当前位置:首页>文档>精品解析:辽宁省沈阳市第一二〇中学2023-2024学年高三上学期第一次质量监测数学试题(原卷版)_2023年8月_01每日更新_24号_2024届辽宁省沈阳市第120中学高三上学期第一次质量检测

精品解析:辽宁省沈阳市第一二〇中学2023-2024学年高三上学期第一次质量监测数学试题(原卷版)_2023年8月_01每日更新_24号_2024届辽宁省沈阳市第120中学高三上学期第一次质量检测

  • 2026-05-13 02:32:10 2026-02-13 13:32:35

文档预览

精品解析:辽宁省沈阳市第一二〇中学2023-2024学年高三上学期第一次质量监测数学试题(原卷版)_2023年8月_01每日更新_24号_2024届辽宁省沈阳市第120中学高三上学期第一次质量检测
精品解析:辽宁省沈阳市第一二〇中学2023-2024学年高三上学期第一次质量监测数学试题(原卷版)_2023年8月_01每日更新_24号_2024届辽宁省沈阳市第120中学高三上学期第一次质量检测
精品解析:辽宁省沈阳市第一二〇中学2023-2024学年高三上学期第一次质量监测数学试题(原卷版)_2023年8月_01每日更新_24号_2024届辽宁省沈阳市第120中学高三上学期第一次质量检测
精品解析:辽宁省沈阳市第一二〇中学2023-2024学年高三上学期第一次质量监测数学试题(原卷版)_2023年8月_01每日更新_24号_2024届辽宁省沈阳市第120中学高三上学期第一次质量检测
精品解析:辽宁省沈阳市第一二〇中学2023-2024学年高三上学期第一次质量监测数学试题(原卷版)_2023年8月_01每日更新_24号_2024届辽宁省沈阳市第120中学高三上学期第一次质量检测
精品解析:辽宁省沈阳市第一二〇中学2023-2024学年高三上学期第一次质量监测数学试题(原卷版)_2023年8月_01每日更新_24号_2024届辽宁省沈阳市第120中学高三上学期第一次质量检测
精品解析:辽宁省沈阳市第一二〇中学2023-2024学年高三上学期第一次质量监测数学试题(原卷版)_2023年8月_01每日更新_24号_2024届辽宁省沈阳市第120中学高三上学期第一次质量检测
精品解析:辽宁省沈阳市第一二〇中学2023-2024学年高三上学期第一次质量监测数学试题(原卷版)_2023年8月_01每日更新_24号_2024届辽宁省沈阳市第120中学高三上学期第一次质量检测
精品解析:辽宁省沈阳市第一二〇中学2023-2024学年高三上学期第一次质量监测数学试题(原卷版)_2023年8月_01每日更新_24号_2024届辽宁省沈阳市第120中学高三上学期第一次质量检测
精品解析:辽宁省沈阳市第一二〇中学2023-2024学年高三上学期第一次质量监测数学试题(原卷版)_2023年8月_01每日更新_24号_2024届辽宁省沈阳市第120中学高三上学期第一次质量检测

