当前位置:首页>文档>黄金卷01-赢在高考·黄金8卷备战2024年高考数学模拟卷(新高考七省专用)(解析版)_2024高考押题卷_92024赢在高考全系列_赢在高考·黄金8卷备战2024年高考数学模拟卷

黄金卷01-赢在高考·黄金8卷备战2024年高考数学模拟卷(新高考七省专用)(解析版)_2024高考押题卷_92024赢在高考全系列_赢在高考·黄金8卷备战2024年高考数学模拟卷

  • 2026-05-07 18:16:15 2026-02-14 01:51:39

文档预览

黄金卷01-赢在高考·黄金8卷备战2024年高考数学模拟卷(新高考七省专用)(解析版)_2024高考押题卷_92024赢在高考全系列_赢在高考·黄金8卷备战2024年高考数学模拟卷
黄金卷01-赢在高考·黄金8卷备战2024年高考数学模拟卷(新高考七省专用)(解析版)_2024高考押题卷_92024赢在高考全系列_赢在高考·黄金8卷备战2024年高考数学模拟卷
黄金卷01-赢在高考·黄金8卷备战2024年高考数学模拟卷(新高考七省专用)(解析版)_2024高考押题卷_92024赢在高考全系列_赢在高考·黄金8卷备战2024年高考数学模拟卷
黄金卷01-赢在高考·黄金8卷备战2024年高考数学模拟卷(新高考七省专用)(解析版)_2024高考押题卷_92024赢在高考全系列_赢在高考·黄金8卷备战2024年高考数学模拟卷
黄金卷01-赢在高考·黄金8卷备战2024年高考数学模拟卷(新高考七省专用)(解析版)_2024高考押题卷_92024赢在高考全系列_赢在高考·黄金8卷备战2024年高考数学模拟卷
黄金卷01-赢在高考·黄金8卷备战2024年高考数学模拟卷(新高考七省专用)(解析版)_2024高考押题卷_92024赢在高考全系列_赢在高考·黄金8卷备战2024年高考数学模拟卷
黄金卷01-赢在高考·黄金8卷备战2024年高考数学模拟卷(新高考七省专用)(解析版)_2024高考押题卷_92024赢在高考全系列_赢在高考·黄金8卷备战2024年高考数学模拟卷
黄金卷01-赢在高考·黄金8卷备战2024年高考数学模拟卷(新高考七省专用)(解析版)_2024高考押题卷_92024赢在高考全系列_赢在高考·黄金8卷备战2024年高考数学模拟卷
黄金卷01-赢在高考·黄金8卷备战2024年高考数学模拟卷(新高考七省专用)(解析版)_2024高考押题卷_92024赢在高考全系列_赢在高考·黄金8卷备战2024年高考数学模拟卷
黄金卷01-赢在高考·黄金8卷备战2024年高考数学模拟卷(新高考七省专用)(解析版)_2024高考押题卷_92024赢在高考全系列_赢在高考·黄金8卷备战2024年高考数学模拟卷
黄金卷01-赢在高考·黄金8卷备战2024年高考数学模拟卷(新高考七省专用)(解析版)_2024高考押题卷_92024赢在高考全系列_赢在高考·黄金8卷备战2024年高考数学模拟卷
黄金卷01-赢在高考·黄金8卷备战2024年高考数学模拟卷(新高考七省专用)(解析版)_2024高考押题卷_92024赢在高考全系列_赢在高考·黄金8卷备战2024年高考数学模拟卷
黄金卷01-赢在高考·黄金8卷备战2024年高考数学模拟卷(新高考七省专用)(解析版)_2024高考押题卷_92024赢在高考全系列_赢在高考·黄金8卷备战2024年高考数学模拟卷
黄金卷01-赢在高考·黄金8卷备战2024年高考数学模拟卷(新高考七省专用)(解析版)_2024高考押题卷_92024赢在高考全系列_赢在高考·黄金8卷备战2024年高考数学模拟卷
