考试卷(全国通用)
理科数学02-2024届新高三开学摸底考试卷(全国通用)(参考答案)_2024届新高三开学摸底考试卷_数学-2024届新高三开学摸底考试卷_理科数学02-2024届新高三开学摸底考试卷(全国通用)
理科数学02-2024届新高三开学摸底考试卷(全国通用)(参考答案)_2024届新高三开学摸底考试卷_数学-2024届新高三开学摸底考试卷_理科数学02-2024届新高三开学摸底考试卷(全国通用)
理科数学02-2024届新高三开学摸底考试卷(全国通用)(参考答案)_2024届新高三开学摸底考试卷_数学-2024届新高三开学摸底考试卷_理科数学02-2024届新高三开学摸底考试卷(全国通用)
理科数学02-2024届新高三开学摸底考试卷(全国通用)(参考答案)_2024届新高三开学摸底考试卷_数学-2024届新高三开学摸底考试卷_理科数学02-2024届新高三开学摸底考试卷(全国通用)
理科数学02-2024届新高三开学摸底考试卷(全国通用)(参考答案)_2024届新高三开学摸底考试卷_数学-2024届新高三开学摸底考试卷_理科数学02-2024届新高三开学摸底考试卷(全国通用)
理科数学02-2024届新高三开学摸底考试卷(全国通用)(参考答案)_2024届新高三开学摸底考试卷_数学-2024届新高三开学摸底考试卷_理科数学02-2024届新高三开学摸底考试卷(全国通用)

文档信息

文档格式
docx
文档大小
0.377 MB
文档页数
14 页
上传时间
2026-02-12 14:15:56

文档内容

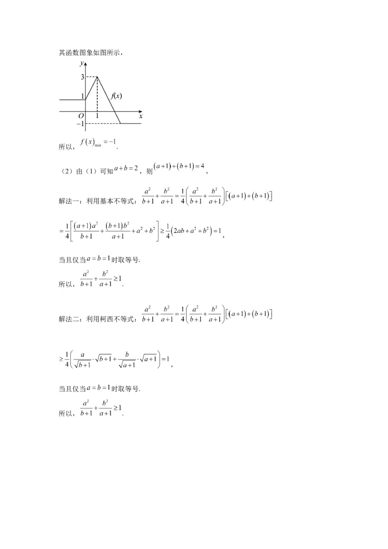
2024届新高三开学摸底考试卷(全国卷) 理科数学·参考答案02 1 2 3 4 5 6 7 8 9 10 11 12 B A D B B A C D D A A D 13. 14. /0.75 15. 16. / 17.(1)证明见解析 (2) 【详解】(1)因为 , , 所以 , , 又由 , 得 , , 所以数列 是首项为 ,公比为 的等比数列, 数列 是首项为 ,公比为 的等比数列. (2)由(1)得 , , 所以 , , 所以 ,所以 . 18.(1)证明见解析 (2)【详解】(1)设BD交AC于点O,连接EO,FO, 因为四边形ABCD为菱形,所以 . 因为ED 平面ABCD,AC 平面ABCD,所以 . 又 , 平面BDEF,所以 平面BDEF; 又 平面BDEF,所以 . 设FB=1,由题意得ED=2, . 因为FB//ED,且 面 ,则FB 平面ABCD, 而 平面ABCD,故 , , 所以 , , . 因为 ,所以 . 因为 , 平面ACF,所以EO 平面ACF. 又EO 平面EAC,所以平面EAC 平面FAC. (2)取EF中点G,连接OG,所以OG//ED,OG 底面ABCD. 以O为原点,以 分别为x轴,y轴,z轴的正方向建立空间直角坐标系, 因为 ,由(1)中所设知, , 所以, , 所以 . 所以 , , , 设平面FAE的一个法向量为 , 则 , 所以 ;平面AEC的一个法向量为 , 则 ,所以 ; 所以 , 由图形可知二面角 的平面角为锐角, 所以二面角 的大小为 . 19.(1) (2) (3)分布列见解析,40 【详解】(1)将得分为50分记为事件A;得分为50分即在六个问题的结果中,有五个满 意,一个不满意, 可能的结果共有: (种) 三名顾客产生的反馈结果总共有: (种) 则 ,∴购物中心得分为50分的概率为 (2)将顾客丙投出一个不满意记为事件B,则 , , (3) 可能的取值为2、3、4、5、6, ,2 3 4 5 6 ∵ ,∴ . 20.(1) (2) 是定值,定值为 . 【详解】(1)依题意, , , , , 所以 , 所以椭圆C的标准方程为: . (2)设过点D且斜率不为0的直线方程为 , 联立 ,消去 并整理得 , , 设 , ,则 , , 所以. 所以 为定值 . 21.(1) ; (2)证明见解析 【详解】(1)当 时, ,则 , 所以 , , 所以 在点 处的切线方程为 , 即 (2)证明:由 ,可知 , 因为 ( )是 的极值点, 所以 方程 的两个不等的正实数根, 所以 , , 则 .要证 成立, 只需证 ,即证 , 即证 ,即证 ,设 ,则 ,即证 , 令 , 则 , 所以 在 上单调递减,则 , 所以 ,故 . 22.(1)曲线 的直角坐标方程为 ,曲线 的普通方程为 ; (2) . 【详解】(1)曲线 的极坐标方程为 ,即 , 则曲线 的直角坐标方程为 , 把参数方程平方相加得曲线 的普通方程为 . (2)易知点 在直线 上,且该直线的斜率为 ,倾斜角为 , 则曲线 的参数方程为 ( 为参数), 联立曲线 的参数方程与曲线 的普通方程得 , 设点 , 在直线 上对应的参数分别为 , , 由韦达定理可得 , , .23.(1) (2)证明见解析 【详解】(1)由题知 ,其函数图象如图所示, 所以, . (2)由(1)可知 ,则 , 解法一:利用基本不等式: , 当且仅当 时取等号. 所以, . 解法二:利用柯西不等式: , 当且仅当 时取等号. 所以, .公众号:高中试卷君