当前位置:首页>文档>专题十一:圆锥曲线解析版_2024年4月_其他_2024年新高考数学新题型试卷结构冲刺讲义_专题11:圆锥曲线(七大题型)-2024年新高考新题型试卷结构冲刺讲义

专题十一:圆锥曲线解析版_2024年4月_其他_2024年新高考数学新题型试卷结构冲刺讲义_专题11:圆锥曲线(七大题型)-2024年新高考新题型试卷结构冲刺讲义

  • 2026-03-25 13:48:35 2026-02-15 04:05:15

文档预览

专题十一:圆锥曲线解析版_2024年4月_其他_2024年新高考数学新题型试卷结构冲刺讲义_专题11:圆锥曲线(七大题型)-2024年新高考新题型试卷结构冲刺讲义
专题十一:圆锥曲线解析版_2024年4月_其他_2024年新高考数学新题型试卷结构冲刺讲义_专题11:圆锥曲线(七大题型)-2024年新高考新题型试卷结构冲刺讲义
专题十一:圆锥曲线解析版_2024年4月_其他_2024年新高考数学新题型试卷结构冲刺讲义_专题11:圆锥曲线(七大题型)-2024年新高考新题型试卷结构冲刺讲义
专题十一:圆锥曲线解析版_2024年4月_其他_2024年新高考数学新题型试卷结构冲刺讲义_专题11:圆锥曲线(七大题型)-2024年新高考新题型试卷结构冲刺讲义
专题十一:圆锥曲线解析版_2024年4月_其他_2024年新高考数学新题型试卷结构冲刺讲义_专题11:圆锥曲线(七大题型)-2024年新高考新题型试卷结构冲刺讲义
专题十一:圆锥曲线解析版_2024年4月_其他_2024年新高考数学新题型试卷结构冲刺讲义_专题11:圆锥曲线(七大题型)-2024年新高考新题型试卷结构冲刺讲义
专题十一:圆锥曲线解析版_2024年4月_其他_2024年新高考数学新题型试卷结构冲刺讲义_专题11:圆锥曲线(七大题型)-2024年新高考新题型试卷结构冲刺讲义
专题十一:圆锥曲线解析版_2024年4月_其他_2024年新高考数学新题型试卷结构冲刺讲义_专题11:圆锥曲线(七大题型)-2024年新高考新题型试卷结构冲刺讲义
专题十一:圆锥曲线解析版_2024年4月_其他_2024年新高考数学新题型试卷结构冲刺讲义_专题11:圆锥曲线(七大题型)-2024年新高考新题型试卷结构冲刺讲义
专题十一:圆锥曲线解析版_2024年4月_其他_2024年新高考数学新题型试卷结构冲刺讲义_专题11:圆锥曲线(七大题型)-2024年新高考新题型试卷结构冲刺讲义
专题十一:圆锥曲线解析版_2024年4月_其他_2024年新高考数学新题型试卷结构冲刺讲义_专题11:圆锥曲线(七大题型)-2024年新高考新题型试卷结构冲刺讲义
专题十一:圆锥曲线解析版_2024年4月_其他_2024年新高考数学新题型试卷结构冲刺讲义_专题11:圆锥曲线(七大题型)-2024年新高考新题型试卷结构冲刺讲义
专题十一:圆锥曲线解析版_2024年4月_其他_2024年新高考数学新题型试卷结构冲刺讲义_专题11:圆锥曲线(七大题型)-2024年新高考新题型试卷结构冲刺讲义
专题十一:圆锥曲线解析版_2024年4月_其他_2024年新高考数学新题型试卷结构冲刺讲义_专题11:圆锥曲线(七大题型)-2024年新高考新题型试卷结构冲刺讲义
专题十一:圆锥曲线解析版_2024年4月_其他_2024年新高考数学新题型试卷结构冲刺讲义_专题11:圆锥曲线(七大题型)-2024年新高考新题型试卷结构冲刺讲义
专题十一:圆锥曲线解析版_2024年4月_其他_2024年新高考数学新题型试卷结构冲刺讲义_专题11:圆锥曲线(七大题型)-2024年新高考新题型试卷结构冲刺讲义
专题十一:圆锥曲线解析版_2024年4月_其他_2024年新高考数学新题型试卷结构冲刺讲义_专题11:圆锥曲线(七大题型)-2024年新高考新题型试卷结构冲刺讲义
专题十一:圆锥曲线解析版_2024年4月_其他_2024年新高考数学新题型试卷结构冲刺讲义_专题11:圆锥曲线(七大题型)-2024年新高考新题型试卷结构冲刺讲义
专题十一:圆锥曲线解析版_2024年4月_其他_2024年新高考数学新题型试卷结构冲刺讲义_专题11:圆锥曲线(七大题型)-2024年新高考新题型试卷结构冲刺讲义
专题十一:圆锥曲线解析版_2024年4月_其他_2024年新高考数学新题型试卷结构冲刺讲义_专题11:圆锥曲线(七大题型)-2024年新高考新题型试卷结构冲刺讲义
专题十一:圆锥曲线解析版_2024年4月_其他_2024年新高考数学新题型试卷结构冲刺讲义_专题11:圆锥曲线(七大题型)-2024年新高考新题型试卷结构冲刺讲义
专题十一:圆锥曲线解析版_2024年4月_其他_2024年新高考数学新题型试卷结构冲刺讲义_专题11:圆锥曲线(七大题型)-2024年新高考新题型试卷结构冲刺讲义
专题十一:圆锥曲线解析版_2024年4月_其他_2024年新高考数学新题型试卷结构冲刺讲义_专题11:圆锥曲线(七大题型)-2024年新高考新题型试卷结构冲刺讲义
专题十一:圆锥曲线解析版_2024年4月_其他_2024年新高考数学新题型试卷结构冲刺讲义_专题11:圆锥曲线(七大题型)-2024年新高考新题型试卷结构冲刺讲义
专题十一:圆锥曲线解析版_2024年4月_其他_2024年新高考数学新题型试卷结构冲刺讲义_专题11:圆锥曲线(七大题型)-2024年新高考新题型试卷结构冲刺讲义
专题十一:圆锥曲线解析版_2024年4月_其他_2024年新高考数学新题型试卷结构冲刺讲义_专题11:圆锥曲线(七大题型)-2024年新高考新题型试卷结构冲刺讲义
专题十一:圆锥曲线解析版_2024年4月_其他_2024年新高考数学新题型试卷结构冲刺讲义_专题11:圆锥曲线(七大题型)-2024年新高考新题型试卷结构冲刺讲义
专题十一:圆锥曲线解析版_2024年4月_其他_2024年新高考数学新题型试卷结构冲刺讲义_专题11:圆锥曲线(七大题型)-2024年新高考新题型试卷结构冲刺讲义