黄金卷01-赢在高考·黄金8卷备战2024年高考数学模拟卷(新高考七省专用)(解析版)_2024高考押题卷_92024赢在高考全系列_赢在高考·黄金8卷备战2024年高考数学模拟卷
黄金卷01-赢在高考·黄金8卷备战2024年高考数学模拟卷(新高考七省专用)(解析版)_2024高考押题卷_92024赢在高考全系列_赢在高考·黄金8卷备战2024年高考数学模拟卷
黄金卷01-赢在高考·黄金8卷备战2024年高考数学模拟卷(新高考七省专用)(解析版)_2024高考押题卷_92024赢在高考全系列_赢在高考·黄金8卷备战2024年高考数学模拟卷
黄金卷01-赢在高考·黄金8卷备战2024年高考数学模拟卷(新高考七省专用)(解析版)_2024高考押题卷_92024赢在高考全系列_赢在高考·黄金8卷备战2024年高考数学模拟卷
黄金卷01-赢在高考·黄金8卷备战2024年高考数学模拟卷(新高考七省专用)(解析版)_2024高考押题卷_92024赢在高考全系列_赢在高考·黄金8卷备战2024年高考数学模拟卷
黄金卷01-赢在高考·黄金8卷备战2024年高考数学模拟卷(新高考七省专用)(解析版)_2024高考押题卷_92024赢在高考全系列_赢在高考·黄金8卷备战2024年高考数学模拟卷
黄金卷01-赢在高考·黄金8卷备战2024年高考数学模拟卷(新高考七省专用)(解析版)_2024高考押题卷_92024赢在高考全系列_赢在高考·黄金8卷备战2024年高考数学模拟卷
黄金卷01-赢在高考·黄金8卷备战2024年高考数学模拟卷(新高考七省专用)(解析版)_2024高考押题卷_92024赢在高考全系列_赢在高考·黄金8卷备战2024年高考数学模拟卷
黄金卷01-赢在高考·黄金8卷备战2024年高考数学模拟卷(新高考七省专用)(解析版)_2024高考押题卷_92024赢在高考全系列_赢在高考·黄金8卷备战2024年高考数学模拟卷
黄金卷01-赢在高考·黄金8卷备战2024年高考数学模拟卷(新高考七省专用)(解析版)_2024高考押题卷_92024赢在高考全系列_赢在高考·黄金8卷备战2024年高考数学模拟卷

文档信息

文档格式
docx
文档大小
1.200 MB
文档页数
20 页
上传时间
2026-02-14 01:51:39

文档内容

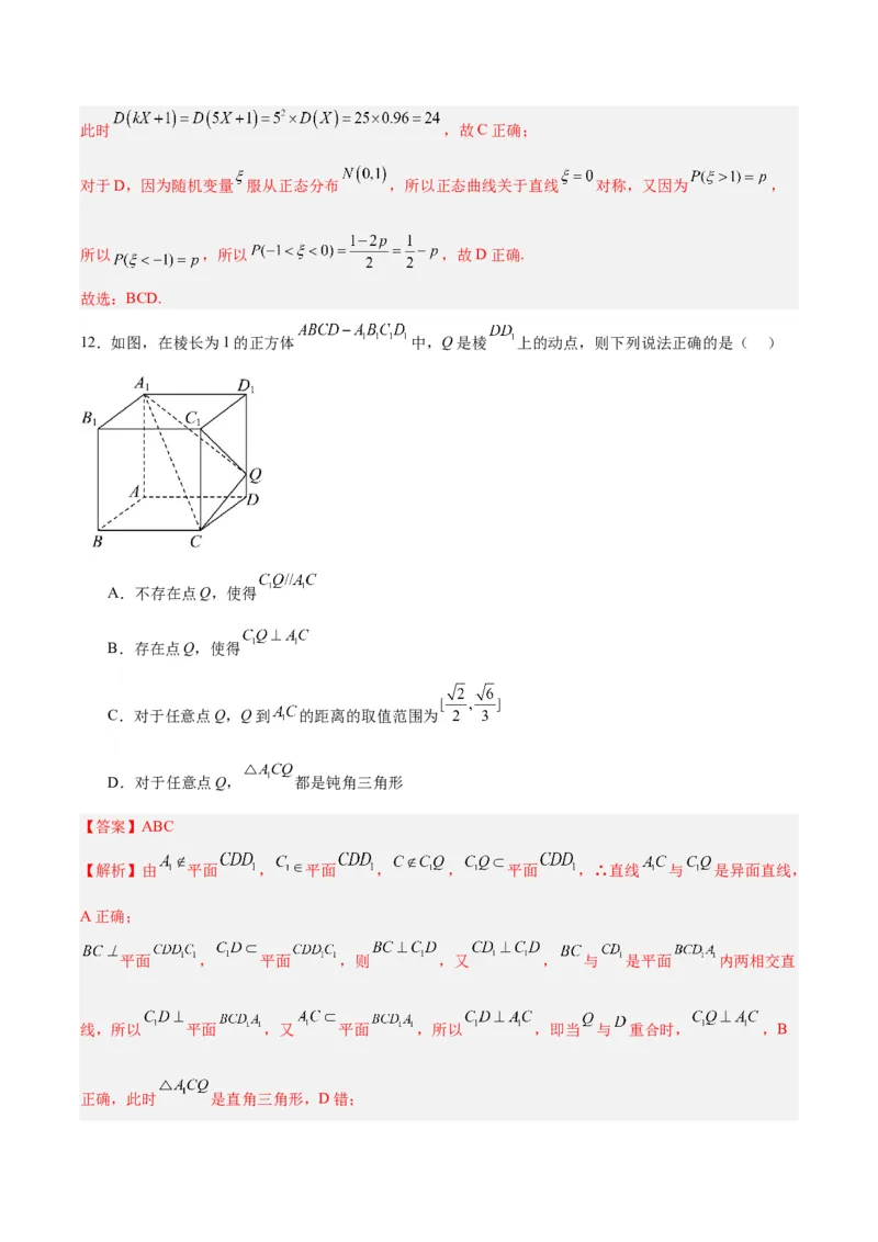
【赢在高考·黄金8卷】备战2024年高考数学模拟卷(新高考七省专用) 黄金卷01 (考试时间:120分钟 试卷满分:150分) 第 I 卷(选择题) 一、单项选择题:本题共8小题,每小题5分,共40分,在每小题给出的四个选项中,只有一项是符合要 求的。 1.已知集合 , ,则 ( ) A. B. C. D. 【答案】C 【解析】由 ,解得 ,所以 , 因为 ,得 ,所以 , 故 . 故选:C. 2.已知 ( , 为虚数单位),若 是实数,则( ) A. B. C. D. 【答案】A 【解析】因为 是实数, 所以 , 故选:A 3.已知向量 满足 ,且 ,则向量 在向量 上的投影向量为( ) A. B. C. D. 【答案】B【解析】由 ,则 , ,则 , 则向量 在向量 上的投影向量为 . 故选:B 4.已知 是定义域为 的单调递增的函数, , ,且 ,则 ( ) A.54 B.55 C.56 D.57 【答案】B 【解析】因为 有 ,令 ,则 , 显然 ,否则 ,与 矛盾. 