文档信息

文档格式
docx
文档大小
0.291 MB
文档页数
6 页
上传时间
2026-02-13 13:32:35

文档内容

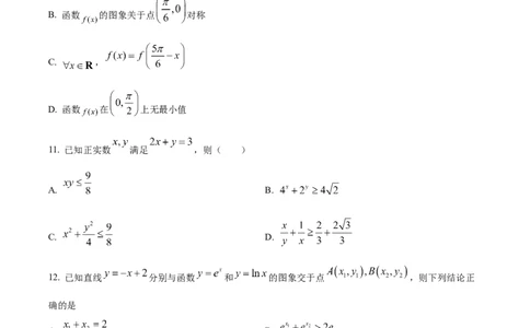
沈阳市第 120 中学 2023-2024 学年度上学期 高三年级第一次质量监测 数学试题 满分:150分 时间:120分钟 命题人:董贵臣 佟艳丽 校对人:高越 一、单选题(本题共8小题,每小题5分,共40分) 1. 设集合 ,则 为( ) A. B. C. D. 2. 已知 ,那么命题p的一个必要条件是( ) . A B. C. D. 3. 给定函数 ,若函数 恰有两个零点,则 的取值范围是( ) A. B. C. D. 4. 若函数 的图像向左平移 ( )个单位,所得的图像关于 轴对称,则当 最小 时, A. B. C. D. 5. 函数 是定义在 上的偶函数,其导函数为 ,若对任意的正实数 ,都有 恒成立,且 ,则使 成立的实数 的集合为( ) 第1页/共6页 学科网(北京)股份有限公司A. B. C. D. 6. 已知 ( ),则 ( ) A. B. C. D. 7. 已知 是定义在 上的偶函数,且当 时 ,若对任意实数 ,都有 恒成立,则实数 的取值范围是( ) A. B. C. D. 8. 已知函数 在定义域上是单调函数,且 ,当 在 上与 在R上的单调性相同时,实数 的取值范围是( ) A. B. C. D. 二、多选题(本题共4小题,共20分,每题选项全对给5分,少选或漏选给2分,错选、多 选和不选给0分) 9. 已知函数f(x)= + ,则( ) A. f(x)的定义域为[-3,1] B. f(x)为非奇非偶函数 C. f(x)的最大值为8 D. f(x)的最小值为2 10. 已知函数 的部分图象如图所示,则下列说法正确的是 ( ) 第2页/共6页 学科网(北京)股份有限公司A. B. 函数 的图象关于点 对称 C. , D. 函数 在 上无最小值 11. 已知正实数 满足 ,则( ) A. B. C. D. 12. 已知直线 分别与函数 和 的图象交于点 ,则下列结论正 确的是 . A B. C. D. 三、填空题(本题共4小题,每小题5分,共20分) 13. 若命题:“ ,使 ”是假命题,则实数m的取值范围为______. 第3页/共6页 学科网(北京)股份有限公司14. 已知函数 ,若 的最小值为 ,则实数 的取值范围是________. 的 15. 我们比较熟悉 网络新词,有“ ”、“内卷”、“躺平”等,定义方程 的实数根 叫做 函数 的“躺平点” 若函数 , , 的“躺平点”分别为 , , ,则 , , 的大小关系为______ . 的 16. 对于给定 区间 ,如果存在一个正的常数 ,使得 都有 ,且 对 恒成立,那么称函数 为 上的“ 增函数”.已知函数 ,若函数 是 上的“3增函数”,则实数 的取值范围是______. 四、解答题(本题共6小题,共70分) 17. 数列 的前 项和为 , , . (1)求数列 的通项公式; (2)记数列 ,求数列 的前 项和 . 18. 已知函数 . (1)求曲线 在点 处的切线方程; (2)设 ,讨论函数 在 上的单调性; 19. 在 中,已知 = . (1)求 的值; 第4页/共6页 学科网(北京)股份有限公司(2)求 + + 的最小值. 20. 已知函数 , 的图象与直线 相交,且两相 邻交点之间的距离为 . (1)求 的解析式,并求 的单调区间; (2)已知函数 ,若对任意 ,均有 ,求 的取值 范围. 21. 近期受新冠疫情的影响,某地区遭受了奥密克戎病毒的袭击,为了控制疫情,某单位购入了一种新型 的空气消毒剂用于环境消毒,已知在一定范围内,每喷洒1个单位的消毒剂,空气中释放的消毒剂浓度y (单位:毫克/立方米)随着时间x(单位:小时)变化的关系如下:当 时, ;当 时, .若多次喷洒,则某一时刻空气中的消毒剂浓度为每次投放的消毒剂在相应时刻 所释放的浓度之和.由实验知,当空气中消毒剂的浓度不低于4(毫克/立方米)时,它才能起到杀灭空气中 病毒的作用. (1)若一次喷洒4个单位的消毒剂,则有效杀灭时间最长可达几小时? (2)若第一次喷洒2个单位的消毒剂,6小时后再喷洒a( )个单位的消毒剂,要使接下来的4 小时中能够持续有效消毒,试求a的最小值. 22. 已知函数 , . (1)研究函数 在区间 上的单调性; 的 (2)若对于 ,恒有 ,求 取值范围. 第5页/共6页 学科网(北京)股份有限公司第6页/共6页 学科网(北京)股份有限公司