当前位置:首页>文档>物理-安徽摸底考da_2023年8月_01每日更新_30号_2024届安徽省皖南八校高三上学期8月摸底大联考_安徽省2023-2024学年高三上学期摸底联考物理试题

物理-安徽摸底考da_2023年8月_01每日更新_30号_2024届安徽省皖南八校高三上学期8月摸底大联考_安徽省2023-2024学年高三上学期摸底联考物理试题

  • 2026-03-22 05:31:12 2026-02-13 09:07:42

文档预览

物理-安徽摸底考da_2023年8月_01每日更新_30号_2024届安徽省皖南八校高三上学期8月摸底大联考_安徽省2023-2024学年高三上学期摸底联考物理试题
物理-安徽摸底考da_2023年8月_01每日更新_30号_2024届安徽省皖南八校高三上学期8月摸底大联考_安徽省2023-2024学年高三上学期摸底联考物理试题
物理-安徽摸底考da_2023年8月_01每日更新_30号_2024届安徽省皖南八校高三上学期8月摸底大联考_安徽省2023-2024学年高三上学期摸底联考物理试题
物理-安徽摸底考da_2023年8月_01每日更新_30号_2024届安徽省皖南八校高三上学期8月摸底大联考_安徽省2023-2024学年高三上学期摸底联考物理试题
物理-安徽摸底考da_2023年8月_01每日更新_30号_2024届安徽省皖南八校高三上学期8月摸底大联考_安徽省2023-2024学年高三上学期摸底联考物理试题
物理-安徽摸底考da_2023年8月_01每日更新_30号_2024届安徽省皖南八校高三上学期8月摸底大联考_安徽省2023-2024学年高三上学期摸底联考物理试题
物理-安徽摸底考da_2023年8月_01每日更新_30号_2024届安徽省皖南八校高三上学期8月摸底大联考_安徽省2023-2024学年高三上学期摸底联考物理试题
物理-安徽摸底考da_2023年8月_01每日更新_30号_2024届安徽省皖南八校高三上学期8月摸底大联考_安徽省2023-2024学年高三上学期摸底联考物理试题