从而 ,由 .即得 , ,即 ,于是 ,且 . 所以 ,所以 , . 因为 所以 ,于是 , . 因为 所以 . 因为 所以 , . 因为 , , 所以 , , 所以 , . 故选:B. 5.已知函数 在区间 上的最小值恰为 ,则所有满足条件的 的积属于区间( ) A. B. C. D. 【答案】C 【解析】当 时 ,因为此时 的最小值为 , 所以 ,即 . 若 ,此时 能取到最小值 ,即 , 代入可得 ,满足要求; 若 取不到最小值 ,则需满足 ,即 , 在 上单调递减,所以存在唯一 符合题意; 所以 或者 ,所以所有满足条件的 的积属于区间 , 故选:C 6.已知等差数列 的前n项和为 ,对任意的 ,均有 成立,则 的值的取值范围是 ( ) A. B. C. D. 【答案】B 【解析】由题意知 是等差数列 的前n项和中的最小值,必有 ,公差 , 若 ,此时 , , 是等差数列 的前n项和中的最小值, 此时 ,即 ,则 ;若 , ,此时 是等差数列 的前n项和中的最小值, 此时 , ,即 , 则 , 综上可得: 的取值范围是 , 故选:B. 7.已知点 是椭圆 的左右焦点,点 为椭圆 上一点,点 关于 平分 线的对称点 也在椭圆 上,若 ,则椭圆 的离心率为( ) A. B. C. D. 【答案】C 【解析】由题意可作图如下: 由图可知: , 由 平分 ,则 ,所以 , 由 ,则解得 , 由 是 关于直线 的对称点,则 共线, , , ,所以 ,在 中, , 可得 ,解得 , , 在 中,由余弦定理,可得 , 代入可得: ,化简可得: , 所以其离心率 . 故选:C. 8.设 , , ,则( ) A. B. C. D. 【答案】D 【解析】由题意可得 , , , 设 , ,则 , 故当 时, , 单调递增; 当 时, , 单调递减; 因为 , , ,且 , 可得 , ,所以 . 故选:D. 二、多项选择题:本题共4小题,每小题5分,共20分,在每小题给出的四个选项中,有多项符合题目的 要求,全部选对的得5分,部分选对的得2分,有选错的得0分。 9.有关平面向量的说法,下列错误的是( )A.若 , ,则 B.若 与 共线且模长相等,则 C.若 且 与 方向相同,则 D. 恒成立 【答案】ABC 【解析】对于A选项,取 ,满足 , ,但 、 不一定共线,A错; 对于B选项,若 与 共线且模长相等,则 或 ,B错; 对于C选项,任何两个向量不能比大小,C错; 对于D选项, 恒成立,D对. 故选:ABC. 10.设O为坐标原点,直线 过圆 的圆心且交圆于 两点,则 ( ) A. B. C. 的面积为 D. 【答案】BC 【解析】由圆的方程 , 则 ,所以圆心 ,半径 , 易知 ,故A错误; 将 代入直线方程 ,则 ,解得 ,故B正确; 将 代入直线方程 ,整理可得直线方程 ,原点到直线 的距离 ,且此为 底 上的高, 所以 ,故C正确; 由 与 ,则直线 的斜率 , 由直线方程 ,则直线 斜率 , 由 ,则 与 不垂直,故D错误. 故选:BC. 11.下列说法正确的是( ) A.某射击运动员在一次训练中10次射击成绩(单位:环)如下:6,5,7,9,6,8,9,9,7,5, 这组数据的第70百分位数为8 B.对于随机事件 与 ,若 , ,则事件 与 独立 C.若随机变量 , ,若 最大,则 D.