当前位置:首页>文档>辽宁省实验中学2023-2024学年度高考适应性测试(二)数学参考答案_2024年3月_02按日期_16号_2024届辽宁省实验中学高考适应性测试(二)

辽宁省实验中学2023-2024学年度高考适应性测试(二)数学参考答案_2024年3月_02按日期_16号_2024届辽宁省实验中学高考适应性测试(二)

  • 2026-04-06 11:21:59 2026-02-18 13:22:20

文档预览

辽宁省实验中学2023-2024学年度高考适应性测试(二)数学参考答案_2024年3月_02按日期_16号_2024届辽宁省实验中学高考适应性测试(二)
辽宁省实验中学2023-2024学年度高考适应性测试(二)数学参考答案_2024年3月_02按日期_16号_2024届辽宁省实验中学高考适应性测试(二)
辽宁省实验中学2023-2024学年度高考适应性测试(二)数学参考答案_2024年3月_02按日期_16号_2024届辽宁省实验中学高考适应性测试(二)
辽宁省实验中学2023-2024学年度高考适应性测试(二)数学参考答案_2024年3月_02按日期_16号_2024届辽宁省实验中学高考适应性测试(二)
辽宁省实验中学2023-2024学年度高考适应性测试(二)数学参考答案_2024年3月_02按日期_16号_2024届辽宁省实验中学高考适应性测试(二)
辽宁省实验中学2023-2024学年度高考适应性测试(二)数学参考答案_2024年3月_02按日期_16号_2024届辽宁省实验中学高考适应性测试(二)
辽宁省实验中学2023-2024学年度高考适应性测试(二)数学参考答案_2024年3月_02按日期_16号_2024届辽宁省实验中学高考适应性测试(二)
辽宁省实验中学2023-2024学年度高考适应性测试(二)数学参考答案_2024年3月_02按日期_16号_2024届辽宁省实验中学高考适应性测试(二)
辽宁省实验中学2023-2024学年度高考适应性测试(二)数学参考答案_2024年3月_02按日期_16号_2024届辽宁省实验中学高考适应性测试(二)
辽宁省实验中学2023-2024学年度高考适应性测试(二)数学参考答案_2024年3月_02按日期_16号_2024届辽宁省实验中学高考适应性测试(二)
辽宁省实验中学2023-2024学年度高考适应性测试(二)数学参考答案_2024年3月_02按日期_16号_2024届辽宁省实验中学高考适应性测试(二)
辽宁省实验中学2023-2024学年度高考适应性测试(二)数学参考答案_2024年3月_02按日期_16号_2024届辽宁省实验中学高考适应性测试(二)
辽宁省实验中学2023-2024学年度高考适应性测试(二)数学参考答案_2024年3月_02按日期_16号_2024届辽宁省实验中学高考适应性测试(二)
辽宁省实验中学2023-2024学年度高考适应性测试(二)数学参考答案_2024年3月_02按日期_16号_2024届辽宁省实验中学高考适应性测试(二)

文档信息

文档格式
pdf
文档大小
0.451 MB
文档页数
14 页
上传时间
2026-02-18 13:22:20

文档内容

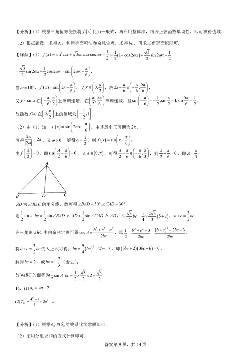
辽宁省实验中学 2023-2024 学年度高考适应性测试(二) 数学参考答案 1.C 【分析】利用题设中的图形即可得出结果. 【详解】如图,知cos()OD,coscosOA,sinsinEB, 结合图形知,ODOAEB,即cos()=coscos-sinsin, 故选:C. 2.C 【分析】根据导数及函数的单调性可判断a0,由导函数变形可得c3ax 0,由图象知x 10可判断 0 0 f 1 f 1的符号,根据导函数的开口及对称轴可判断导函数的单调性. 【详解】 fx3ax22bxc3axx x1, 0 由图知x1时, f(x)为增函数,可知 f(x)  0,所以a0,B错误; 又由 fx3ax22bxc3axx x13ax23a1x x3ax , 0 0 0 所以2b3a1x ,c3ax Qx 10c3ax 0, 故A错误; 0 0 0 0 Qx 10,1x 0,f 1 f 12b3a1x 0,故C正确; 0 0 0 fx3ax22bxc开口向上,对称轴小于0,函数 f(x)在(0,)上是增函数, 故D错误. 