当前位置:首页>文档>专题08动量(计算题)(解析版)_2024年4月_其他_240413学易金卷:三年(2021-2023)高考物理真题分项汇编(全国通用)

专题08动量(计算题)(解析版)_2024年4月_其他_240413学易金卷:三年(2021-2023)高考物理真题分项汇编(全国通用)

  • 2026-04-09 02:31:02 2026-02-15 02:29:28

文档预览

专题08动量(计算题)(解析版)_2024年4月_其他_240413学易金卷:三年(2021-2023)高考物理真题分项汇编(全国通用)
专题08动量(计算题)(解析版)_2024年4月_其他_240413学易金卷:三年(2021-2023)高考物理真题分项汇编(全国通用)
专题08动量(计算题)(解析版)_2024年4月_其他_240413学易金卷:三年(2021-2023)高考物理真题分项汇编(全国通用)
专题08动量(计算题)(解析版)_2024年4月_其他_240413学易金卷:三年(2021-2023)高考物理真题分项汇编(全国通用)
专题08动量(计算题)(解析版)_2024年4月_其他_240413学易金卷:三年(2021-2023)高考物理真题分项汇编(全国通用)
专题08动量(计算题)(解析版)_2024年4月_其他_240413学易金卷:三年(2021-2023)高考物理真题分项汇编(全国通用)
专题08动量(计算题)(解析版)_2024年4月_其他_240413学易金卷:三年(2021-2023)高考物理真题分项汇编(全国通用)
专题08动量(计算题)(解析版)_2024年4月_其他_240413学易金卷:三年(2021-2023)高考物理真题分项汇编(全国通用)
专题08动量(计算题)(解析版)_2024年4月_其他_240413学易金卷:三年(2021-2023)高考物理真题分项汇编(全国通用)
专题08动量(计算题)(解析版)_2024年4月_其他_240413学易金卷:三年(2021-2023)高考物理真题分项汇编(全国通用)
专题08动量(计算题)(解析版)_2024年4月_其他_240413学易金卷:三年(2021-2023)高考物理真题分项汇编(全国通用)
专题08动量(计算题)(解析版)_2024年4月_其他_240413学易金卷:三年(2021-2023)高考物理真题分项汇编(全国通用)
专题08动量(计算题)(解析版)_2024年4月_其他_240413学易金卷:三年(2021-2023)高考物理真题分项汇编(全国通用)
专题08动量(计算题)(解析版)_2024年4月_其他_240413学易金卷:三年(2021-2023)高考物理真题分项汇编(全国通用)
专题08动量(计算题)(解析版)_2024年4月_其他_240413学易金卷:三年(2021-2023)高考物理真题分项汇编(全国通用)
专题08动量(计算题)(解析版)_2024年4月_其他_240413学易金卷:三年(2021-2023)高考物理真题分项汇编(全国通用)
专题08动量(计算题)(解析版)_2024年4月_其他_240413学易金卷:三年(2021-2023)高考物理真题分项汇编(全国通用)
专题08动量(计算题)(解析版)_2024年4月_其他_240413学易金卷:三年(2021-2023)高考物理真题分项汇编(全国通用)
专题08动量(计算题)(解析版)_2024年4月_其他_240413学易金卷:三年(2021-2023)高考物理真题分项汇编(全国通用)
专题08动量(计算题)(解析版)_2024年4月_其他_240413学易金卷:三年(2021-2023)高考物理真题分项汇编(全国通用)
专题08动量(计算题)(解析版)_2024年4月_其他_240413学易金卷:三年(2021-2023)高考物理真题分项汇编(全国通用)
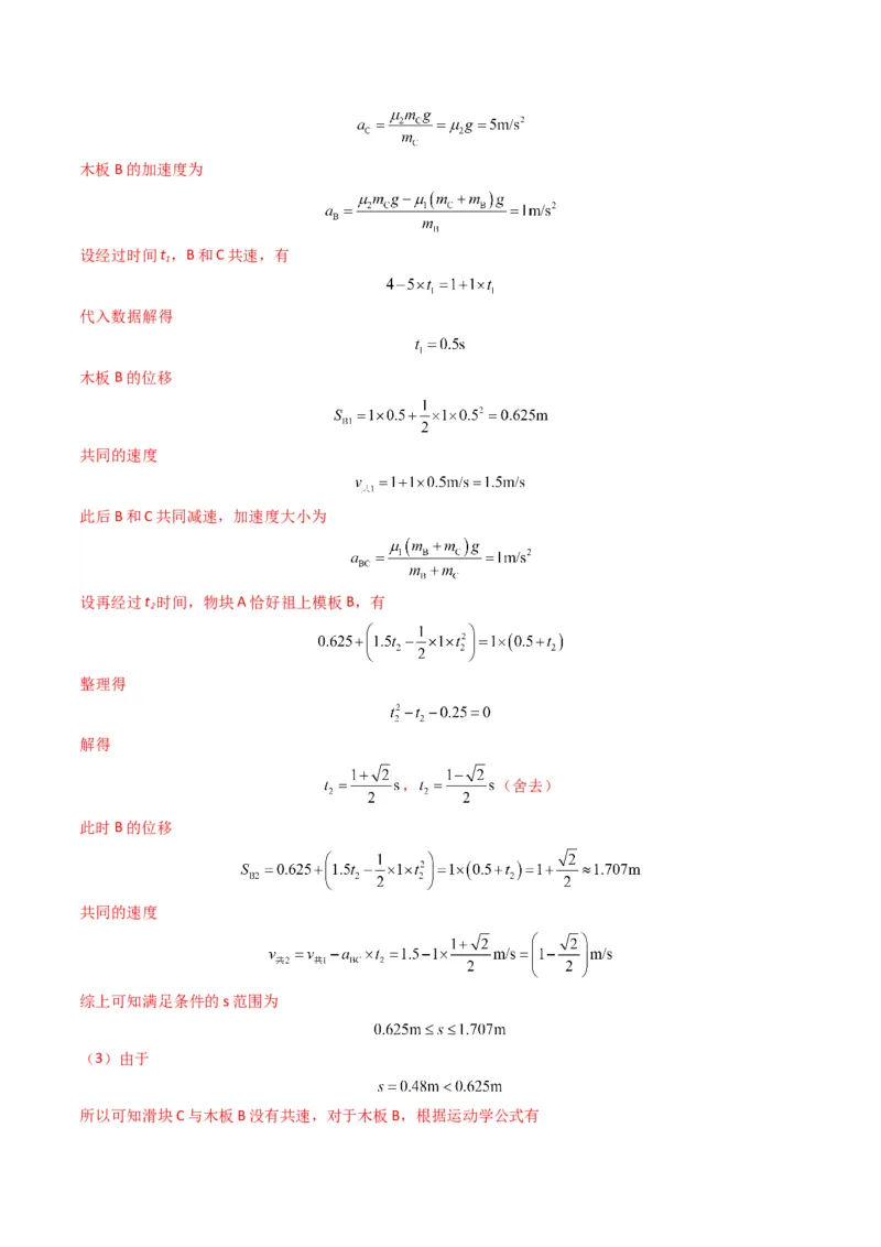
专题08动量(计算题)(解析版)_2024年4月_其他_240413学易金卷:三年(2021-2023)高考物理真题分项汇编(全国通用)
专题08动量(计算题)(解析版)_2024年4月_其他_240413学易金卷:三年(2021-2023)高考物理真题分项汇编(全国通用)
专题08动量(计算题)(解析版)_2024年4月_其他_240413学易金卷:三年(2021-2023)高考物理真题分项汇编(全国通用)
专题08动量(计算题)(解析版)_2024年4月_其他_240413学易金卷:三年(2021-2023)高考物理真题分项汇编(全国通用)
专题08动量(计算题)(解析版)_2024年4月_其他_240413学易金卷:三年(2021-2023)高考物理真题分项汇编(全国通用)
