当前位置:首页>文档>黄金卷-赢在高考·黄金8卷备战2024年高考数学模拟卷(新高考Ⅰ卷专用)(参考答案)_2024高考押题卷_92024赢在高考全系列_赢在高考·黄金8卷备战2024年高考数学模拟卷

黄金卷-赢在高考·黄金8卷备战2024年高考数学模拟卷(新高考Ⅰ卷专用)(参考答案)_2024高考押题卷_92024赢在高考全系列_赢在高考·黄金8卷备战2024年高考数学模拟卷

  • 2026-04-09 09:30:45 2026-02-14 01:43:31

文档预览

黄金卷-赢在高考·黄金8卷备战2024年高考数学模拟卷(新高考Ⅰ卷专用)(参考答案)_2024高考押题卷_92024赢在高考全系列_赢在高考·黄金8卷备战2024年高考数学模拟卷
黄金卷-赢在高考·黄金8卷备战2024年高考数学模拟卷(新高考Ⅰ卷专用)(参考答案)_2024高考押题卷_92024赢在高考全系列_赢在高考·黄金8卷备战2024年高考数学模拟卷
黄金卷-赢在高考·黄金8卷备战2024年高考数学模拟卷(新高考Ⅰ卷专用)(参考答案)_2024高考押题卷_92024赢在高考全系列_赢在高考·黄金8卷备战2024年高考数学模拟卷
黄金卷-赢在高考·黄金8卷备战2024年高考数学模拟卷(新高考Ⅰ卷专用)(参考答案)_2024高考押题卷_92024赢在高考全系列_赢在高考·黄金8卷备战2024年高考数学模拟卷
黄金卷-赢在高考·黄金8卷备战2024年高考数学模拟卷(新高考Ⅰ卷专用)(参考答案)_2024高考押题卷_92024赢在高考全系列_赢在高考·黄金8卷备战2024年高考数学模拟卷
黄金卷-赢在高考·黄金8卷备战2024年高考数学模拟卷(新高考Ⅰ卷专用)(参考答案)_2024高考押题卷_92024赢在高考全系列_赢在高考·黄金8卷备战2024年高考数学模拟卷
黄金卷-赢在高考·黄金8卷备战2024年高考数学模拟卷(新高考Ⅰ卷专用)(参考答案)_2024高考押题卷_92024赢在高考全系列_赢在高考·黄金8卷备战2024年高考数学模拟卷
黄金卷-赢在高考·黄金8卷备战2024年高考数学模拟卷(新高考Ⅰ卷专用)(参考答案)_2024高考押题卷_92024赢在高考全系列_赢在高考·黄金8卷备战2024年高考数学模拟卷
黄金卷-赢在高考·黄金8卷备战2024年高考数学模拟卷(新高考Ⅰ卷专用)(参考答案)_2024高考押题卷_92024赢在高考全系列_赢在高考·黄金8卷备战2024年高考数学模拟卷
黄金卷-赢在高考·黄金8卷备战2024年高考数学模拟卷(新高考Ⅰ卷专用)(参考答案)_2024高考押题卷_92024赢在高考全系列_赢在高考·黄金8卷备战2024年高考数学模拟卷
黄金卷-赢在高考·黄金8卷备战2024年高考数学模拟卷(新高考Ⅰ卷专用)(参考答案)_2024高考押题卷_92024赢在高考全系列_赢在高考·黄金8卷备战2024年高考数学模拟卷
黄金卷-赢在高考·黄金8卷备战2024年高考数学模拟卷(新高考Ⅰ卷专用)(参考答案)_2024高考押题卷_92024赢在高考全系列_赢在高考·黄金8卷备战2024年高考数学模拟卷