故选:C 3.B 3 【分析】根据双曲线离心率可得c a,根据双曲线定义推出 FA 4a, F A 2a,利用余弦定理即可求得答案. 2 1 2 3 【详解】由题意双曲线C的离心率为 ,焦点为F 、F ,点A在C上, 1 2 2 故不妨设F,F 为左、右焦点,由 FA 2 F A可知A在双曲线右支上, 1 2 1 2 答案第1页,共14页 学科网(北京)股份有限公司则|FA||F A|2a,故 FA 4a, F A 2a, 1 2 1 2 3 c 3 3 由于双曲线C的离心率为 ,则  ,即c a, 2 a 2 2 |F A|2 |FF |2 |AF |2 4a24c216a2 在VAF F中,cosAF F  2 1 2 1  2 1 2 1 2|F A||FF | 22a2c 2 1 2 4a29a216a2 1   3 4, 22a2 a 2 故选:B 4.A 【解析】分别取AC,BD,BC中点为E,F ,G,则有FG//CD,EG//AB,得到FGE为异面直线AB与CD 所成的角,然后根据正方形的边长和BD的长度,利用中位线及直角三角形中线定理求得EF,FG,EG的长度求解. 【详解】如图所示: 分别取AC,BD,BC中点为E,F ,G, 连接BD,EF ,EG,FG,DE,EB, 则FG//CD,EG//AB, 所以FGE为异面直线AB与CD所成的角, 2 2 因为正方形边长为 2,则FG ,EG , 2 2 在等腰直角三角形ABC中, 因为ABBC  2, 所以AC 2. 因为 点E为AC的中点, 1 所以BE  AC 1, 2 同理可得,DE1. 因为BE2DE2 2BD2, 所以VBED是等腰直角三角形. 又因为 点F 为BD的中点, 1 2 所以EF  BD . 2 2 答案第2页,共14页2 在VEFG中,FGEGEF  , 2 所以VEFG是等边三角形, 所以 FGE60o, 1 所以 cosFGEcos60o . 2 故选:A. 【点睛】本题主要考查异面直线所成角的求法,还考查了转化化归的思想和空间想象,运算求解的能力,属于中档 题. 5.D 【分析】先根据a 的递推关系求出a 的通项公式,代入b 的表达式中,求出b 的通项,即可求解b 的前n 项和S n n n n n n 【详解】由a n1 3a n 4n可得a n1   2n11  3a n (2n1) , ∵a 3, ∴a (211)0, 1 1 则可得数列a (2n1)为常数列0,即a (2n1)0, ∴a 2n1 n n n 4n28n5 (2n1)(2n3)2 2 1 1 ∴b   1 1  , n (2n1)(2n3) (2n1)(2n3) (2n1)(2n3) 2n1 2n3 1 1 1 1 1 1 1 1 2 ∴S n(    L   )n  n(1 ). n 3 5 5 7 2n1 2n3 3 2n3 6n9 故选: D 6.C 【分析】赋值x=1,即可求得系数和. 【详解】令x=1,得12 1a a a ...a . 0 1 2 7 故选:C 7.B lnxx lnxx 【解析】函数 f(x)ax2xlnxx0有两个零点,即方程a 有两个根,设gx ,求出gx, x2 x2 研究出函数gx的单调性,由gx的图象与ya有两个交点,得出a参数的范围,即得结果. 【详解】函数 f(x)ax2xlnxx0有两个零点, lnxx lnxx 由题意得方程a 有两个根,设gx ,则ya与yg(x)有两个不同的交点,又 x2 x2 1 ( 1)x2(lnxx)(2x) gx x  12lnxx, x4 x3 2 设hx12lnxx,则hx 10 x 所以hx12lnxx在0,上单调递减,又h(1)0 答案第3页,共14页 学科网(北京)股份有限公司当x(0,1),hx0,gx0,所以gx在(0,1)上单调递增, 当x(1,),hx0,gx0,所以gx在(1,)上单调递减, 1 1 又g(1)1, g( 1 ) e ee2 0 ,当x(1,)时,lnxx0,则gx0,即gx在(1,)上单调递减,但 e 1 2   e 恒正. 作出函数yg(x)的大致图象如下: 要使yg(x)的图象与ya有两个交点, 所以实数a的取值范围是0,1. 故选:B. 