设随机变量 服从正态分布 ,若 ,则 【答案】BCD 【解析】对于A,把数据从小到大排列为:5,5,6,6,7,7,8,9,9,9,因为 , 则这组数据的第 百分位数为 ,故A错误; 对于B, ,又 ,所以 ,即事 件 与 相互独立,故B正确; 对于C,因为随机变量 ,所以 ,故 ,又 ,当 最大时, ;又 ,此时 ,故C正确; 对于D,因为随机变量 服从正态分布 ,所以正态曲线关于直线 对称,又因为 , 所以 ,所以 ,故D正确. 故选:BCD. 12.如图,在棱长为1的正方体 中,Q是棱 上的动点,则下列说法正确的是( ) A.不存在点Q,使得 B.存在点Q,使得 C.对于任意点Q,Q到 的距离的取值范围为 D.对于任意点Q, 都是钝角三角形 【答案】ABC 【解析】由 平面 , 平面 , , 平面 ,∴直线 与 是异面直线, A正确; 平面 , 平面 ,则 ,又 , 与 是平面 内两相交直 线,所以 平面 ,又 平面 ,所以 ,即当 与 重合时, ,B 正确,此时 是直角三角形,D错;设 ( ), , , , , , 所以 , , 所以 时, , 或1时, ,所以 的最大值是 ,最小值是 , 记 到 的距离为 , ,因此 的最大值是 , 的最小值是 ,C正确. 故选:ABC. 第 II 卷(非选择题) 三、填空题:本题共4小题,每小题5分,共20分。 13.已知等差数列 的前n项和为 ,若 , ,则 . 【答案】 【解析】设等差数列 的公差为 ,由等差数列前n项和公式可知 ;可得 为定值,所以 即为等差数列,又 , 即 是以 为首项,公差为1的等差数列, 所以 ,从而 . 故答案为: 14.若函数 ,则不等式 的解集为 . 【答案】 【解析】因为 ,则有: 当 时,可得 ,解得 ; 当 时,可得 ,则 ,解得 ; 综上所述:不等式 的解集为 . 故答案为: . 15.已知函数 的部分图像如图所示,且关于 的不等式 的解集为 , ,则正偶数a的最小值为 .【答案】4 【解析】由题意得 ,所以 , 而 , ,所以 , 而 ,故 ,所以 , 又 过点 ,所以 ,即 , 所以 ,则 , 又 ,即 ,又 ,则 ,所以 , 则 ,又 ,所以 ,则 , 所以 , 由 ,得 , 所以 ,解得 , 当 时,在区间 内不存在正偶数, 当 时,在区间 内存在1个正偶数4,所以正偶数a的最小值为 . 故答案为: . 16.如图,在三棱锥 中, 平面 为 外接圆的圆心, 为三棱锥 外接球的球心, ,则三棱锥 的外接球 的表面积为 .【答案】 【解析】根据题意可知,设 外接圆的半径为 , 在 中由正弦定理可知 ,解得 ,即 ; 易知三棱锥 外接球的球心在 的正上方,且 平面 ; 又 平面 ,所以 ; 因为 平面 ,可得 ,又 , 所以可得四边形 是矩形,即 ; 设 ,三棱锥 外接球的半径为 , 由勾股定理可得 ,解得 ; 所以可得三棱锥 的外接球 的表面积为 . 故答案为: 四、解答题:本题共6小题,共70分,解答应写出必要的文字说明、证明过程及验算步骤。 17.(10分)已知函数 的最小正周期为 . (1)求 的值,并写出 的对称轴方程; (2)在 中角 的对边分别是 满足 ,求函数 的取值范围. 【答案】(1)(2) (2)把已知的等式变形并利用正弦定理可得 ,故 ,故 ,根据正 弦函数的定义域和值域求出 的取值范围. 【解析】(1) . , . 故 令 ,解得 , 故对称轴方程为: (2)由 得 , . , , , . , , , 18.