专题08动量(计算题)(解析版)_2024年4月_其他_240413学易金卷:三年(2021-2023)高考物理真题分项汇编(全国通用)
专题08动量(计算题)(解析版)_2024年4月_其他_240413学易金卷:三年(2021-2023)高考物理真题分项汇编(全国通用)
专题08动量(计算题)(解析版)_2024年4月_其他_240413学易金卷:三年(2021-2023)高考物理真题分项汇编(全国通用)
专题08动量(计算题)(解析版)_2024年4月_其他_240413学易金卷:三年(2021-2023)高考物理真题分项汇编(全国通用)
专题08动量(计算题)(解析版)_2024年4月_其他_240413学易金卷:三年(2021-2023)高考物理真题分项汇编(全国通用)
专题08动量(计算题)(解析版)_2024年4月_其他_240413学易金卷:三年(2021-2023)高考物理真题分项汇编(全国通用)
专题08动量(计算题)(解析版)_2024年4月_其他_240413学易金卷:三年(2021-2023)高考物理真题分项汇编(全国通用)
专题08动量(计算题)(解析版)_2024年4月_其他_240413学易金卷:三年(2021-2023)高考物理真题分项汇编(全国通用)
专题08动量(计算题)(解析版)_2024年4月_其他_240413学易金卷:三年(2021-2023)高考物理真题分项汇编(全国通用)
专题08动量(计算题)(解析版)_2024年4月_其他_240413学易金卷:三年(2021-2023)高考物理真题分项汇编(全国通用)

文档信息

文档格式
docx
文档大小
1.960 MB
文档页数
36 页
上传时间
2026-02-15 02:29:28

文档内容

专题 07 动量 目录 考点01 动量定理的理解及应用................................................................1 考点02 动量守恒定律及其应用................................................................4 考点03 动量和能量的综合应用...............................................................22 考点 01 动量定理的理解及应用 1.(2022·北京·高考真题)体育课上,甲同学在距离地面高 处将排球击出,球的初速度沿水平方 向,大小为 ;乙同学在离地 处将排球垫起,垫起前后球的速度大小相等,方向相反。 已知排球质量 ,取重力加速度 。不计空气阻力。求: (1)排球被垫起前在水平方向飞行的距离x; (2)排球被垫起前瞬间的速度大小v及方向; (3)排球与乙同学作用过程中所受冲量的大小I。 【答案】(1) ;(2) ,方向与水平方向夹角 ;(3) 【详解】(1)设排球在空中飞行的时间为t,则 解得 ;则排球在空中飞行的水平距离 (2)乙同学垫起排球前瞬间排球在竖直方向速度的大小 得 ;根据得 ;设速度方向与水平方向夹角为 (如答图所示) 则有 (3)根据动量定理,排球与乙同学作用过程中所受冲量的大小 2.(2021·重庆·高考真题)我国规定摩托车、电动自行车骑乘人员必须依法佩戴具有缓冲作用的安全头盔。 小明对某轻质头盔的安全性能进行了模拟实验检测。某次,他在头盔中装入质量为 的物体(物体与 头盔密切接触),使其从 的高处自由落下(如图),并与水平地面发生碰撞,头盔厚度被挤压了 时,物体的速度减小到零。挤压过程不计物体重力,且视为匀减速直线运动,不考虑物体和地面的 形变,忽略空气阻力,重力加速度g取 。求: (1)头盔接触地面前瞬间的速度大小; (2)物体做匀减速直线运动的时间; (3)物体在匀减速直线运动过程中所受平均作用力的大小。 【答案】(1) ;(2) ;(3) 【详解】(1)由自由落体运动规律 ,带入数据解得 (2)由匀变速直线运动规律解得 (3)由动量定理得 解得 3.(2021·山东·高考真题)海鸥捕到外壳坚硬的鸟蛤(贝类动物)后,有时会飞到空中将它丢下,利用地 面的冲击打碎硬壳。一只海鸥叼着质量 的鸟蛤,在 的高度、以 的水平速度飞行 时,松开嘴巴让鸟蛤落到水平地面上。取重力加速度 ,忽略空气阻力。 (1)若鸟蛤与地面的碰撞时间 ,弹起速度可忽略,求碰撞过程中鸟蛤受到的平均作用力大小 F;(碰撞过程中不计重力) (2)在海鸥飞行方向正下方的地面上,有一与地面平齐、长度 的岩石,以岩石左端为坐标原点, 建立如图所示坐标系。若海鸥水平飞行的高度仍为 ,速度大小在 之间,为保证鸟蛤一定 能落到岩石上,求释放鸟蛤位置的x坐标范围。 