文档信息

文档格式
pdf
文档大小
0.593 MB
文档页数
4 页
上传时间
2026-02-13 09:07:42

文档内容

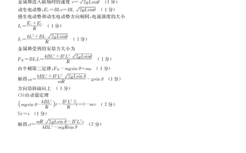
!"!#)*+,-./012&!!" %&’("3456789 $!’!())*+,-./0123456789:&;<,89=>34!(?@’*)ABCDEFG)*H I:JK&FGLM4)-.:NO&12PQRS:*T&UV*TWXAB9YZ[1234&34\] 12*T&^.5_‘J5:*T&abCDEbcde&f*?@’’)ghiXjklmnopqrNs tr&uvwxy&zNOX*T{|}l&~(cid:127)uv:*-(cid:128)RS&(cid:129);12HI)4&NO(cid:130)(cid:131)h(cid:132)(cid:133)(cid:134)& (cid:135)(cid:131))*(cid:133)(cid:136)(cid:137)G&(cid:138)(cid:139)(cid:140)(cid:141)(cid:142)(cid:143)(cid:144)}&(cid:145)(cid:146)&FG)*(cid:133)(cid:136)(cid:147)(cid:148)(cid:149)(cid:150)&f’p(cid:151)’&)R(cid:152)E:/(cid:153)-(cid:154)G(cid:155) L(cid:156)(cid:157)(cid:158):(cid:159)(cid:160)¡¢£⁄;>,¥ƒ§¤34&'(cid:143)X/(cid:153){12.“34!f&?@! !!(!«‹w›Nj}&fi⁄(cid:134)I(cid:149)fl›N:Z(cid:176)&–†‡«‹fl·j}.(cid:181){Q¶§¤&•‚⁄(cid:134)„Q¶” flI>»…&f(p(cid:151)&*’&?@! +!*!(*)†"‰:T(cid:190)¥¿&(cid:192)`# $(# + ´ˆ¥˜¯)˘!f(?@&*p(cid:151)’˙# $ ¥p)˘&fi# ! ¥q)˘& #¥p)˘&˙#¥q)˘&fi#¥p)˘&#¥q)˘!¨⁄‰)˘:)T£6JK(cid:201))˚£6JK&(cid:192) + $ ! + `&z#¥p)˘l"‰)˚¥p&z#¥q)˘l"‰)˚¥q!¸(cid:204)’&?@! $ $ ! ! #!&!$,"!!-˝˛‰„$,"!#-˝˛‰ˇ—"!!-&¥ &•‚"!#-˝˛‰ˇ(cid:209)(cid:210)(cid:211) &z(cid:212)(cid:213)¥$, . + 槡+ "!!-˝:˛‰(cid:209)‡(cid:214)(cid:215)(cid:209)(cid:216)–fl%(cid:217)q”flj}l&(cid:212)(cid:213)¥$,"!#-˝˛‰(cid:209)(cid:218)¥ &&j}”fl(cid:219)%(cid:217) ! q”fl&f¸&! /!(!()(cid:220)(cid:221)•(cid:222)&(cid:223)X&’(cid:224)·Æ(cid:226)b2ª(cid:228)(cid:229)&(cid:230)(cid:229)…(cid:231)‡ŁØ…’ $ !槡+ †Œº(cid:236)(cid:237)(cid:192)`ŁØ…’,."0&†123’, (cid:238))(, &f(p(cid:151)’*) ( + †(cid:221)(cid:192)`&(cid:223)X)’(cid:224)·:(cid:230)(cid:229)…(cid:231)‡+"0&¤‡ª(cid:228)(cid:229):ŁØ…’&< b2ª(cid:228)(cid:229)&f*?@’’)(cid:223)X&’(cid:224)·Æ(cid:226)b2ª(cid:228)(cid:229)&§¤(cid:230)(cid:229)(cid:223)(cid:239) $ (cid:240)(cid:211)&fiæ(cid:229)(cid:240)§¤&†123’, `ŁØ…(cid:242)“&fi(cid:223)X&’(cid:224)·:(cid:230) ( + (cid:229)…¤‡ŁØ…&(cid:223)X&’(cid:224)·<]b2ª(cid:228)(cid:229)&f’?@’&)(cid:242)“(cid:230)(cid:229)(cid:223)(cid:239)(cid:240)&æ(cid:229)(cid:240)(cid:243)(cid:242)“&†*, ` ( (cid:223)X"(cid:244)ı{:(cid:246)(cid:247)Q¶§¤&(cid:223)X"(cid:244)ı{(cid:246)(cid:247)ł(cid:181){?.‹23453,!$/"" !# # ! + 槡# $ 9-:.#""9-,!5;""9-&†5 1, ,, *! &@(cid:238)*,槡51 &fi * $,槡3 !""!;<&f*p(cid:151)&(’&?@! 3! 3 3 * ! 3 $ 1#,- 6 :,/123$" "#G}(cid:255)!(cid:134)HI- 6 ,"- 7# JKEF”fl- 7 ,,/=>1$4-123#$ )*"#$@(cid:238)-, ,/123$:",/=>1$ =>1#:"123# !!"!#!"#$%"!"#$%&’(!&!!!!$’#(#’$% %& {#{QQABSYQAgggoABAAABhCAQlQCAKQkBEACKgOhEAMIAABiQFABAA=}#} 书书书槡+ z#,+"0l&(cid:254)(cid:134)-L¤&L¤M¥ ,/&(cid:146)l9Y(cid:130)#V(cid:134)(cid:137)G&f(?@&*(&p(cid:151)! ! ’)EFß9Y:(cid:137)G(cid:134)(cid:149):,(cid:255)!(cid:134)- 6 (cid:201)NO(cid:134)- 7 :⁄(cid:134)&fiL?@3%, - - 6 7, " - - 7 7 , " $ & "1$$, !,*!&(cid:220)‘¤d„“dÆ(cid:226) ! *! ! ij(cid:134)&k(cid:134)(cid:219)lN”fl:(cid:252)(cid:134)mnfle(cid:134)&fi!,/:=>1$,!, &@(cid:238)=>1$, &• : + ‚&XZ‰·”“?dߤd:j(cid:134)”flo’“?d?e&XZ‰p”“?dߤd: j(cid:134)”fl(cid:149)fl“?d:?e&•‚¤d(cid:129)8j}(cid:131)9:.