专题十一:圆锥曲线解析版_2024年4月_其他_2024年新高考数学新题型试卷结构冲刺讲义_专题11:圆锥曲线(七大题型)-2024年新高考新题型试卷结构冲刺讲义
专题十一:圆锥曲线解析版_2024年4月_其他_2024年新高考数学新题型试卷结构冲刺讲义_专题11:圆锥曲线(七大题型)-2024年新高考新题型试卷结构冲刺讲义
专题十一:圆锥曲线解析版_2024年4月_其他_2024年新高考数学新题型试卷结构冲刺讲义_专题11:圆锥曲线(七大题型)-2024年新高考新题型试卷结构冲刺讲义
专题十一:圆锥曲线解析版_2024年4月_其他_2024年新高考数学新题型试卷结构冲刺讲义_专题11:圆锥曲线(七大题型)-2024年新高考新题型试卷结构冲刺讲义
专题十一:圆锥曲线解析版_2024年4月_其他_2024年新高考数学新题型试卷结构冲刺讲义_专题11:圆锥曲线(七大题型)-2024年新高考新题型试卷结构冲刺讲义
专题十一:圆锥曲线解析版_2024年4月_其他_2024年新高考数学新题型试卷结构冲刺讲义_专题11:圆锥曲线(七大题型)-2024年新高考新题型试卷结构冲刺讲义
专题十一:圆锥曲线解析版_2024年4月_其他_2024年新高考数学新题型试卷结构冲刺讲义_专题11:圆锥曲线(七大题型)-2024年新高考新题型试卷结构冲刺讲义
专题十一:圆锥曲线解析版_2024年4月_其他_2024年新高考数学新题型试卷结构冲刺讲义_专题11:圆锥曲线(七大题型)-2024年新高考新题型试卷结构冲刺讲义
专题十一:圆锥曲线解析版_2024年4月_其他_2024年新高考数学新题型试卷结构冲刺讲义_专题11:圆锥曲线(七大题型)-2024年新高考新题型试卷结构冲刺讲义
专题十一:圆锥曲线解析版_2024年4月_其他_2024年新高考数学新题型试卷结构冲刺讲义_专题11:圆锥曲线(七大题型)-2024年新高考新题型试卷结构冲刺讲义
专题十一:圆锥曲线解析版_2024年4月_其他_2024年新高考数学新题型试卷结构冲刺讲义_专题11:圆锥曲线(七大题型)-2024年新高考新题型试卷结构冲刺讲义
专题十一:圆锥曲线解析版_2024年4月_其他_2024年新高考数学新题型试卷结构冲刺讲义_专题11:圆锥曲线(七大题型)-2024年新高考新题型试卷结构冲刺讲义
专题十一:圆锥曲线解析版_2024年4月_其他_2024年新高考数学新题型试卷结构冲刺讲义_专题11:圆锥曲线(七大题型)-2024年新高考新题型试卷结构冲刺讲义
专题十一:圆锥曲线解析版_2024年4月_其他_2024年新高考数学新题型试卷结构冲刺讲义_专题11:圆锥曲线(七大题型)-2024年新高考新题型试卷结构冲刺讲义
专题十一:圆锥曲线解析版_2024年4月_其他_2024年新高考数学新题型试卷结构冲刺讲义_专题11:圆锥曲线(七大题型)-2024年新高考新题型试卷结构冲刺讲义
专题十一:圆锥曲线解析版_2024年4月_其他_2024年新高考数学新题型试卷结构冲刺讲义_专题11:圆锥曲线(七大题型)-2024年新高考新题型试卷结构冲刺讲义
专题十一:圆锥曲线解析版_2024年4月_其他_2024年新高考数学新题型试卷结构冲刺讲义_专题11:圆锥曲线(七大题型)-2024年新高考新题型试卷结构冲刺讲义
专题十一:圆锥曲线解析版_2024年4月_其他_2024年新高考数学新题型试卷结构冲刺讲义_专题11:圆锥曲线(七大题型)-2024年新高考新题型试卷结构冲刺讲义
专题十一:圆锥曲线解析版_2024年4月_其他_2024年新高考数学新题型试卷结构冲刺讲义_专题11:圆锥曲线(七大题型)-2024年新高考新题型试卷结构冲刺讲义
专题十一:圆锥曲线解析版_2024年4月_其他_2024年新高考数学新题型试卷结构冲刺讲义_专题11:圆锥曲线(七大题型)-2024年新高考新题型试卷结构冲刺讲义
专题十一:圆锥曲线解析版_2024年4月_其他_2024年新高考数学新题型试卷结构冲刺讲义_专题11:圆锥曲线(七大题型)-2024年新高考新题型试卷结构冲刺讲义
专题十一:圆锥曲线解析版_2024年4月_其他_2024年新高考数学新题型试卷结构冲刺讲义_专题11:圆锥曲线(七大题型)-2024年新高考新题型试卷结构冲刺讲义
专题十一:圆锥曲线解析版_2024年4月_其他_2024年新高考数学新题型试卷结构冲刺讲义_专题11:圆锥曲线(七大题型)-2024年新高考新题型试卷结构冲刺讲义
专题十一:圆锥曲线解析版_2024年4月_其他_2024年新高考数学新题型试卷结构冲刺讲义_专题11:圆锥曲线(七大题型)-2024年新高考新题型试卷结构冲刺讲义
专题十一:圆锥曲线解析版_2024年4月_其他_2024年新高考数学新题型试卷结构冲刺讲义_专题11:圆锥曲线(七大题型)-2024年新高考新题型试卷结构冲刺讲义
专题十一:圆锥曲线解析版_2024年4月_其他_2024年新高考数学新题型试卷结构冲刺讲义_专题11:圆锥曲线(七大题型)-2024年新高考新题型试卷结构冲刺讲义
专题十一:圆锥曲线解析版_2024年4月_其他_2024年新高考数学新题型试卷结构冲刺讲义_专题11:圆锥曲线(七大题型)-2024年新高考新题型试卷结构冲刺讲义
专题十一:圆锥曲线解析版_2024年4月_其他_2024年新高考数学新题型试卷结构冲刺讲义_专题11:圆锥曲线(七大题型)-2024年新高考新题型试卷结构冲刺讲义
专题十一:圆锥曲线解析版_2024年4月_其他_2024年新高考数学新题型试卷结构冲刺讲义_专题11:圆锥曲线(七大题型)-2024年新高考新题型试卷结构冲刺讲义
专题十一:圆锥曲线解析版_2024年4月_其他_2024年新高考数学新题型试卷结构冲刺讲义_专题11:圆锥曲线(七大题型)-2024年新高考新题型试卷结构冲刺讲义
专题十一:圆锥曲线解析版_2024年4月_其他_2024年新高考数学新题型试卷结构冲刺讲义_专题11:圆锥曲线(七大题型)-2024年新高考新题型试卷结构冲刺讲义