【答案】(1) ;(2) 【详解】(1)设鸟蛤落地前瞬间的速度大小为 ,竖直分速度大小为 ,据自由落体运动规律可得 则碰撞前鸟蛤的合速度为 在碰撞过程中,以鸟蛤为研究对象,取速度方向为正方向,由动量定理得 联立解得碰撞过程中鸟蛤受到的平均作用力大小为 (2)若释放鸟蛤的初速度为 ,设击中岩石左端时,释放点的x坐标为x,击中右端时,释放点 1 的x坐标为 ,得, 联立,代入数据得 , 若释放鸟蛤时的初速度为 ,设击中岩石左端时,释放点的x坐标为 ,击中右端时,释放点的x 坐标为 ,得 , 联立,代入数据得 , 综上所述可得x坐标区间为 。 考点 02 动量守恒定律及其应用 4.(2023·北京·统考高考真题)如图所示,质量为m的小球A用一不可伸长的轻绳悬挂在O点,在O点正 下方的光滑桌面上有一个与A完全相同的静止小球B,B距O点的距离等于绳长L。现将A拉至某一高度, 由静止释放,A以速度v在水平方向和B发生正碰并粘在一起。重力加速度为g。求: (1)A释放时距桌面的高度H; (2)碰撞前瞬间绳子的拉力大小F; (3)碰撞过程中系统损失的机械能 。 【答案】(1) ;(2) ;(3) 【详解】(1)A释放到与B碰撞前,根据动能定理得 解得(2)碰前瞬间,对A由牛顿第二定律得 解得 (3)A、B碰撞过程中,根据动量守恒定律得 解得 则碰撞过程中损失的机械能为 5.(2021·北京·高考真题)如图所示,小物块A、B的质量均为m = 0.10 kg,B静止在轨道水平段的末端。 A以水平速度v 与B碰撞,碰后两物块粘在一起水平抛出。抛出点距离水平地面的竖直高度为h = 0.45 0 m,两物块落地点距离轨道末端的水平距离为s = 0.30 m,取重力加速度g = 10 m/s2。求: (1)两物块在空中运动的时间t; (2)两物块碰前A的速度v 的大小; 0 (3)两物块碰撞过程中损失的机械能 。 【答案】(1)0.30 s;(2) ;(3) 【详解】(1)竖直方向为自由落体运动,由 得 t = 0.30 s (2)设A、B碰后速度为 ,水平方向为匀速运动,由 得根据动量守恒定律,由 得 (3)两物体碰撞过程中损失的机械能 得 6.(2022·广东·高考真题)某同学受自动雨伞开伞过程的启发,设计了如图所示的物理模型。竖直放置在 水平桌面上的滑杆上套有一个滑块,初始时它们处于静止状态。当滑块从A处以初速度 为 向上滑 动时,受到滑杆的摩擦力f为 ,滑块滑到B处与滑杆发生完全非弹性碰撞,带动滑杆离开桌面一起竖直 向上运动。已知滑块的质量 ,滑杆的质量 ,A、B间的距离 ,重力加速度g取 ,不计空气阻力。求: (1)滑块在静止时和向上滑动的过程中,桌面对滑杆支持力的大小 和 ; (2)滑块碰撞前瞬间的速度大小v ; 1 (3)滑杆向上运动的最大高度h。 【答案】(1) , ;(2) ;(3) 【详解】(1)当滑块处于静止时桌面对滑杆的支持力等于滑块和滑杆的重力,即 当滑块向上滑动过程中受到滑杆的摩擦力为1N,根据牛顿第三定律可知滑块对滑杆的摩擦力也为1N,方 向竖直向上,则此时桌面对滑杆的支持力为 (2)滑块向上运动到碰前瞬间根据动能定理有 代入数据解得 。(3)由于滑块和滑杆发生完全非弹性碰撞,即碰后两者共速,碰撞过程根据动量守恒有 碰后滑块和滑杆以速度v整体向上做竖直上抛运动,根据动能定理有 代入数据联立解得 。 7.(2022·浙江·统考高考真题)如图所示,在竖直面内,一质量m的物块a静置于悬点O正下方的A点, 以速度v逆时针转动的传送带MN与直轨道AB、CD、FG处于同一水平面上,AB、MN、CD的长度均为 l。圆弧形细管道DE半径为R,EF在竖直直径上,E点高度为H。开始时,与物块a相同的物块b悬挂于 O点,并向左拉开一定的高度h由静止下摆,细线始终张紧,摆到最低点时恰好与a发生弹性正碰。已知 , , , , ,物块与MN、CD之间的动摩擦因数 ,轨道AB 和管道DE均光滑,物块a落到FG时不反弹且静止。忽略M、B和N、C之间的空隙,CD与DE平滑连接, 物块可视为质点,取 。 (1)若 ,求a、b碰撞后瞬时物块a的速度 的大小; (2)物块a在DE最高点时,求管道对物块的作用力 与h间满足的关系; (3)若物块b释放高度 ,求物块a最终静止的位置x值的范围(以A点为坐标原点,水 平向右为正,建立x轴)。 【答案】(1) ;(2) ;(3)当 时, ,当 时, 【详解】(1)滑块b摆到最低点过程中,由机械能守恒定律 解得 与 发生弹性碰撞,根据动量守恒定律和机械能守恒定律可得联立解得 (2)由(1)分析可知,物块 与物块 在 发生弹性正碰,速度交换,设物块 刚好可以到达 点,高 度为 ,根据动能定理可得 解得 以竖直向下为正方向 由动能定理 联立可得 (3)当 时,物块位置在 点或 点右侧,根据动能定理得 从 点飞出后,竖直方向 水平方向 根据几何关系可得 联立解得 代入数据解得 当 时,从 释放时,根据动能定理可得 解得 可知物块达到距离 点0.8m处静止,滑块a由E点速度为零,返回到 时,根据动能定理可得解得 距离 点0.6m,综上可知当 时 代入数据得 8.