【点睛】方法点睛:已知函数有零点(方程有根)求参数值(取值范围)常用的方法: (1)直接法:直接求解方程得到方程的根,再通过解不等式确定参数范围; (2)分离参数法:先将参数分离,转化成求函数的值域问题加以解决; (3)数形结合法:先对解析式变形,进而构造两个函数,然后在同一平面直角坐标系中画出函数的图象,利用数 形结合的方法求解. 8.C 【分析】根据双曲线对称性可知:满足题意的直线,其中一条与实轴垂直,另两条关于x轴对称,即可得到答案. 2b2 【详解】左支内最短的焦点弦 4,又2a2, a 所以与左、右两支相交的焦点弦长2a2, 因为实数使得 AB 的直线l恰有3条, 根据双曲线对称性可知:其中一条与实轴垂直,另两条关于x轴对称. 如图所示: 答案第4页,共14页所以当4时,有3条直线满足题意. 故选:C 9.ABD 【分析】根据杨辉三角读出数据即可判断A,利用组合数公式判断B,分析各行数据的特征,即可判断C,求出第12 行中从左到右第2个数与第3个数,即可判断D. 【详解】对于A:第6行,第7行,第8行的第7个数字分别为:1,7,28,其和为172836; 而第9行第8个数字就是36,故A正确; 65 765 876 对于B:因为1C1 C2C3 15  56,C3  56, 5 6 7 21 321 8 321 所以1C1 C2C3 C3,故B正确; 5 6 7 8 对于C:由图可知:第n行有n1个数字, n 如果n是偶数,则第 1(最中间的)个数字最大; 2 n1 n1 如果n是奇数,则第 和第 1个数字最大,并且这两个数字一样大, 2 2 所以第2020行的第1011个数最大,故C错误; 对于D:依题意:第12行从左到右第2个数为C1 12,第12行从左到右第3个数为C2 66, 12 12 所以第12行中从左到右第2个数与第3个数之比为12:662:11,故D正确; 故答案为:ABD. 10.ACD 【分析】根据给定的几何体,作出轴截面,结合圆的切线性质及勾股定理求出椭圆长轴和焦距作答. 【详解】依题意,截面椭圆的长轴与圆锥的轴相交,椭圆长轴所在直线与圆锥的轴确定的平面截此组合体, 得圆锥的轴截面及球O ,球O 的截面大圆,如图, 1 2 答案第5页,共14页 学科网(北京)股份有限公司点A,B分别为圆O,O 与圆锥轴截面等腰三角形一腰相切的切点,线段MN是椭圆长轴, 1 2 可知椭圆C的中心(即线段MN的中点)不在直线OO 上,故A正确; 1 2 椭圆长轴长2a MN  MF  FN  MF  ME  MB  MA  AB , 过O 作O D^ OA于D,连O B,显然四边形ABO D为矩形, 2 2 1 2 2 又O B 1,OA 4,OO  34, 2 1 1 2 则2a AB  O D  OO 2 OD2   34 2 32 5, 2 1 2 1 过O 作OC OE交OE延长线于C,显然四边形CEFO 为矩形, 2 2 1 1 2 椭圆焦距2c EF  OC  OO 2 OC2   34 2 52 3,故B错误; 2 1 2 1 OC 5 5 34 所以直线OO 与椭圆C所在平面所成的角的正弦值为sinCOO  1   ,故C正确; 1 2 2 1 OO 34 34 1 2 2c 3 所以椭圆的离心率e  ,故D正确; 2a 5 故选:ACD. 【点睛】关键点点睛:涉及与旋转体有关的组合体,作出轴截面,借助平面几何知识解题是解决问题的关键. 11.AD 【分析】根据a 1可求x 的表达式,判断A的真假;利用导数求二次函数在xx 处切线的斜率,进一步写出在xx 1 1 n n 处的切线方程,求出直线与x轴的交点横坐标,得x ,进一步判断数列a 的结构特征,得到数列a 是等比数 n1 n n  1  列,可判断BC的真假;利用公式法可求数列a  的前n项和,判断D的真假.  