文档信息

文档格式
docx
文档大小
3.722 MB
文档页数
59 页
上传时间
2026-02-15 04:05:15

文档内容

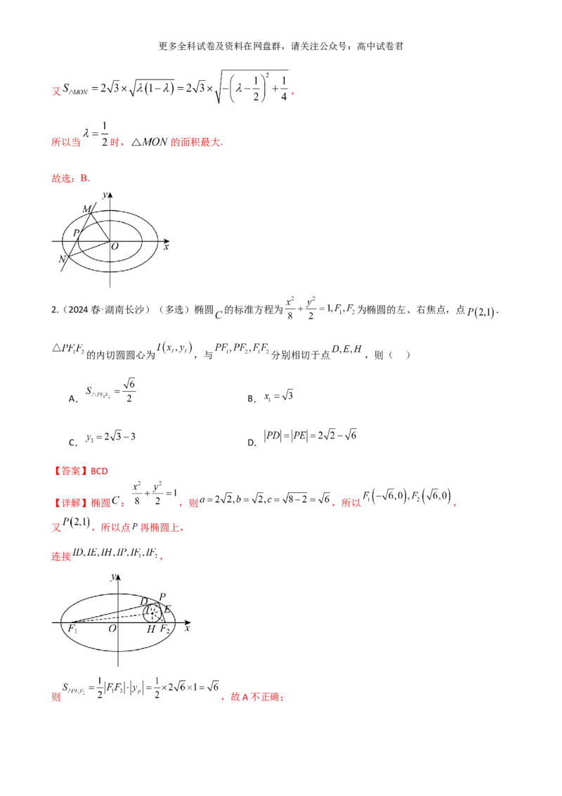
更多全科试卷及资料在网盘群,请关注公众号:高中试卷君 2024届新高考二轮复习第十一讲:圆锥曲线 1.(2)椭圆 的离心率为 ,则 ( ) A. B. C. D. 2 【答案】A 【解析】 【详解】由题意得 ,解得 , 故选:A. 2. (8)设双曲线 的左、右焦点分别为 ,过坐标原点的直线与 交于 两点, ,则 的离心率为( ) A. B. 2 C. D. 【答案】D 【解析】 【详解】 由双曲线的对称性可知 , ,有四边形 为平行四边形, 令 ,则 ,更多全科试卷及资料在网盘群,请关注公众号:高中试卷君 由双曲线定义可知 ,故有 ,即 , 即 , , , 则 ,即 ,故 , 则有 , 即 ,即 ,则 ,由 ,故 . 故选:D. 3. 已知抛物线 的焦点为 ,过 的直线 交 于 两点,过 与 垂直的直线交 于 两点,其中 在 轴上方, 分别为 的中点. (1)证明:直线 过定点; (2)设 为直线 与直线 的交点,求 面积的最小值. 【答案】(1)证明见解析 (2) 【解析】 【小问1详解】 由 ,故 ,由直线 与直线 垂直, 故两只直线斜率都存在且不为 , 设直线 、 分别为 、 ,有 , 、 、 、 ,更多全科试卷及资料在网盘群,请关注公众号:高中试卷君 联立 与直线 ,即有 , 消去 可得 , , 故 、 , 则 , 故 , , 即 ,同理可得 , 当 时, 则 , 即 , 由 ,即 , 故 时,有 , 此时 过定点,且该定点为 , 当 时,即 时,由 ,即 时, 有 ,亦过定点 ,更多全科试卷及资料在网盘群,请关注公众号:高中试卷君 故直线 过定点,且该定点为 ; 【小问2详解】 由 、 、 、 , 则 ,由 、 , 故 , 同理可得 ,联立两直线,即 , 有 , 即 , 有 ,由 ,同理 ,更多全科试卷及资料在网盘群,请关注公众号:高中试卷君 故 , 故 , 过点 作 轴,交直线 于点 ,则 , 由 、 , 故 , 当且仅当 时,等号成立, 下证 : 由抛物线的对称性,不妨设 ,则 , 当 时,有 ,则点 在 轴上方,点 亦在 轴上方, 有 ,由直线 过定点 , 此时 , 同理,当 时,有点 在 轴下方,点 亦在 轴下方, 有 ,故此时 , 当且仅当 时, ,更多全科试卷及资料在网盘群,请关注公众号:高中试卷君 故 恒成立,且 时,等号成立, 故 , 题型一:椭圆的方程 【典例例题】 例1.(2024春·新高考)(多选)已知椭圆C: 的左、右焦点分别为 , ,P是C上一点,则 ( ) A. B. 的最大值为8更多全科试卷及资料在网盘群,请关注公众号:高中试卷君 C. 的取值范围是 D. 的取值范围是 【答案】CD 【详解】由椭圆定义得 , , ,A错误; ,当 时取等号,B错误; ,设 ,则 , , , ,由 ,得 ,C正确; , ,D正确. 故选:CD 【变式训练】 1. ( 2024 春 · 河 南 省 ) 若 椭 圆 和 的 方 程 分 别 为 和 ( 且 ) 则 称 和 为 相 似 椭 圆 . 己 知 椭 圆 ,过 上任意一点 P 作直线交 于 M,N 两点,且 ,则 的面积最大时, 的值为( ) A. B. C. D. 【答案】B 【详解】当直线 的斜率不存在时,设直线 的方程为 , , 联立 ,可得 , 所以 ,更多全科试卷及资料在网盘群,请关注公众号:高中试卷君 所以 的面积为 , 由 ,可得 为 的中点,所以 , 因为点 在椭圆 上,所以 ,所以 , 当直线 的斜率存在时,设直线 的方程为 , 联立 ,消去 得, , , 设 , ,则 , , , 所以 点坐标为 , 因为点 在椭圆 上,所以 , 因为原点 到直线 的距离为 , , 所以 的面积为 , 综上, ,又 ,更多全科试卷及资料在网盘群,请关注公众号:高中试卷君 又 , 所以当 时, 的面积最大. 故选:B. 2.(2024春·湖南长沙)(多选)椭圆 的标准方程为 为椭圆的左、右焦点,点 . 的内切圆圆心为 ,与 分别相切于点 ,则( ) A. B. C. D. 【答案】BCD 【详解】椭圆 : ,则 ,所以 , 又 ,所以点 再椭圆上, 连接 , 则 ,故A不正确;更多全科试卷及资料在网盘群,请关注公众号:高中试卷君 由椭圆的定义可得 , 又 的内切圆圆心为 ,所以内切圆半径 , 由于 , 所以 , 故 ,故C正确; 又 , 所以 , 则 ,所以 ,故D正确; 又 ,所以 , 又 ,所以 ,即 ,故B正确. 故选:BCD. 题型二:椭圆的离心率 【典例例题】 例1.(2024·黑龙江)已知 为椭圆 上一点, 分别为 的左、右焦点,且 ,若 外接圆半径与其内切圆半径之比为 ,则 的离心率为 . 【答案】 【详解】由题意,在 中 , 所以其外接圆半径 ,内切圆的半径为 , 故 . 故答案为: 【变式训练】更多全科试卷及资料在网盘群,请关注公众号:高中试卷君 1.(2024春·广东省东莞)已知椭圆 : ( )的左、右焦点分别为 , ,左、 右顶点分别为 , ,点 在 上,且 , ,则椭圆 的离心率为( ) A. B. C. D. 【答案】A 2.(2024春·湖北武汉)已知椭圆 的左右焦点为 .直线 与椭圆 相交于 两点, 若 , 且 , 则椭圆 的离心率为 . 【答案】 【详解】 由椭圆的对称性可得四边形 为平行四边形,则 , 由 ,得 , 因为 ,所以 , 又 ,所以 , 在 中,由余弦定理得 , 即 , 所以 , 即椭圆的离心率 .更多全科试卷及资料在网盘群,请关注公众号:高中试卷君 故答案为: . 3.(2024春·广东汕头市)已知椭圆 , 是以点 为直角顶点的等腰直角三角 形,直角边 与椭圆分别交于另外两点 .