(12分)若数列 的前 项和 满足 . (1)证明:数列 是等比数列; (2)设 ,记数列 的前 项和为 ,证明:对任意的正整数 ,都有 . 【答案】(1)证明见解析 (2)证明见解析【解析】(1)证明:由 ,当 时,可得 ; 当 时, ,所以 , ∴ 时, , ∴数列 是以 为首项, 为公比的等比数列; ∴ ,∴ . (2)证明:由(1)知, ,∴ , ∴ , ∴ , 因为 ,所以 ,所以 即 成立. 所以对任意的正整数 ,都有 得证. 19.(12分)如图,在三棱柱 中, 平面 为正三角形,侧面 是边长 为2的正方形, 为 的中点. (1)求证:平面 平面 ; (2)取 的中点 ,连接 ,求二面角 的余弦值. 【答案】(1)证明见解析(2) 【解析】(1)证明: 为正三角形, 为 的中点, , 平面 平面 , 平面 , 又 平面 平面 平面 . (2) 为正三角形, , 平面 平面 , , 故 , 又 为 的中点, , 为二面角 的平面角, 侧面 是边长为2的正方形, , 为边长为2的正三角形, , 在直角三角形 中, , , 二面角 的余弦值为 . 20.(12分)经销商小王对其所经营的某型号二手汽车的使用年数 与每辆车的销售价 格 (单位:万元)进行整理,得到如表的对应数据: 使用年 2 4 6 8 10 数售价 16 13 9.5 7 4.5 (1)试求y关于x的回归直线方程; (2)已知每辆该型号汽车的收购价格w(单位:万元)与使用年数 的函数关系为 ,据(1)中所求的回归方程,预测x为何值时,小王销售一辆该型号汽 车所获得的利润 最大. 附:回归直线的斜率和截距的最小二乘估计公式分别为: , . 【答案】(1) ; (2)预测 时,小王销售一辆该型号汽车所获得的利润z最大. 【解析】(1)由表格可知: , 由最小二乘法得 , , 所以y关于x的回归直线方程为: ; (2)据(1)中所求的回归方程 可知: , 由二次函数的性质可知, , 故 时, , 由一次函数的性质可知 ,在 时, , 综上,显然 时, .21.(12分)已知双曲线C: 的离心率为 ,F为C的左焦点,P是C右支上的 点,点P到C的两条渐近线的距离之积为 . (1)求C的方程; (2)若线段PF与C的左支交于点Q,与两条渐近线交于点A,B,且 ,求 . 【答案】(1) (2) 【解析】(1)由题意得 ,故 , 又 ,C的两条渐近线方程分别为 , 设 ,则 ,即 所以 ,所以 , ,故C的方程为 . (2)由(1)知 ,设直线PF的方程为 , , , , 联立 得 , 则 , , 因为P是C右支上的点,所以 , ,联立 ,得 , 则 , , , 又 ,所以 ,解得 , 所以 . 22.(12分)已知函数 . (1)求函数 在 上的单调区间; (2)若 时, ,求实数 的取值范围. 【答案】(1)单调递增区间为 ,单调递减区间为 (2) 【解析】(1)由题意知: , 恒成立,当 时, ;当 时, ;当 时, ;当 时, ; 在 上的单调递增区间为 ,单调递减区间为 . (2)令 ,则 在 上恒成立; ①当 时, ,则 ,不满足 在 上恒成立,不合题 意; ②当 时, , , , 又 在 上连续, ,使得当 时, , 在 上单调递增,此时 ,不合题意; ③当 时, ,则 , ; 令 ,则 , 在 上单调递增, ,即 , 又 , , 令 ,则 , 令 ,则 , 在 上单调递减, ,即 ,在 上单调递减, ,即 , ,满足题意; 综上所述:实数 的取值范围为 .