(2022·福建·高考真题)如图,L形滑板A静置在粗糙水平面上,滑板右端固定一劲度系数为 的轻质 弹簧,弹簧左端与一小物块B相连,弹簧处于原长状态。一小物块C以初速度 从滑板最左端滑入,滑行 后与B发生完全非弹性碰撞(碰撞时间极短),然后一起向右运动;一段时间后,滑板A也开始运动. 已知A、B、C的质量均为 ,滑板与小物块、滑板与地面之间的动摩擦因数均为 ,重力加速度大小为 ; 最大静摩擦力近似等于滑动摩擦力,弹簧始终处于弹性限度内。求: (1)C在碰撞前瞬间的速度大小; (2)C与B碰撞过程中损失的机械能; (3)从C与B相碰后到A开始运动的过程中,C和B克服摩擦力所做的功。 【答案】(1) ;(2) ;(3) 【详解】(1)小物块C运动至刚要与物块B相碰过程,根据动能定理可得 解得C在碰撞前瞬间的速度大小为 (2)物块B、C碰撞过程,根据动量守恒可得 解得物块B与物块C碰后一起运动的速度大小为 故C与B碰撞过程中损失的机械能为(3)滑板A刚要滑动时,对滑板A,由受力平衡可得 解得弹簧的压缩量,即滑板A开始运动前物块B和物块C一起运动的位移大小为 从C与B相碰后到A开始运动的过程中,C和B克服摩擦力所做的功为 9.(2022·天津·高考真题)冰壶是冬季奥运会上非常受欢迎的体育项目。如图所示,运动员在水平冰面上 将冰壶A推到M点放手,此时A的速度 ,匀减速滑行 到达N点时,队友用毛刷开始擦 A运动前方的冰面,使A与 间冰面的动摩擦因数减小,A继续匀减速滑行 ,与静止在P点的 冰壶B发生正碰,碰后瞬间A、B的速度分别为 和 。已知A、B质量相同,A与 间冰面的动摩擦因数 ,重力加速度 取 ,运动过程中两冰壶均视为质点,A、B碰撞时 间极短。求冰壶A (1)在N点的速度 的大小; (2)与 间冰面的动摩擦因数 。 【答案】(1) ;(2) 【详解】(1)设冰壶质量为 ,A受到冰面的支持力为 ,由竖直方向受力平衡,有 设A在 间受到的滑动摩擦力为 ,则有 设A在 间的加速度大小为 ,由牛顿第二定律可得 联立解得 由速度与位移的关系式,有代入数据解得 (2)设碰撞前瞬间A的速度为 ,由动量守恒定律可得 解得 设A在 间受到的滑动摩擦力为 ,则有 由动能定理可得 联立解得 10.(2023·广东·统考高考真题)如图为某药品自动传送系统的示意图.该系统由水平传送带、竖直螺旋 滑槽和与滑槽平滑连接的平台组成,滑槽高为 ,平台高为 。药品盒A、B依次被轻放在以速度 匀速 运动的传送带上,在与传送带达到共速后,从 点进入滑槽,A刚好滑到平台最右端 点停下,随后滑下 的B以 的速度与A发生正碰,碰撞时间极短,碰撞后A、B恰好落在桌面上圆盘内直径的两端。已知 A、B的质量分别为 和 ,碰撞过程中损失的能量为碰撞前瞬间总动能的 。 与传送带间的动摩擦因 数为 ,重力加速度为g,AB在滑至N点之前不发生碰撞,忽略空气阻力和圆盘的高度,将药品盒视为质 点。求: (1)A在传送带上由静止加速到与传送带共速所用的时间 ; (2)B从 点滑至 点的过程中克服阻力做的功 ; (3)圆盘的圆心到平台右端 点的水平距离 . 【答案】(1) (2) ;(3) 【详解】(1)A在传送带上运动时的加速度由静止加速到与传送带共速所用的时间 (2)B从 点滑至 点的过程中克服阻力做的功 (3)AB碰撞过程由动量守恒定律和能量关系可知 解得 (另一组 舍掉) 两物体平抛运动的时间 则 解得 11.(2023·天津·统考高考真题)已知A、B两物体 , ,A物体从 处自由下落, 且同时B物体从地面竖直上抛,经过 相遇碰撞后,两物体立刻粘在一起运动,已知重力加速度 ,求: (1)碰撞时离地高度x; (2)碰后速度v; (3)碰撞损失机械能 。 【答案】(1)1m;(2)0;(3)12J 【详解】(1)对物块A,根据运动学公式可得 (2)设B物体从地面竖直上抛的初速度为 ,根据运动学公式可知即 解得 可得碰撞前A物块的速度 方向竖直向下; 碰撞前B物块的速度 方向竖直向上; 选向下为正方向,由动量守恒可得 解得碰后速度 v=0 (3)根据能量守恒可知碰撞损失的机械能 12.(2021·河北·高考真题)如图,一滑雪道由 和 两段滑道组成,其中 段倾角为 , 段水平, 段和 段由一小段光滑圆弧连接,一个质量为 的背包在滑道顶端A处由静止滑下,若 后质量为 的滑雪者从顶端以 的初速度、 的加速度匀加速追赶,恰好在坡底光滑圆弧的水平处追上 背包并立即将其拎起,背包与滑道的动摩擦因数为 ,重力加速度取 , , ,忽略空气阻力及拎包过程中滑雪者与背包的重心变化,求: (1)滑道 段的长度; (2)滑雪者拎起背包时这一瞬间的速度。 