n a  n x b x b e·cb 【详解】对于A选项,由a ln 1 1得 1 e,所以x  ,故A正确. 1 x c x c 1 e1 1 1 Q二次函数 f x有两个不等式实根b,c, 不妨设 f xaxbxc, 因为 fxa2xbc, 所以 fx a2x bc, n n 在横坐标为x 的点处的切线方程为:y f x a2x bcxx , n n n n ax 2x bc f x  ax2abc x2bc 令y0,则x  n n n  n  n , n1 a2x bc a2x bc 2x bc n n n 答案第6页,共14页x b x2bcb2x bc x22bx b2 (x b)2 因为 n1  n n  n n  n x c x2bcc2x bc x22cx c2 (x c)2 n1 n n n n n x b x b 所以ln n1 2ln n ,即:a 2a x c x c n1 n n1 n 所以a 为公比是2,首项为1的等比数列. n 所以a 2n1故BC错. n 1 1 对于D选项,由a  1 2n1( 1 )n1,得S  12n  2n 2n12 2 2n1 1 故D正确. n a 2 n 12 1 2n 2n1 n 1 2 故选:AD 12. 【分析】利用二倍角公式化简原方程,求得sinx的值,进而求得区间0,2上的所有解的和. 1 π 【详解】由3sinx1cos2x22sin2x得sinx22sinx10,解得sinx ,在区间0,2上,x 或 2 6 5π π 5π x ,故所有解的和为  π. 6 6 6 故答案为 【点睛】本小题主要考查二倍角公式,考查已知正弦值求角的大小,属于基础题. 5 13. 2 b 【分析】以矩形ABCD的中心为原点,圆锥的轴为x轴建立平面直角坐标系,求出 的值即可得解. a x2 y2 【详解】以矩形ABCD的中心为原点,圆锥的轴为x轴建立平面直角坐标系,设双曲线的标准方程为  1, a2 b2 由圆锥的底面直径为2,侧面积为 5π,得AM 1,OA 5, 1 b 1 显然OM  ( 5)212 2,tanAOM  ,即  , 2 a 2 a2b2 b2 1 5 所以双曲线的离心率e  1  1  . a a2 4 2 5 故答案为: 2 答案第7页,共14页 学科网(北京)股份有限公司63 3 63 1 1 1  14. / 3    64 64 9 3 4n11 【分析】先由题意推导每个正三角形的面积可构成等比数列,再利用等比数列求和公式及裂项相消求解. 1 3 3 【详解】由题可得,S   3 3sin60o , 1 2 4 1 从第2个等边三角形起,每个三角形的面积为前一个三角形面积的 , 4 1 故每个正三角形的面积可构成一个以S 为首项, 为公比的等比数列, 1 4  1 n 1  S 则  1 1 2 1 n1  4  1  1 n , S 1   L   S   31   n  4 4 4  1 1 1  4  4  1 3 63 3 所以S  31   . 3  4  64 1 1 4n Q   S 3 4n1 n 1 1 1 1 1 4n 1 4n1 1 4n 1            4n1 S S 4n1 3 4n1 3 4n11 3 4n1 4n11 n n1 1  1 1      9 4n1 4n11 n 1 1  1 1   1 1   1 1         L    4k1S S 9 411 421 421 431 4n1 4n11 k1 k k1 1 1 1     , 9 3 4n11 63 3 1 1 1  故答案为: ;   . 64 9 3 4n11 【点睛】方法点睛:常见的裂项相消的方法有: 1 1 1   , nn1 n n1 4 1 1 2(  ), 4n21 2n1 2n1 2   2  n n1 , n n1 2n 1 1   ,  2n11  2n1  2n1 2n11 1 1 1 1      nn1n2 2nn1 n1n2    1  15.(1) ,1  ;  2  3 (2) . 2 答案第8页,共14页【分析】(1)根据三角恒等变换将 f x化为一般式,再利用整体法,结合正弦函数单调性,即可求得值域; (2)根据题意,求得A,利用等面积法和余弦定理,求得bc,再求三角形面积即可. 1 1 3 1 【详解】(1) f(x)sin2x 3sinxcosx  1cos2x sin2x 2 2 2 2 3 1  π  sin2x cos2xsin2x , 2 2  6  π  π π  π 5π 当1时, f xsin2x ,又x 0, ,故2x  , ,  6  2 6  6 6   π π π 5π  π 1 π 5π 1 又ysinx在 , 上单调递增,在 , 单调递减,且sin  ,sin 1,sin  ,  6 2 2 6   6 2 2 6 2  π  1  故函数 f(x)在0, 上的值域为 ,1  .  