(cid:181){&“?dߤd:j(cid:134)< ,qr(cid:149)fl“?d:?e&f(?@’*)¤dj}(cid:131)9‰l&“?dߤd:j(cid:134)mn ¤d:fle(cid:134)&“?d„¤dø:(cid:137)G(cid:134)´ˆ<¥¿&f*p(cid:151)’’)z¤d(cid:131)“?dLs‰l&†}WˆK (cid:238)!,/A!:, $ ! !,*! ! &†tu&vˆ<(cid:192)(cid:238)- $ 4!,/,!, * : ! !&@(cid:238)- $ ,$",/&¤d(cid:131)“?dLs‰l& “dߤd:(cid:137)G(cid:134)L“’†tu&"ˆ<(cid:192)`¤dß“dflp:(cid:137)G(cid:134)L“&•‚“?dßwx(cid:137)G(cid:134) :L“M¥- ! ,!- $ :,/,!$,/&f’p(cid:151)!&)z¤dj}(cid:131)"‰pF9‰·F:# ‰l&(cid:220)(cid:221)•(cid:222);#„gK”fl:h…¥%&“dߤd:j(cid:134)¥-&fi†}WˆK !,/:#$4=>1%$, $ ! !,*! + &†fle(cid:134)HI(cid:192)`)-:!,/=>1%,!, * : ! +&†tu&"ˆ< $ $ (cid:192)`¤dß“d:j(cid:134)“¤¥-0,-&z=>1%, y l&“?dßwx:(cid:137)G(cid:134)Æ ! . (cid:226)¥¿&f&p(cid:151)! $$!#$$!!"#"--#$(cid:252)$!#/$"!"$!"#$(cid:252)$!"!"$"##$(cid:252)$!$!/.A$"4+!#!(cid:252)$ @(cid:253))#$$z{DgE:(cid:252)¶M¥"!"$--&fi|(cid:223)¢}¶¥) <,!--:#!"A"!"$--,!!"#"-- "!!:"!# #/$|(cid:223)¢(cid:129)(cid:223))~$j}(cid:131)(cid:223))~!:.(cid:181){&j(cid:127)˚W(cid:242)6(cid:128)¥)= , A"!"#B,"!"$!B >$ ! k(cid:134)˚W§¤(cid:128)¥)= >! ,,/#$ ! 4$ $ $&(cid:128)(cid:230)(cid:129)#(cid:238))= >! ,"!"$"#B (cid:237)(cid:130)˚W:(cid:242)6(cid:128)¥)=,= 4= &(cid:128)(cid:230)(cid:129)#(cid:238))=,$!."A$"4+B > >$ >! > < -.(cid:223))~:Q¶¥)*, . $ < $ < (cid:237)(cid:130)}W:§(cid:131)(cid:128)¥)=, ,# $!4 ,# $!&(cid:128)(cid:230)(cid:129)#(cid:238))=,$!/.A$"4+B) ? ! . ! . ? $ ! $!!#$$&#!(cid:252)$! #!$(cid:132))#$(cid:252)$!&#$(cid:252)$!#+$:Fc\#/0…!#$(cid:252)$ £⁄X*T{j}l&†tu&vˆ<(cid:238)) *! B*),, &!#$(cid:252)$ 3 z£⁄(cid:129)9‰(cid:229)cl&45L“&*T:*HI(cid:190)¶LL¤M&j}2'(cid:220) (cid:221)•(cid:222)) 槡! †Œº`“(cid:238))3 -@D , ! 2&!#$(cid:252)$ !,* @(cid:238))) -23 , B2 "’!#$(cid:252)$ #+$z*HI(cid:190)¶L¤l&løLœ !E )T{lø). $ , * !#$(cid:252)$ " $ *T{:Lœlø)., 4! ! !! !!, (cid:139){)4, B) -23 !!"!#!"#$%"!"#$%&’(!&!!!!+’#(#’$% %& {#{QQABSYQAgggoABAAABhCAQlQCAKQkBEACKgOhEAMIAABiQFABAA=}#}! †«‹(cid:238))$, ! !2 @(cid:238)). ! , #* !#$(cid:252)$ " £⁄c*T(cid:211)wTQKNj}&§(cid:214)(cid:252)Q¶„£⁄X)T{:§(cid:214)(cid:252)Q¶“¤ˇ(cid:231)&fj}løˇ(cid:231) . + ,. $!#$(cid:252)$ •›lø).,.:.:. $ ! + $.E:!2 £⁄(cid:129)"‰cb(cid:131)fi(cid:131)%(cid:217)·•Glø:L“M., !#$(cid:252)$ #* " $/!@)#$$ABfl(cid:176)A(cid:230)*Tl&H2)}˚)= $ ,2! & & ) . $,?2!!#!(cid:252)$ ABfl(cid:176)A(cid:230)*Tl:HI)4:“¤A $ , = : $, ? : 2! !#$(cid:252)$ $ #!$ABfl(cid:160)¡W(cid:154)(cid:155)),/2123$, ,*!!#$(cid:252)$ ! ABflA(cid:230)*Tl:Q¶*,槡!/2123$!#$(cid:252)$ }2)}˚)= ! ,)2*,)2槡!E2123$!#$(cid:252)$ H2)}˚(cid:201)}2)}˚”flˇ˜&)4(cid:190)¶:“¤ =:= A ! , $ : !!#$(cid:252)$ ?2!:)2槡!/2123$ A ! , : !#$(cid:252)$ ABfl(cid:130)(cid:131):h(cid:132)(cid:134)“¤¥ ?)2+:)!2! 槡!/2123$ -h,)A ! 2, : !#$(cid:252)$ †tu&vˆ<)-h4,/123$,,8!#$(cid:252)$ ?)2+:)!2! 槡!/2123$ @(cid:238))8, 4/123$!#$(cid:252)$ ,: ”fl(cid:219)EFfl·!#$(cid:252)$ #+$†}(cid:128)ˆK # ?)2+$ )!2!* ,/123$4 .4 .,"4,*!#!(cid:252)$ : : *.,F!#$(cid:252)$ ,:槡!/2123$4)!2!F @(cid:238))., !#!(cid:252)$ ?)2+4,/:123$ !!"!#!"#$%"!"#$%&’(!&!!!!#’#(#’$% %& {#{QQABSYQAgggoABAAABhCAQlQCAKQkBEACKgOhEAMIAABiQFABAA=}#}