若这样的 有且仅有一个,则该椭圆的离心率的 取值范围是______. 【答案】 【解析】 【详解】不妨设直线 ,则直线 , 联立方程得 ,得 , ,用 代替 得 , . 由 ,得 , 该方程关于 已有一解 ,由于符合条件的 有且仅有一个,更多全科试卷及资料在网盘群,请关注公众号:高中试卷君 关于 的方程 无实数解或有两个相等的实数解 . 当方程无实数解时, ,解得 ; 当方程有两个相等的实数解 时, ,解得 , , 则该椭圆的离心率 . 故答案为: . 4.(2024春·河北)如图,已知椭圆 和双曲线 具有相同的焦点 , ,A、B、C、D是 它们的公共点,且都在圆 上,直线 与x轴交于点P,直线 与双曲线 交于点 ,记 直线 、 的斜率分别为 、 ,若椭圆 的离心率为 ,则 的值为( ) A. 2 B. C. D. 4 【答案】B 【解析】 【详解】设椭圆标准方程为 ,双曲线的标准方程为 ,更多全科试卷及资料在网盘群,请关注公众号:高中试卷君 则 ,由 , , 所以 ,所以椭圆方程可化为 , 由 ,两式相减得 , ,则 , 根据对称性可知 关于原点对称, 关于 轴对称. 则 , 直线 的方程为 . 将 代入 得 , 由 ,解得 或 , 而 , ,所以 , 所以 ,所以双曲线方程可化为 , 由 消去 并化简得 ,更多全科试卷及资料在网盘群,请关注公众号:高中试卷君 设 ,解得 ,所以 , 所以 . 故选:B 题型三:双曲线的方程 【典例例题】 例1.如图,加斯帕尔·蒙日是18~19世纪法国著名的几何学家,他在研究圆锥曲线时发现:椭圆(或双曲 线)上两条相互垂直的切线的交点 的轨迹方程为圆,该圆称为外准圆,也叫蒙日圆.则双曲线 的蒙日圆的面积为( ) A. B. C. D. 【答案】B 【详解】设两条互相垂直的切线的交点为 , 由题可知,双曲线上两条互相垂直的切线的斜率均存在且均不为0, 设过点 且与曲线 相切的一条切线方程是 , , 由 得, , 则 ,即 ,更多全科试卷及资料在网盘群,请关注公众号:高中试卷君 整理得, , 因为过点 有两条直线与曲线 相切, 所以 ,且 ,即 ,则 , 得 , 又因为过点 的这两条切线互相垂直, 所以 , 即 , 故该双曲线的蒙日圆方程为: ,半径为 , 所以该双曲线蒙日圆的面积为 , 故选:B. 【变式训练】 1.(2024春·广西桂林)已知双曲线 ,直线 与双曲线相切于点 ,与两条渐近线相交于 , 两点,则此时三角形 (O为原点)的面积为( ) A. B.1 C. D.2 【答案】B 【详解】由 消去 并整理得 ,显然 , 则 ,解得 ,由对称性,不妨取 , 直线 ,而双曲线 的渐近线方程为 , 由 消去 并整理得 ,设 , 则 ,直线 交y轴于点 ,所以三角形 的面积为: . 故选:B更多全科试卷及资料在网盘群,请关注公众号:高中试卷君 2.(2024春·河北)已知双曲线 的离心率为2,左、右顶点分别为 ,右焦点 为 , 是 上位于第一象限的两点, ,若 ,则 ( ) A. B. C. D. 【答案】D 【详解】设双曲线的焦距为 ,左焦点为 ,离心率 , 则 , 由余弦定理得 ,所以 , 又 ,所以 , 设 ,则 , , 所以 ,所以 , , 故选:D.更多全科试卷及资料在网盘群,请关注公众号:高中试卷君 3.(2024春·四川成都)若双曲线 的左、右焦点分别为 ,过右焦点 的直线 与 双曲线 交于 两点,已知 的斜率为 , ,且 , ,则直线 的 斜率是( ) A. B. C. D. 【答案】A 【详解】设 ,则 ,如下图所示: 由双曲线定义,得 ; 在 中,由余弦定理,得 , 即 ,解得 . 在 中,由余弦定理,得 , 即 ,解得双曲线离心率 . 令 ,则 , 所以 ,设直线 , 联立双曲线和直线 整理可得 , 则 ; 由 ,得 ,解得 ,更多全科试卷及资料在网盘群,请关注公众号:高中试卷君 所以 . 故选:A 题型四:双曲线的离心率 【典例例题】 例1.(2024春·江西赣州)已知双曲线 的右焦点为F,过点F且斜率为 的直线l 交双曲线于A、B两点,线段AB的中垂线交x轴于点D. 若 ,则双曲线的离心率取值范围是 ( ) A. B. C. D. 【答案】A 【详解】设双曲线的右焦点为 ,则直线 , 联立方程 ,消去y得: , 则可得 , 则 , 设线段 的中点 ,则 , 即 , 且 ,线段 的中垂线的斜率为 , 则线段 的中垂线所在直线方程为 , 令 ,则 ,解得 ,更多全科试卷及资料在网盘群,请关注公众号:高中试卷君 即 ,则 , 由题意可得: ,即 , 整理得 ,则 , 注意到双曲线的离心率 , ∴双曲线的离心率取值范围是 . 故选:A. 【变式训练】 1.(2024·吉林长春)已知双曲线 的左,右焦点分别为 为 右支上一点, 的内切圆圆心为 ,直线 交 轴于点 ,则双曲线的离心率为 . 【答案】 如图,分别过点 和点 作 轴的垂线段 ,因 ,故易得: , 不妨设 依题意得: ①,由余弦定理: , 整理得: ,将① 式代入得: ②,由①-② 整理可解得: ,更多全科试卷及资料在网盘群,请关注公众号:高中试卷君 再将其代入② 式右边,计算可得: ③ 由题意, 的面积为: ,化简得: , 将③ 式代入并整理得: ,因 ,则离心率为: . 故答案为: . 2.(2024春·新高考)如图,已知双曲线 的一条弦 所在直线的倾斜角为 ,点 关于原点 的对称点为 ,若 ,双曲线 的离心率为 ,则 ( ) A.3 B. C. D.4 【答案】C 【详解】由题可知,弦 所在直线的倾斜角为 , , 则直线 的倾斜角为 , . 设 ,则 , 则 , ,两式相减可得 , 即 , 即 ,则 , 故 , 故选:C. 3.(2024·新疆乌鲁木齐)设双曲线 的左、右焦点分别为 , ,A是右支上一点,更多全科试卷及资料在网盘群,请关注公众号:高中试卷君 满足 ,直线 交双曲线于另一点 ,且 ,则双曲线的离心率为 . 