文档信息

文档格式
docx
文档大小
0.499 MB
文档页数
8 页
上传时间
2026-02-14 01:43:31

文档内容

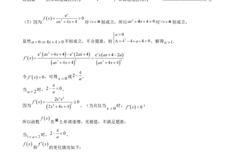
【赢在高考·黄金8卷】备战2024年高考数学模拟卷(新高考Ⅰ卷专用) 黄金卷·参考答案 (考试时间:120分钟 试卷满分:150分) 第 I 卷(选择题) 一、单项选择题:本题共8小题,每小题5分,共40分,在每小题给出的四个选项中,只有一项是符合要 求的。 1 2 3 4 5 6 7 8 A D C C B C B A 二、多项选择题:本题共4小题,每小题5分,共20分,在每小题给出的四个选项中,有多项符合题目的 要求,全部选对的得5分,部分选对的得2分,有选错的得0分。 9 10 11 12 BD ACD BC BC 第 II 卷(非选择题) 三、填空题:本题共4小题,每小题5分,共20分。 13.32 14. 16. 16. 四、解答题:本题共6小题,共70分,解答应写出必要的文字说明、证明过程及验算步骤。 17.(10分) 【详解】(1)设 的边长为 千米,由 得 , 中, 为等边三角形, , 故 ,即 的边长为 .......................................5分 (2)设 的边长为 千米,所以 , 中, , 由正弦定理得, ,故 ,其中 ,当 时, 取得最小值 , 即 的边长最小值为 .......................................10分 18.(12分) 【详解】(1)在正方形 中 , ∵面 面 面 ,面 面 , ∴ 面 , ∵ 面 ,∴ , ∵ 在以 为直径的半圆上,∴ , 又∵ 面 , 面 , 又 面 , ∴面 面 ,......................................5分 (2)∵ ,∴ 又∵ 为二面角 的平面角, ∴ ,同理 . 在梯形 中, . 取 的中点 ,以 为 轴正半轴,以平行于 的方向为 轴正半轴,以平面 内垂直于 的方 向为 轴正半轴,建立如图空间直角坐标系: 则 ,设 , , 则 , 设平面 的法向量为 则 , 令 ,则 ,设直线 和平面 所成角为 , 则 , 设 , 则 , 令 , 当 时, , 当 时, , 令 ,任意 , , 因为 ,所以 , , , 所以 ,所以 在 上为减函数, 故 ,所以 , 所以 , 所以 , 所以直线 和平面 所成角的正弦值的取值范围 .......................................12分 19.(12分) 【详解】(1)当 时, ,定义域为 . ,令 ,可得 , 当 变化时, 和 的变化情况如下: 0 - - 0 + 单调递 单调递减 单调递增 减 故函数 的单调递减区间为 , ;单调递增区间为 .......................................5分 (2)因为 对 恒成立,所以 对 恒成立, 显然 不恒成立,不合题意,则 ,解得 . 令 ,可得 或 , 当 时, , 因为 ,(当且仅当 时, ) 所以函数 在 上单调递增,无极值,不满足题意; 当 时, , 和 的变化情况如下: 0 + 0 - 0 + 单调递增 单调递减 单调递增 函数 在 处取得极小值,满足题意; 当 时, , 和 的变化情况如下:0 + 0 - 0 + 单调递增 单调递减 单调递增 函数 在 处取得极大值,不满足题意. 综上,实数 的取值范围为 .......................................12分 20.(12分) 【详解】(1)当 时, ,解得 ; 当 时, , ,则 , 因为 ,所以数列 是以 为首项, 为公比的等比数列, 所以 ,即 ;......................................5分 (2)由(1)知, 依题意 , 因为 , ,则 ,即 ; 因为 , 所以 ,而 , 故 ,即 . 综上所述, .......................................12分 【点睛】关键点睛:本题第二问考查数列,不等式,放缩法的综合应用问题,第二问的难点是证明 ,关键是证明 ,后面的问题迎刃而解. 21.(12分) 【详解】(1) , , ;......................................3分 (2)由已知 ,∴ ,即 , ∴ 是以 为公比的等比数列, ∴ ,∴ .......................................7分 (3) . 设 , ,∴ ,∴ 在 上单调递增, 显然 ,则 , ∴ ,则 , 即 , ∴ .......................................12分 22.(12分)【详解】(1)设 ,由题意可得 ,即 , 解得 或 (舍去),所以抛物线 的方程为 .......................................5分 (2)如图, 设经过 , 两点的直线方程为 : ( ), 与抛物线方程 联立可得 , 即 , ∴ , . ∵ ,则 , ∴ , ∴过点 作 的切线 方程为 , 令 ,得 ,即 . 同理,过点 作 的切线 方程为 , 令 ,得 ,即 . ∴ . 联立两直线方程 ,解得 ,即 ,......................................8分则 到直线 的距离 . 又∵过点 作直线 垂直于 , 直线 的方程为 , 令 ,得 ,即 . 同理,直线 的方程为 , 令 ,得 ,即 . ∴ . 联立两直线方程 ,解得 , 整理后可得 ,即 ,......................................10分 则 到直线 的距离 . 由上可得 , , , , ∴ ,得 , ∴直线 的方程为 即 .......................................12分