2  2   π (2)由(1)知, f xsin2x ,由其最小正周期为2π,  6 2π 1  π 可得 2π,又0,解得 ,则 f xsinx ; 2 2  6  A  A π A π  π π A π π 由 f  0,即sin  0,又A0,π,可得   , ,则  0,即A ;  2  2 6 2 6  6 3 2 6 3 AD为BAC的平分线,故可得BAD30,CAD30, 1 1 1 3 1 2 3 3 则 sinAbc sinBADcAD sinCADbAD,即 bc  bc,bc bc; 2 2 2 4 4 3 2 b2c2a2 1 b2c23 bc2 2bc3 在三角形ABC中由余弦定理可得cosA ,即   , 2bc 2 2bc 2bc 3 9 将bc bc代入上式可得:bc bc2 2bc3,即3bc23bc60, 2 4 2 解得bc2,或bc (舍去); 3 1 1 3 3 故VABC的面积为 sinAbc  2 . 2 2 2 2 16.(1)a 4n2 n 4n1 (2)T  2n2n 2n 3 【分析】(1)根据a 与S 的关系化简求解即可; n n (2)采用分组求和的方式计算即可. 答案第9页,共14页 学科网(北京)股份有限公司【详解】(1)Q8S a 24a 4①8S a 24a 4② n n n n1 n1 n1 ①-②整理得 (a a )(a a 4)0,n2 n n1 n n1 Q数列a 是正项数列, a a 4,n2 n n n1 当n1时, 由8S a24a 4,可得a 2. 1 1 1 1 数列a 是以2为首项,4为公差的等差数列, n a 4n2; n 2n1n为奇数 (2)由题意知, b  , n 2n3n为偶数 故T   12224L 22n2 159L 4n3 2n 1  14n n14n3   14 2 4n1  2n2n. 3 17.(1)证明见解析 (2)证明见解析 【分析】(1)根据题意,求导可得 f¢(x)>0,即可得到 f x在1,上单调递增,再由 f x f 10,即可证 明; lnx a (2)根据题意,构造函数gxlnxa  ,求导可得gx0,即gx在0,上单调递增,再结合g10, x x 即可证明. 1 【详解】(1)证明:因为a1,所以 f xxlnxxlnx1, fxlnx . x 当x1时, f¢(x)>0,则 f x在1,上单调递增, 所以当x1时, f x f 10.  lnx a (2) f xxlnxalnxaxlnxa  .  x x lnx a 1 1lnx a x1lnxa 令gxlnxa  ,则gx    . x x x x2 x2 x2 1 x1 令hxx1lnxa,则hx1  . x x 当x0,1时,hx0,hx在0,1上单调递减,当x1,时,hx0,hx在1,上单调递增, x1lnxa 所以hxh12a0,所以gx 0, x2 答案第10页,共14页则gx在0,上单调递增. 因为g10,所以gx恰有一个零点,则 f x恰有一个零点. x2 y2 18.(1)  1 4 3  13  (2) ,   4   【分析】(1)根据椭圆与双曲线的基本量求解即可; y (2)方法一:设直线AP:y 0 x2 ,Dx,y ,联立直线与双曲线的方程,结合Px ,y 在双曲线上,化 x 2 1 1 0 0 0 4 4 2 332  简可得x  ,同理x  ,代入x 2x 化简,结合双曲线方程可得P , ,再根据正弦定理,结合 1 x Q x Q 0    0 0   1 4 2 9 7    1 sinBDPsinADB代入化简可得 S  7 7 ,再根据0 求解范围即可; 1  2 S 4 2 方法二:设直线DE:xtym,Dx,y ,Ex ,y ,联立方程得出韦达定理,再根据P,A,D三点共线,P, 1 1 2 2 2m x 2 2 2 332  B,E三点共线,列式化简可得  0 ,进而可得x  ,结合双曲线方程可得P , ,再根据正 2m x 2 0     0   1 4 2 9 7    1 弦定理,结合sinBDPsinADB代入化简可得 S  7 7 ,再根据0 求解范围即可. 