【答案】 【详解】 ,则 , 又 ,所以 , 则 , , 又 ,所以三角形 为直角三角形, 则 , 即 , 化为 , 解得 或者 (舍), 此时 , 在直角三角形 中, , 即 ,所以 , 所以 . 故答案为: .更多全科试卷及资料在网盘群,请关注公众号:高中试卷君 题型五:抛物线 【典例例题】 例1.(2024·安徽)(多选)设 是坐标原点,抛物线 的焦点为 ,点 , 是抛物线 上两点, 且 .过点 作直线 的垂线交准线于点 ,则( ) A.过点 恰有2条直线与抛物线有且仅有一个公共点 B. 的最小值为2 C. 的最小值为 D.直线 恒过焦点 【答案】BC 【详解】 由抛物线的性质可知,过点 会有3条直线与抛物线有且仅有一个公共点,其中2条直线与抛物线相切,1 条斜率为零的直线与抛物线相交,故A错; 设 , ,因为 ,所以 ,解得 , 若 ,则 或 ,此时 , 当 时, 直线 的方程为 , 所以直线 恒过定点 ,故D错; 设直线 : ,联立 得 , , 则 , , ,更多全科试卷及资料在网盘群,请关注公众号:高中试卷君 所以当 时, 最小,最小为 ,故C正确; 因为 ,所以直线 为 , 联立 得 ,则 ,即 为准线上的动点, 所以当点 为 时, 最小,为2,故B正确. 故选:BC. 【变式训练】 1.(2024春·黑龙江)圆心在抛物线 上,且与直线 相切的圆一定过的点是( ) A. B. C. D. 【答案】B 【详解】解:抛物线的标准方程为: , 抛物线的准线方程为 ,焦点为 . 设动圆圆心为 ,则 到 的距离: . 动圆 与直线 相切, 到直线 的距离为动圆半径,即动圆半径为 ,即 为圆上的点. 此圆恒过定点 . 故选:B. 2.(2024春·甘肃)已知过抛物线 焦点 的直线交 于 , 两点,点 , 在 的准线 上的射影分别为点 , ,线段 的垂直平分线 的倾斜角为 ,若 ,则 ( ) A. B.1 C.2 D.4 【答案】B 【详解】如图,过点 作 , 由条件可知直线 的倾斜角为 ,则直线 的倾斜角为 ,更多全科试卷及资料在网盘群,请关注公众号:高中试卷君 由 , ,所以 , 设直线 的直线方程为 , 联立 ,得 , 易知 ,则 , 而 ,得 . 故选:B 3.(2024春·新疆乌鲁木齐)设抛物线 的焦点为 ,过点 且倾斜角为 的直线与 交 于A,B两点,以 为直径的圆与准线 切于点 ,则 的方程为( ) A. B. C. D. 【答案】B 【详解】由于以 为直径的圆与抛物线的准线相切,以 为直径的圆过点 , 可知 的中点的纵坐标为:2, 直线 的方程为: , 则 ,可得 ,则 中的纵坐标为: ,解得 , 该抛物线的方程为: .更多全科试卷及资料在网盘群,请关注公众号:高中试卷君 故选:B. 4.(2024·贵州贵阳)(多选)已知抛物线 的焦点为 为坐标原点,其准线与 轴交于点 , 经过点 的直线 与抛物线交于不同两点 ,则下列说法正确的是( ) A. B.存在 C.不存在以 为直径且经过焦点 的圆 D.当 的面积为 时,直线 的倾斜角为 或 【答案】AD 【详解】对A,由题意得 ,准线方程为 ,则 , 显然当直线 的斜率为0,即直线 的方程为 ,此时不合题意, 设直线 的方程为 , 联立抛物线方程 ,得 , ,解得 或 , , , , ,则 , ,则 , , , 则 ,A正确; 对B,当直线 与抛物线相切时, 最大,则 ,解得 , 根据抛物线对称性取 分析: 此时直线方程为 ,此时直线斜率为1,则 ,因此不存在 ,B错误; 对C,假设存在以 为直径且经过焦点 的圆,则 ,更多全科试卷及资料在网盘群,请关注公众号:高中试卷君 ,则 , 即 , , 即 ,即 , ,满足 或 , 即存在以 为直径且经过焦点 的圆,C错误; 对D, , , 此时直线斜率为 ,则直线 的倾斜角为 或 ,故D正确. 故选:AD. 题型六:直线与圆锥曲线的位置关系 【典例例题】 例1.(2024春·广东省深圳外国语学校、执信中学)已知椭圆 的左、右焦点分 别为 、 ,离心率为 , 是椭圆上的点. (1)求椭圆 的标准方程; (2)设 为 的左顶点,过 的直线交椭圆 于 、 两点,直线 、 分别交直线 于 、 两点, 是线段 的中点,在 轴上求出一定点 ,使得 . 【答案】(1) (2)更多全科试卷及资料在网盘群,请关注公众号:高中试卷君 【解析】 【小问1详解】 解:由椭圆过 可得 ,可得 , 又因为 ,解得 , ,所以椭圆 的标准方程为 . 【小问2详解】 解:设点 、 ,易知点 、 , 若直线 与 轴重合,则 、 中必有一点与点 重合,不合乎题意, 设直线 的方程为 , 联立 可得 , , 由韦达定理可得 , , 直线 的方程为 ,更多全科试卷及资料在网盘群,请关注公众号:高中试卷君 在直线 的方程中,令 ,可得 ,即点 , 同理可得点 ,则 中点 . 因为 ,则点 是在以 为直径的圆上, 以 为直径 圆的方程为 , 的 在圆的方程中,令 ,得 , . 所以 ,即 , 又因为 , 所以 ,即 ,解得 , 所以 点坐标为 . 【变式训练】 1.(2024春·广州市华南师大附中第一次调研)已知椭圆 的离心率为 ,斜率为2 的直线l与x轴交于点M,l与C交于A,B两点,D是A关于y轴的对称点.当M与原点O重合时, 面积为 . (1)求C的方程; (2)当M异于O点时,记直线 与y轴交于点N,求 周长的最小值.更多全科试卷及资料在网盘群,请关注公众号:高中试卷君 【答案】(1) (2) 【详解】(1)当M与原点O重合时,可设 ,则有 、 , 且 ,即有 , 则 , 即 ,又 ,故 ,则 , 即有 ,由离心率为 ,即 , 则 ,故 ,即有 , 解得 ,故 ,即C的方程为 ; (2)设直线 方程为 ,令 ,有 ,即 , 设点 、 ,则 , 联立直线与椭圆方程: ,消去 有 , ,即 , 有 , , 为 , 令 ,故 , 由 ,故 ,更多全科试卷及资料在网盘群,请关注公众号:高中试卷君 其中 ,即 , 则 , 当且仅当 时等号成立, 故 周长的最小值为 . 2.