【答案】(1) ;(2) 【详解】(1)设斜面长度为 ,背包质量为 ,在斜面上滑行的加速度为 ,由牛顿第二定律有解得 滑雪者质量为 ,初速度为 ,加速度为 ,在斜面上滑行时间为 ,落后时间 ,则背包的滑行时间为 ,由运动学公式得 联立解得 或 故可得 (2)背包和滑雪者到达水平轨道时的速度为 、 ,有 滑雪者拎起背包的过程,系统在光滑水平面上外力为零,动量守恒,设共同速度为 ,有 解得 13.(2021·广东·高考真题)算盘是我国古老的计算工具,中心带孔的相同算珠可在算盘的固定导杆上滑 动,使用前算珠需要归零,如图所示,水平放置的算盘中有甲、乙两颗算珠未在归零位置,甲靠边框b, 甲、乙相隔 ,乙与边框a相隔 ,算珠与导杆间的动摩擦因数 。现用手 指将甲以 的初速度拨出,甲、乙碰撞后甲的速度大小为 ,方向不变,碰撞时间极短且不计, 重力加速度g取 。 (1)通过计算,判断乙算珠能否滑动到边框a; (2)求甲算珠从拨出到停下所需的时间。 【答案】(1)能;(2)0.2s 【详解】(1)由牛顿第二定律可得,甲乙滑动时均有则甲乙滑动时的加速度大小均为 甲与乙碰前的速度v,则 1 解得 v=0.3m/s 1 甲乙碰撞时由动量守恒定律 解得碰后乙的速度 v=0.2m/s 3 然后乙做减速运动,当速度减为零时则 可知乙恰好能滑到边框a; (2)甲与乙碰前运动的时间 碰后甲运动的时间 则甲运动的总时间为 14.(2021·浙江·高考真题)如图所示,水平地面上有一高 的水平台面,台面上竖直放置倾角 的粗糙直轨道 、水平光滑直轨道 、四分之一圆周光滑细圆管道 和半圆形光滑轨道 , 它们平滑连接,其中管道 的半径 、圆心在 点,轨道 的半径 、圆心在 点, 、 D、 和F点均处在同一水平线上。小滑块从轨道 上距台面高为h的P点静止下滑,与静止在轨道 上等质量的小球发生弹性碰撞,碰后小球经管道 、轨道 从F点竖直向下运动,与正下方固定在直 杆上的三棱柱G碰撞,碰后速度方向水平向右,大小与碰前相同,最终落在地面上Q点,已知小滑块与轨 道 间的动摩擦因数 , , 。 (1)若小滑块的初始高度 ,求小滑块到达B点时速度 的大小; (2)若小球能完成整个运动过程,求h的最小值 ; (3)若小球恰好能过最高点E,且三棱柱G的位置上下可调,求落地点Q与F点的水平距离x的最大值 。【答案】(1)4m/s;(2) ;(3)0.8m 【详解】(1)小滑块在 轨道上运动 代入数据解得 (2)小球沿 轨道运动,在最高点可得 从C点到E点由机械能守恒可得 解得 , 小滑块与小球碰撞后动量守恒,机械能守恒,因此有 , 解得 , 结合(1)问可得 解得h的最小值 (3)设F点到G点的距离为y,小球从E点到G点的运动,由动能定理由平抛运动可得 , 联立可得水平距离为 由数学知识可得当 取最大,最大值为 15.(2021·天津·高考真题)一玩具以初速度 从水平地面竖直向上抛出,达到最高点时,用遥控器将玩 具内压缩的轻弹簧弹开,该玩具沿水平方向分裂成质量之比为1∶4的两部分,此时它们的动能之和与玩具 从地面抛出时的动能相等。弹簧弹开的时间极短,不计空气阻力。求 (1)玩具上升到最大高度 时的速度大小; (2)两部分落地时速度大小之比。 【答案】(1) ;(2) 【详解】(1)设玩具上升的最大高度为h,玩具上升到高度 时的速度大小为v,重力加速度大小为g, 以初速度方向为正,整个运动过程有 玩具上升到最大高度 有 两式联立解得 (2)设玩具分开时两部分的质量分别为 、 ,水平速度大小分别为 、 。依题意,动能关系为 玩具达到最高点时速度为零,两部分分开时速度方向相反,水平方向动量守恒,有 分开后两部分做平抛运动,由运动学关系,两部分落回地面时,竖直方向分速度大小为 ,设两部分落地 时的速度大小分别为 、 ,由速度合成公式,有, 结合 ,解得 16.(2021·海南·高考真题)如图,一长木板在光滑的水平面上以速度v 向右做匀速直线运动,将一小滑 0 块无初速地轻放在木板最右端。已知滑块和木板的质量分别为m和2m,它们之间的动摩擦因数为μ,重力 加速度为g。 (1)滑块相对木板静止时,求它们的共同速度大小; (2)某时刻木板速度是滑块的2倍,求此时滑块到木板最右端的距离; (3)若滑块轻放在木板最右端的同时,给木板施加一水平向右的外力,使得木板保持匀速直线运动,直 到滑块相对木板静止,求此过程中滑块的运动时间以及外力所做的功。 【答案】(1)v = ;(2)x = ;(3)t = ,W = mv2 共 0 【详解】(1)由于地面光滑,则木板与滑块组成的系统动量守恒,有 2mv = 3mv 0 共 解得 v = 共 (2)由于木板速度是滑块的2倍,则有 v = 2v 木 滑 再根据动量守恒定律有 2mv = 2mv + mv 0 木 滑 联立化简得 v = v,v = v 滑 0 木 0 再根据功能关系有 - μmgx = × 2mv 2 + mv 2 - × 2mv2 木 滑 0 经过计算得 x = (3)由于木板保持匀速直线运动,则有 F = μmg 对滑块进行受力分析,并根据牛顿第二定律有a = μg 滑 滑块相对木板静止时有 v = a t 0 滑 解得 t = 则整个过程中木板滑动的距离为 x′ = vt = 0 则拉力所做的功为 W = Fx′ = mv2 0 17.(2022·河北·统考高考真题)如图,光滑水平面上有两个等高的滑板A和B,质量分别为 和 ,A 右端和B左端分别放置物块C、D,物块质量均为 ,A和C以相同速度 向右运动,B和D以相 同速度 向左运动,在某时刻发生碰撞,作用时间极短,碰撞后C与D粘在一起形成一个新滑块,A与B 粘在一起形成一个新滑板,物块与滑板之间的动摩擦因数均为 。重力加速度大小取 。 (1)若 ,求碰撞后瞬间新物块和新滑板各自速度的大小和方向; (2)若 ,从碰撞后到新滑块与新滑板相对静止时,求两者相对位移的大小。 【答案】(1) , ,方向均向右;(2) 【详解】(1)物块C、D碰撞过程中满足动量守恒,设碰撞后物块C、D形成的新物块的速度为 ,C、D 的质量均为 ,以向右方向为正方向,则有 解得 可知碰撞后滑块C、D形成的新滑块的速度大小为 ,方向向右。 滑板A、B碰撞过程中满足动量守恒,设碰撞后滑板A、B形成的新滑板的速度为 ,滑板A和B质量分别 为 和 ,则由 解得 则新滑板速度方向也向右。(2)若 ,可知碰后瞬间物块C、D形成的新物块的速度为 碰后瞬间滑板A、B形成的新滑板的速度为 可知碰后新物块相对于新滑板向右运动,新物块向右做匀减速运动,新滑板向右做匀加速运动,设新物块 的质量为 ,新滑板的质量为 ,相对静止时的共同速度为 ,根据动量守恒可得 解得 根据能量守恒可得 解得 18.(2023·湖南·统考高考真题)如图,质量为 的匀质凹槽放在光滑水平地面上,凹槽内有一个半椭圆 形的光滑轨道,椭圆的半长轴和半短轴分别为 和 ,长轴水平,短轴竖直.质量为 的小球,初始时刻 从椭圆轨道长轴的右端点由静止开始下滑.以初始时刻椭圆中心的位置为坐标原点,在竖直平面内建立固 定于地面的直角坐标系 ,椭圆长轴位于 轴上。整个过程凹槽不翻转,重力加速度为 。 (1)小球第一次运动到轨道最低点时,求凹槽的速度大小以及凹槽相对于初始时刻运动的距离; (2)在平面直角坐标系 中,求出小球运动的轨迹方程; (3)若 ,求小球下降 高度时,小球相对于地面的速度大小(结果用 及 表示)。 【答案】(1) , ;(2) ;(3) 【详解】(1)小球运动到最低点的时候小球和凹槽水平方向系统动量守恒,取向左为正 小球运动到最低点的过程中系统机械能守恒 联立解得因水平方向在任何时候都动量守恒即 两边同时乘t可得 且由几何关系可知 联立得 (2)小球向左运动过程中凹槽向右运动,当小球的坐标为 时,此时凹槽水平向右运动的位移为 , 根据上式有 则小球现在在凹槽所在的椭圆上,根据数学知识可知此时的椭圆方程为 整理得 ( ) (3)将 代入小球的轨迹方程化简可得 即此时小球的轨迹为以 为圆心,b为半径的圆,则当小球下降的高度为 时有如图此时可知速度和水平方向的的夹角为 ,小球下降 的过程中,系统水平方向动量守恒 系统机械能守恒 联立得 考点 03 动量和能量的综合应用 19.(2021·湖北·统考高考真题)如图所示,一圆心为O、半径为R的光滑半圆弧轨道固定在竖直平面内, 其下端与光滑水平面在Q点相切。在水平面上,质量为m的小物块A以某一速度向质量也为m的静止小物 块B运动。A、B发生正碰后,B到达半圆弧轨道最高点时对轨道压力恰好为零,A沿半圆弧轨道运动到与 O点等高的C点时速度为零。已知重力加速度大小为g,忽略空气阻力。 (1)求B从半圆弧轨道飞出后落到水平面的位置到Q点的距离; (2)当A由C点沿半圆弧轨道下滑到D点时,OD与OQ夹角为θ,求此时A所受力对A做功的功率; (3)求碰撞过程中A和B损失的总动能。 【答案】(1)2R ;(2) ;(3) 【详解】解:(1)设 B到半圆弧轨道最高点时速度为 ,由于B对轨道最高点的压力为零,则由牛顿第 二定律得 B离开最高点后做平抛运动,则在竖直方向上有在水平方向上有 联立解得 x=2R (2)对A由C到D的过程,由机械能守恒定律得 由于对A做功的力只有重力,则A所受力对A做功的功率为 解得 (3)设A、B碰后瞬间的速度分别为v,v,对B由Q到最高点的过程,由机械能守恒定律得 1 2 解得 对A由Q到C的过程,由机械能守恒定律得 解得 设碰前瞬间A的速度为v,对A、B碰撞的过程,由动量守恒定律得 0 解得 碰撞过程中A和B损失的总动能为 解得 20.(2022·海南·高考真题)有一个角度可变的轨道,当倾角为 时,A恰好匀速下滑,现将倾角调为 ,从高为h的地方从静止下滑,过一段时间无碰撞地进入光滑水平面,与B发生弹性正碰,B被一根绳 子悬挂,与水平面接触但不挤压,碰后B恰好能做完整的圆周运动,已知A的质量是B质量的3倍,求: ①A与轨道间的动摩擦因数 ; ②A与B刚碰完B的速度大小;③绳子的长度L。 