(2024春·广东惠州)已知椭圆 的离心率为 ,且椭圆上的点到焦点的最长 距离为 . (1)求椭圆 的方程: (2)直线 (不过原点 )与抛物线 相交于 两点,以 为直径的圆经过原点 ,且此直 线 也与椭圆 相交于 两点,求 面积的最大值及此时直线 的方程. 【答案】(1) (2)面积的最大值是 ,此时 的方程为 . 【解析】 【小问1详解】更多全科试卷及资料在网盘群,请关注公众号:高中试卷君 设椭圆上的点坐标为 , ,右焦点 , 则点D到焦点距离为 , 当 时,取得最大值, 由题意知: ∴ , ∴椭圆C的方程为 ; 【小问2详解】 显然,直线 的斜率存在,设直线 方程为 , , , , , 联立直线与抛物线方程得: , 以 为直径的圆经过原点 ,则 , 或 (舍去),所以直线的方程为: , 联立直线与椭圆方程得: , , ,更多全科试卷及资料在网盘群,请关注公众号:高中试卷君 法一:设直线与 轴的交点为 , . 法二:设直线与 轴的交点为 , , 法三:原点到直线 的距离为 ,所以 , 其中 ,令 , .∴ , 当且仅当 时等号成立,此时 ,且满足 , ∴ 面积 的最大值是 ,此时 的方程为 . 3.(2024春·广东广州市)在平面直角坐标系 中,点 ,点 是平面内的动点.若以PF 为直径的圆与圆 内切,记点P的轨迹为曲线E. (1)求E的方程; (2)设点 , , ,直线AM,AN分别与曲线E交于点S,T(S,T异于更多全科试卷及资料在网盘群,请关注公众号:高中试卷君 A), ,垂足为H,求 的最小值. 【答案】(1) (2) 【解析】 【小问1详解】 设 ,则 的中点 , 根据题意得 ,即 , 整理得 , 化简得点 的轨迹方程 【小问2详解】 设 ,先证直线 恒过定点,理由如下: 由对称性可知直线 的斜率不为0,所以可设直线 , 联立直线 与 , , 则 ,①更多全科试卷及资料在网盘群,请关注公众号:高中试卷君 ,② 所以 ,令 ,得点 横坐标 , 同理可得点 横坐标 , 故 , 将 代入上式整理得: , 将②代入得 , 若 ,则直线 ,恒过 不合题意; 若 ,则 ,恒过 , 因为直线 恒过 ,且与 始终有两个交点, 又 , ,垂足为H, 所以点H轨迹是以 为直径的半圆(不含点 ,在直线 下方部分), 设 中点为C,则圆心 ,半径为1, 所以 ,当且仅当点H在线段 上时, 所以 的最小值为 . 4.(2024春·河北廊坊)已知抛物线C: 的焦点为F,圆M: .点 是抛物 线C上一点,更多全科试卷及资料在网盘群,请关注公众号:高中试卷君 (1)求抛物线C的标准方程; (2)若点P在圆M上,PA,PB是C的两条切线,A,B是切点,求 面积的最大值. 【答案】(1) ; (2) . 【解析】 【小问1详解】 由抛物线C: 过点 ,得 ,解得 , 所以抛物线C的标准方程是 . 【小问2详解】 由(1)知,抛物线C的方程为 ,即 ,求导得 , 设点 ,则 , 直线 的方程为 ,整理得 , 同理,直线PB的方程为 , 显然点P为这两条直线的公共点,则 , 则点A、B的坐标满足方程 ,于是直线 的方程为 , 由 消去y并整理得 , 由 ,得 ,解得 , 因此 , , 则 ,更多全科试卷及资料在网盘群,请关注公众号:高中试卷君 点P到直线AB的距离为 , 于是 , 而 , 而 ,则当 时, , , 所以 的面积取最大值是 . 题型七:圆锥曲线新颖题型 【典例例题】 例1.(2024春·广东汕头)已知点 为双曲线 上的动点. (1)判断直线 与双曲线的公共点个数,并说明理由; (2)(i)如果把(1)的结论推广到一般双曲线,你能得到什么相应的结论?请写出你的结论,不必证明; (ii)将双曲线 的两条渐近线称为“退化的双曲线”,其方程为 ,请利用 该方程证明如下命题:若 为双曲线 上一点,直线 : 与 的两条渐近线分别交于点更多全科试卷及资料在网盘群,请关注公众号:高中试卷君 ,则 为线段 的中点. 【答案】 【详解】(1)由点 在双曲线 上,得 ,即 由 消去y得: , 则 ,显然 , 所以该直线与双曲线有且只有1个公共点. (2)(i)由(1)知,直线 与双曲线 相切于点 , 所以过双曲线 上一点 的切线方程为 .证明如下: 显然 ,即 , 由 消去y得: , 于是 , 因此直线 与双曲线 相切于点 , 所以过双曲线 上一点 的切线方程为 . (ii)当 时,直线 的斜率不存在,由对称性知,点 为线段 的中点; 当 时,设 ,线段 的中点 , 由 消去y得: , 由 ,得 ,则 , 又 ,于是 ,即点 与点 重合, 所以点 为线段 的中点. 【变式训练】 1.(2024春·四川雅安)我们把形如 和 的两个双曲线更多全科试卷及资料在网盘群,请关注公众号:高中试卷君 叫做共轭双曲线.设共轭双曲线 , 的离心率分别为 , ,则当 取得最大值时, ( ) A. B. C. D. 【答案】A 【详解】由题意可知 则 . 由 ,可设 , 则 ,其中 , 当 ,即 时, 取得最大值 , 此时 . 故选:A. 2.(2024春·安徽合肥)我们约定,如果一个椭圆的长轴和短轴分别是另一条双曲线的实轴和虚轴,则称它 们互为“姊妺”圆锥曲线.已知椭圆 ,双曲线 是椭圆 的“姊妺”圆锥曲线, 分别为 的离心率,且 ,点 分别为椭圆 的左、右顶点. (1)求双曲线 的方程; (2)设过点 的动直线 交双曲线 右支于 两点,若直线 的斜率分别为 . (i)试探究 与 的比值 是否为定值.若是定值,求出这个定值;若不是定值,请说明理由;更多全科试卷及资料在网盘群,请关注公众号:高中试卷君 (ii)求 的取值范围. 【答案】(1) (2)(i)为定值, (ii) 【详解】(1)由题意可设双曲线 ,则 ,解得 , 所以双曲线 的方程为 . (2)(i)设 ,直线 的方程为 , 由 ,消元得 . 则 ,且 , , 或由韦达定理可得 ,即 ,更多全科试卷及资料在网盘群,请关注公众号:高中试卷君 , 即 与 的比值为定值 . (ii)方法一:设直线 , 代入双曲线方程并整理得 , 由于点 为双曲线的左顶点,所以此方程有一根为 ,. 由韦达定理得: ,解得 . 因为点A在双曲线的右支上,所以 ,解得 , 即 ,同理可得 , 由(i)中结论可知 , 得 ,所以 , 故 , 设 ,其图象对称轴为 , 则 在 上单调递减,故 , 故 的取值范围为 ; 方法二:由于双曲线 的渐近线方程为 , 如图,过点 作两渐近线的平行线 ,由于点A在双曲线 的右支上, 所以直线 介于直线 之间(含 轴,不含直线 ),更多全科试卷及资料在网盘群,请关注公众号:高中试卷君 所以 . 同理,过点 作两渐近线的平行线 , 由于点 在双曲线 的右支上, 所以直线 介于直线 之间(不含 轴,不含直线 ), 所以 . 由(i)中结论可知 , 得 ,所以 , 故 . 3.(2024春·安徽黄山)如图,已知曲线 是以原点O为中心、 为焦点的椭圆的一部分,曲线 是以 原点O为中心, 为焦点的双曲线的一部分,A是曲线 和曲线 的交点,且 为钝角,我们把 曲线 和曲线 合成的曲线C称为“月蚀圆”.设 .更多全科试卷及资料在网盘群,请关注公众号:高中试卷君 (1)求曲线 和 所在的椭圆和双曲线的标准方程; (2)过点 作一条与x轴不垂直的直线,与“月蚀圆”依次交于B,C,D,E四点,记G为CD的中点,H 为BE的中点.问: 是否为定值?若是,求出此定值;若不是,请说明理由. 【答案】(1)椭圆 所在的标准方程为 ,双曲线 所在的标准方程为 (2) 是定值,为 ,理由见解析 【详解】(1)设椭圆所在的标准方程为 , 双曲线所在的标准方程为 , 因为 , 所以可得 , , 解得 , , 所以椭圆 所在的标准方程为 ,双曲线 所在的标准方程为 ; (2) 是定值,为 ,理由如下, 由(1)椭圆所在的标准方程为 ,双曲线所在的标准方程为 , 因为直线 与“月蚀圆”依次交于B,C,D,E四点,所以直线 的斜率不为0, 设直线 的方程为 , , 双曲线 的渐近线方程为 ,所以 , 可得 , , 直线 的方程与椭圆方程联立 ,整理得更多全科试卷及资料在网盘群,请关注公众号:高中试卷君 , 所以 , 所以 , 直线 的方程与双曲线方程联立 ,整理得 , 所以 , 所以 , 所以 , 所以 是定值 . 一、单项选择 1.(2024春·江西省)椭圆 与椭圆 的( ) A.长轴长相等 B.短轴长相等 C.离心率相等 D.焦距相等 【答案】D 【详解】椭圆 的长轴长为 ,短轴长为 ,焦距为 ,离心率为 , 椭圆 的长轴长为 ,短轴长为 , 焦距为 ,离心率为 ,更多全科试卷及资料在网盘群,请关注公众号:高中试卷君 所以,两椭圆的焦距相等,长轴长不相等,短轴长不相等,离心率也不相等. 故选:D. 2.(2024春·广东深圳)已知双曲线 的左、右焦点分别为 、 ,经过 的直线交双 曲线的左支于 , , 的内切圆的圆心为 , 的角平分线为 交 于M,且 ,若 ,则该双曲线的离心率是( ) A. B. C. D.2 【答案】A 【详解】设内切圆的半径为 , 由 ,即 ,则 , 设 ,则 ,则 , 由 ,即 , 则 ,则 , ,则 ,故 ,同理得 , 故 ,故 , 则 , 故 ,则 , 则 . 故选:A更多全科试卷及资料在网盘群,请关注公众号:高中试卷君 3.(2024春·内蒙古赤峰)过双曲线 的右顶点 作斜率为 的直线 ,与 的两条渐近 线分别交于点 ,若 ,则双曲线 的离心率为( ) A. B. C. D. 【答案】B 【详解】 设直线 方程为 ,因为渐近线方程为 ,联立两方程解得 , 因为 ,所以 ,即 , 化简可得 , 所以离心率 , 故选:B. 3.(2024春·天津)已知 分别为双曲线 的左、右焦点,过 向双曲线的一条渐 近线引垂线,垂足为点 ,且 ( 为坐标原点),则双曲线 的渐近线方程为( ) A. B.更多全科试卷及资料在网盘群,请关注公众号:高中试卷君 C. D. 【答案】D 【详解】设双曲线 焦距为 ,则 、 , 不妨设渐近线 的方程为 ,如图: 因为直线 与直线 垂直,则直线 的方程为 , 联立 可得 ,即点 , 所以, , 因为 ,所以 , 又 ,故 , 所以, , 整理可得 , 所以 ,又 , 所以 , 故该双曲线 的渐近线方程为 . 故选:D. 二、多项选择 4.(2024春·辽宁)已知抛物线 的焦点为 , 为坐标原点,倾斜角为 的直线 过点 且与更多全科试卷及资料在网盘群,请关注公众号:高中试卷君 交于 , 两点,若 的面积为 ,则 ( ) A. B. C.以 为直径的圆与 轴仅有 个交点 D. 或 【答案】AC 【详解】依题意 ,设直线 , , , 由 ,整理得 ,则 , 所以 , ,所以 , 解得 ,所以 ,又 ,解得 , 所以 ,又 ,所以 ,故A正确; 因为 ,故B错误; 因为 ,又线段 的中点到 轴的距离为 , 所以以 为直径的圆与 轴相切,即仅有 个交点,故C正确; 因为 ,若 ,则 ,解得 或 ; 若 ,则 ,解得 或 ; 即 、 或 、 , 所以 或 ,故D错误. 故选:AC更多全科试卷及资料在网盘群,请关注公众号:高中试卷君 5.(2024春·山东日照)如图是数学家Germinal Dandelin用来证明一个平面截圆锥侧面得到的截口曲线是椭 圆的模型(称为“Dandelin双球”).在圆锥内放两个大小不同的小球,使得它们分别与圆锥的侧面、截 面相切,截面分别与球 ,球 切于点E,F(E,F是截口椭圆C的焦点).设图中球 ,球 的半径 分别为4和1,球心距 ,则( ) A.椭圆C的中心不在直线 上 B. C.直线 与椭圆C所在平面所成的角的正弦值为 D.