【答案】① ;② ;③0.6h 【详解】①倾角为 时匀速运动,根据平衡条件有 得 ②③A从高为h的地方滑下后速度为 ,根据动能定理有 A与B碰撞后速度分别为 和 ,根据动量守恒、能量守恒有 B到达最高点速度为 ,根据牛顿第二定律有 根据能量守恒有 解得 21.(2023·浙江·高考真题)一游戏装置竖直截面如图所示,该装置由固定在水平地面上倾角 的直 轨道 、螺旋圆形轨道 ,倾角 的直轨道 、水平直轨道 组成,除 段外各段轨道均 光滑,且各处平滑连接。螺旋圆形轨道与轨道 、 相切于 处.凹槽 底面 水平光滑,上 面放有一无动力摆渡车,并紧靠在竖直侧壁 处,摆渡车上表面与直轨道下 、平台 位于同一水平 面。已知螺旋圆形轨道半径 ,B点高度为 , 长度 , 长度 ,摆渡车 长度 、质量 。将一质量也为 的滑块从倾斜轨道 上高度 处静止释放,滑块在段运动时的阻力为其重力的0.2倍。(摆渡车碰到竖直侧壁 立即静止,滑块视为质点,不计空气阻 力, , ) (1)求滑块过C点的速度大小 和轨道对滑块的作用力大小 ; (2)摆渡车碰到 前,滑块恰好不脱离摆渡车,求滑块与摆渡车之间的动摩擦因数 ; (3)在(2)的条件下,求滑块从G到J所用的时间 。 【答案】(1) , ;(2) ;(3) 【详解】(1)滑块从静止释放到C点过程,根据动能定理可得 解得 滑块过C点时,根据牛顿第二定律可得 解得 (2)设滑块刚滑上摆渡车时的速度大小为 ,从静止释放到G点过程,根据动能定理可得 解得 摆渡车碰到 前,滑块恰好不脱离摆渡车,说明滑块到达摆渡车右端时刚好与摆渡车共速 ,以滑块和摆 渡车为系统,根据系统动量守恒可得 解得 根据能量守恒可得解得 (3)滑块从滑上摆渡车到与摆渡车共速过程,滑块的加速度大小为 所用时间为 此过程滑块通过的位移为 滑块与摆渡车共速后,滑块与摆渡车一起做匀速直线运动,该过程所用时间为 则滑块从G到J所用的时间为 22.(2023·全国·统考高考真题)如图,一竖直固定的长直圆管内有一质量为M的静止薄圆盘,圆盘与管 的上端口距离为l,圆管长度为 。一质量为 的小球从管的上端口由静止下落,并撞在圆盘中心, 圆盘向下滑动,所受滑动摩擦力与其所受重力大小相等。小球在管内运动时与管壁不接触,圆盘始终水平, 小球与圆盘发生的碰撞均为弹性碰撞且碰撞时间极短。不计空气阻力,重力加速度大小为g。求 (1)第一次碰撞后瞬间小球和圆盘的速度大小; (2)在第一次碰撞到第二次碰撞之间,小球与圆盘间的最远距离; (3)圆盘在管内运动过程中,小球与圆盘碰撞的次数。 【答案】(1)小球速度大小 ,圆盘速度大小 ;(2)l;(3)4 【详解】(1)过程1:小球释放后自由下落,下降 ,根据机械能守恒定律 解得过程2:小球以 与静止圆盘发生弹性碰撞,根据能量守恒定律和动量守恒定律分别有 解得 即小球碰后速度大小 ,方向竖直向上,圆盘速度大小为 ,方向竖直向下; (2)第一次碰后,小球做竖直上抛运动,圆盘摩擦力与重力平衡,匀速下滑,所以只要圆盘下降速度比 小球快,二者间距就不断增大,当二者速度相同时,间距最大,即 解得 根据运动学公式得最大距离为 (3)第一次碰撞后到第二次碰撞时,两者位移相等,则有 即 解得 此时小球的速度 圆盘的速度仍为 ,这段时间内圆盘下降的位移 之后第二次发生弹性碰撞,根据动量守恒根据能量守恒 联立解得 同理可得当位移相等时 解得 圆盘向下运动 此时圆盘距下端管口13l,之后二者第三次发生碰撞,碰前小球的速度 有动量守恒 机械能守恒 得碰后小球速度为 圆盘速度 当二者即将四次碰撞时 x = x 盘3 球3 即 得在这段时间内,圆盘向下移动 此时圆盘距离下端管口长度为 20l-1l-2l-4l-6l = 7l 此时可得出圆盘每次碰后到下一次碰前,下降距离逐次增加2l,故若发生下一次碰撞,圆盘将向下移动 x = 8l 盘4 则第四次碰撞后落出管口外,因此圆盘在管内运动的过程中,小球与圆盘的碰撞次数为4次。 23.(2022·全国·统考高考真题)如图(a),一质量为m的物块A与轻质弹簧连接,静止在光滑水平面上: 物块B向A运动, 时与弹簧接触,到 时与弹簧分离,第一次碰撞结束,A、B的 图像如图 (b)所示。已知从 到 时间内,物块A运动的距离为 。A、B分离后,A滑上粗糙斜面,然 后滑下,与一直在水平面上运动的B再次碰撞,之后A再次滑上斜面,达到的最高点与前一次相同。斜面 倾角为 ,与水平面光滑连接。碰撞过程中弹簧始终处于弹性限度内。求 (1)第一次碰撞过程中,弹簧弹性势能的最大值; (2)第一次碰撞过程中,弹簧压缩量的最大值; (3)物块A与斜面间的动摩擦因数。 【答案】(1) ;(2) ;(3) 【详解】(1)当弹簧被压缩最短时,弹簧弹性势能最大,此时 、 速度相等,即 时刻,根据动量 守恒定律 根据能量守恒定律 联立解得(2)解法一:同一时刻弹簧对 、B的弹力大小相等,根据牛顿第二定律 可知同一时刻 则同一时刻 、 的的瞬时速度分别为 , 根据位移等速度在时间上的累积可得 , 又 解得 第一次碰撞过程中,弹簧压缩量的最大值 解法二:B接触弹簧后,压缩弹簧的过程中,A、B动量守恒,有 对方程两边同时乘以时间 ,有 0-t 之间,根据位移等速度在时间上的累积,可得 0 将 代入可得 则第一次碰撞过程中,弹簧压缩量的最大值 (3)物块A第二次到达斜面的最高点与第一次相同,说明物块A第二次与B分离后速度大小仍为 ,方 向水平向右,设物块A第一次滑下斜面的速度大小为 ,设向左为正方向,根据动量守恒定律可得 根据能量守恒定律可得 联立解得 方法一:设在斜面上滑行的长度为 ,上滑过程,根据动能定理可得下滑过程,根据动能定理可得 联立解得 方法二:根据牛顿第二定律,可以分别计算出滑块A上滑和下滑时的加速度, , 上滑时末速度为0,下滑时初速度为0,由匀变速直线运动的位移速度关系可得 , 联立可解得 24.(2022·湖北·统考高考真题)打桩机是基建常用工具。某种简易打桩机模型如图所示,重物A、B和C 通过不可伸长的轻质长绳跨过两个光滑的等高小定滑轮连接,C与滑轮等高(图中实线位置)时,C到两 定滑轮的距离均为L。重物A和B的质量均为m,系统可以在如图虚线位置保持静止,此时连接C的绳与 水平方向的夹角为60°。某次打桩时,用外力将C拉到图中实线位置,然后由静止释放。设C的下落速度为 时,与正下方质量为2m的静止桩D正碰,碰撞时间极短,碰撞后C的速度为零,D竖直向下运动 距离后静止(不考虑C、D再次相碰)。A、B、C、D均可视为质点。 (1)求C的质量; (2)若D在运动过程中受到的阻力F可视为恒力,求F的大小; (3)撤掉桩D,将C再次拉到图中实线位置,然后由静止释放,求A、B、C的总动能最大时C的动能。 【答案】(1) ;(2)6.5mg;(3) 【详解】(1)系统在如图虚线位置保持静止,以C为研究对象,根据平衡条件可知解得 (2)CD碰后C的速度为零,设碰撞后D的速度v,根据动量守恒定律可知 解得 CD碰撞后D向下运动 距离后停止,根据动能定理可知 解得 F=6.5mg (3)设某时刻C向下运动的速度为v′,AB向上运动的速度为v,图中虚线与竖直方向的夹角为α,根据机 械能守恒定律可知 令 对上式求导数可得 当 时解得 即 此时 于是有 解得此时C的最大动能为 25.(2023·山东·统考高考真题)如图所示,物块A和木板B置于水平地面上,固定光滑弧形轨道末端与B 的上表面所在平面相切,竖直挡板P固定在地面上。作用在A上的水平外力,使A与B以相同速度 向右 做匀速直线运动。当B的左端经过轨道末端时,从弧形轨道某处无初速度下滑的滑块C恰好到达最低点, 并以水平速度v滑上B的上表面,同时撤掉外力,此时B右端与P板的距离为s。已知 , , , ,A与地面间无摩擦,B与地面间动摩擦因数 ,C与B间动摩擦因数 ,B足够长,使得C不会从B上滑下。B与P、A的碰撞均为弹性碰撞,不计碰撞时间,取重力加 速度大小 。 (1)求C下滑的高度H; (2)与P碰撞前,若B与C能达到共速,且A、B未发生碰撞,求s的范围; (3)若 ,求B与P碰撞前,摩擦力对C做的功W; (4)若 ,自C滑上B开始至A、B、C三个物体都达到平衡状态,求这三个物体总动量的变化量 的大小。 【答案】(1) ;(2) ;(3) ;(4) 【详解】(1)由题意可知滑块C静止滑下过程根据动能定理有 代入数据解得 (2)滑块C刚滑上B时可知C受到水平向左的摩擦力,为 木板B受到C的摩擦力水平向右,为 B受到地面的摩擦力水平向左,为 所以滑块C的加速度为木板B的加速度为 设经过时间t ,B和C共速,有 1 代入数据解得 木板B的位移 共同的速度 此后B和C共同减速,加速度大小为 设再经过t 时间,物块A恰好祖上模板B,有 2 整理得 解得 , (舍去) 此时B的位移 共同的速度 综上可知满足条件的s范围为 (3)由于 所以可知滑块C与木板B没有共速,对于木板B,根据运动学公式有整理后有 解得 , (舍去) 滑块C在这段时间的位移 所以摩擦力对C做的功 (4)因为木板B足够长,最后的状态一定会是C与B静止,物块A向左匀速运动。木板B向右运动0.48m 时,有 此时A、B之间的距离为 由于B与挡板发生碰撞不损失能量,故将原速率反弹。接着B向左做匀减速运动,可得加速度大小 物块A和木板B相向运动,设经过t 时间恰好相遇,则有 3 整理得 解得 , (舍去) 此时有 方向向左; 方向向右。接着A、B发生弹性碰撞,碰前A的速度为v =1m/s,方向向右,以水平向右为正方向,则有 0 代入数据解得 而此时 物块A向左的速度大于木板B和C向右的速度,由于摩擦力的作用,最后B和C静止,A向左匀速运动, 系统的初动量 末动量 则整个过程动量的变化量 即大小为9.02kg⋅m/s。