椭圆C的离心率为 【答案】ACD 【详解】依题意,截面椭圆的长轴与圆锥的轴相交,椭圆长轴所在直线与圆锥的轴确定的平面截此组合体, 得圆锥的轴截面及球 ,球 的截面大圆,如图,更多全科试卷及资料在网盘群,请关注公众号:高中试卷君 点 分别为圆 与圆锥轴截面等腰三角形一腰相切的切点,线段 是椭圆长轴, 可知椭圆C的中心(即线段 的中点)不在直线 上,故A正确; 椭圆长轴长 , 过 作 于D,连 ,显然四边形 为矩形, 又 , 则 , 过 作 交 延长线于C,显然四边形 为矩形, 椭圆焦距 ,故B错误; 所以直线 与椭圆C所在平面所成的角的正弦值为 ,故C正确; 所以椭圆的离心率 ,故D正确; 故选:ACD. 6.(2024春·广东广州)双曲线具有如下性质:双曲线在任意一点处的切线平分该点与两焦点连线的夹角. 设 为坐标原点,双曲线 的左右焦点分别为 ,右顶点 到一条渐近线的距离为 2,右支上一动点 处的切线记为 ,则( ) A.双曲线 的渐近线方程为 B.双曲线 的离心率为 C.当 轴时,更多全科试卷及资料在网盘群,请关注公众号:高中试卷君 D.过点 作 ,垂足为 【答案】ACD 【详解】对于A,由双曲线 可知 ,右顶点 , 其渐近线方程为 ,右顶点 到一条渐近线的距离为2, 不妨取渐近线 ,则 ,解得 , 故双曲线 的渐近线方程为 ,A正确; 对于B,由于 , 故双曲线 的离心率为 ,B错误; 对于C, ,当 轴时,将 代入 中, 得 ,即得 , 由于P在双曲线右支上,故 ,C正确; 对于D,连接 并延长交 的延长线于E, 由题意知, 为 的角平分线,结合 , 可知 ,K为 的中点,而O为 的中点, 故 ,D正确, 故选:ACD更多全科试卷及资料在网盘群,请关注公众号:高中试卷君 8.(2024春·广东东莞)已知双曲线 的左、右焦点分别为 为坐标原点,直线 与双曲线 的渐近线交于点 ( 在第二象限, 在第一象限),下列结论正确的是( ) A. B. C.若 的面积为2,则双曲线 的焦距的最小值为4 D.若 的面积为2,则双曲线 的焦距的最小值为8 【答案】AC 【详解】由于双曲线的渐近线方程为 ,所以 , , 故 ,点 在以 为圆心, 为半径的圆上,所以 ,A正确. ,直线 的斜率为 ,直线 的斜率为 由于 与 不一定相等,所以直线 与直线 不一定平行,B错误. 的面积为 ,双曲线 的焦距为 ,当且仅当 时,等号成立, 所以双曲线 的焦距的最小值为 正确, 错误. 故选:AC 三、简答题 9.(2024春·广东惠州市)如图,已知半圆C : 与x轴交于A、B两点,与y轴交于E 1更多全科试卷及资料在网盘群,请关注公众号:高中试卷君 点,半椭圆C : 的上焦点为F,并且 是面积为 的等边三角形, 2 将由C 、C 构成的曲线,记为“Γ”. 1 2 (1)求实数a、b的值; (2)直线l: 与曲线Γ交于M、N两点,在曲线Γ上再取两点S、T(S、T分别在直线l两侧), 使得这四个点形成的四边形MSNT的面积最大,求此最大面积; (3)设点 ,P是曲线Γ上任意一点,求 的最小值. 【答案】(1) (2) (3) 【解析】 【小问1详解】 如图1所示,更多全科试卷及资料在网盘群,请关注公众号:高中试卷君 由等边 的面积为 ,所以 , 解得 ,所以 , 又 ,解得 ,即 ; 【小问2详解】 如图2所示, 设点N在半圆上,且在第三象限内,M在半椭圆上,且在第一象限内, 由 ,解得 , 由 ,解得 ; 所以 ;更多全科试卷及资料在网盘群,请关注公众号:高中试卷君 设S在半圆上,且在第二象限, ,S到直线MN的距离为d, , 则 ,T到直线MN的最大距离为1, 所以四边形MSNT的面积最大值为 ; 【小问3详解】 如图3所示, 当 时, ; 当 时,设 是半椭圆 上的点,由 得 . 此时 若 ,则 , 在 上单调递减,在 上单调递增, 故当 时, ;更多全科试卷及资料在网盘群,请关注公众号:高中试卷君 若 ,则 , 在 上单调递减, 故当 时, ; 综上所述, 10. (2024春·广东省潮州市) 设圆 的圆心为A,直线l过点B(1,0)且与x轴不重 合,l交圆A于C,D两点,过B作AC的平行线交AD于点E. (I)证明 为定值,并写出点E的轨迹方程; (II)设点E的轨迹为曲线C ,直线l交C 于M,N两点,过B且与l垂直的直线与圆A交于P,Q两点,求 1 1 四边形MPNQ面积的取值范围. 【答案】(Ⅰ)答案见解析;(Ⅱ) . 【解析】 【详解】试题分析:(Ⅰ)利用椭圆定义求方程;(Ⅱ)把面积表示为关于斜率k的函数,再求最值. 试题解析:(Ⅰ)因为 , ,故 , 所以 ,故 . 又圆 的标准方程为 ,从而 ,所以 . 由题设得 , , ,由椭圆定义可得点 的轨迹方程为: ( ). (Ⅱ)当 与 轴不垂直时,设 的方程为 , , .更多全科试卷及资料在网盘群,请关注公众号:高中试卷君 由 得 . 则 , . 所以 . 过点 且与 垂直的直线 : , 到 的距离为 ,所以 .故四边形 面积 的 . 可得当 与 轴不垂直时,四边形 面积的取值范围为 . 的 当 与 轴垂直时,其方程为 , , ,四边形 面积为12. 综上,四边形 面积的取值范围为 . 11.(2024春·广东省深圳市龙岗区)已知双曲线 的左、右焦点分别为 , ,离 心率为 ,过点 的直线 与双曲线的左、右两支分别交于点 , .当 时, 的面积为 5. (1)求双曲线的标准方程; (2)若直线 与 轴交于点 ,且 , ,求证: 为定值.更多全科试卷及资料在网盘群,请关注公众号:高中试卷君 【答案】(1) ;(2)证明见解析. 【解析】 【详解】(1)当 时, , , 可得 . 由双曲线的定义可知, , 两边同时平方可得, , 所以 .① 又双曲线的离心率为 ,所以 .② 由①②可得, , ,所以 , 所以双曲线的标准方程为 . (2)当直线 与 轴垂直时,点 与原点 重合, 此时 , , ,所以 , , . 当直线 与 轴不垂直时,设直线 的方程为 , , , 由题意知 且 , 将直线 的方程与双曲线方程联立,消去 得, , 则 , , .更多全科试卷及资料在网盘群,请关注公众号:高中试卷君 易知点 的坐标为 , 则由 ,可得 , 所以 , 同理可得 . 所以 . 综上, 为定值 .