1  2 S 4 2 c 7   a 2   【详解】(1)由题意得:c2 a2b2 ,解得b 3,  a2   x2 y2 所以双曲线C 的方程为  1. 1 4 3 y (2)方法一:设直线AP:y 0 x2 ,Dx,y , x 2 1 1 0  y y 0 x2  4y2  16y2 16y2 则 x 2 ,消y得:3 0 x2 0 x 0 120,  3x2 0 4y2 12   x 0 22   x 0 22 x 0 22 16y212x 22 得:2x  0 0 , 1 3x 22 4y2 0 0 x2 y2 又因为Px ,y 在双曲线上,满足 0  0 1,即4y2 3x212, 0 0 0 0 4 3 答案第11页,共14页 学科网(北京)股份有限公司8y26x 22 6x2246x 22 24x 2 4 4 所以x  0 0  0 0  0  ,即x  . 1 3x 22 4y2 3x 22 3x212 6x x 2 x 1 x 0 0 0 0 0 0 0 0 y 4 4 同理设直线BP:y 0 x2 ,Ex ,y ,可得x  ,所以x  . x 2 2 2 2 x Q x 0 0 0 4 2 因为x 2x ,所以 2x ,因为x 0,所以x  . Q 0 x 0 0 0  0 2 4 332 2 332  把x  代入双曲线方程得2 y 2 ,解得y  ,则点P , . 0  4  3 0 1 0        设VDBP与△ABD的外接圆的半径分别为r,r , 1 2 PB AB 由正弦定理得2r  ,2r  , 1 sinBDP 2 sinADB 因为ADBBDP180,所以sinBDPsinADB. 2  2 3 1 4 2 9  2  3 7    则 S r BP   2  7 7 . 1  1    S r AB 4 4 2 2 1 1 S  13  因为0 ,所以 2,所以 1  ,. 2  S  4  2   方法二:设直线DE:xtym,Dx,y ,Ex ,y , 1 1 2 2 xtym 则 ,消x得:  3t24  y26tmy3m2120, 3x24y2 12 6tm 3m212 4m2 所以y  y  ,y y  ,得y y  y y , 1 2 3t2 4 1 2 3t24 1 2 2mt 1 2 y y 因为P,A,D三点共线,则 1  0 , x 2 x 2 1 0 y y y x 2 x 2 因为P,B,E三点共线,则 2  0 ,两式相除得 1 2  0 , x 2 x 2 y x 2 x 2 2 0 2 1 0 y x 2 y ty m2 ty y m2y  4m2y y 2mm2y 而 1 2  1 2  1 2 1  1 2 1 y x 2 y ty m2 ty y m2y  4m2y y 2mm2y 2 1 2 1 1 2 2 1 2 2  2m  2my 1 2my 2    2m . 2m2my 2my  2m  1 2 因为x 2x ,所以m2x . Q 0 0 2m x 2 22x x 2 2 因为  0 ,所以 0  0 ,得x  , 2m x 2 22x x 2 0  0 0 0 2 4 332 2 332  把x  代入双曲线方程得2 y 2 ,解得y  ,则点P , . 0  4  3 0 1 0        答案第12页,共14页设VDBP与△ABD的外接圆的半径分别为r,r , 1 2 PB AB 由正弦定理得2r  ,2r  , 1 sinBDP 2 sinADB 因为ADBBDP180,所以sinBDPsinADB, 2  2 3 1 4 2 9  2  3 7    则 S r BP   2  7 7 , 1  1    S r AB 4 4 2 2 1 1 S  13  因为0 ,所以 2,所以 1  ,. 2  S  4  2   【点睛】方法点晴:利用韦达定理法解决直线与圆锥曲线相交问题的基本步骤如下: (1)设直线方程,设交点坐标为Ax,y ,Bx ,y ; 1 1 2 2 (2)联立直线与圆锥曲线的方程,得到关于x或y的一元二次方程,注意判别式的判断; (3)列出韦达定理; (4)将所求问题或题中的关系转化为x x ,xx (或y y ,y y )的形式; 1 2 1 2 1 2 1 2 (5)代入韦达定理求解. 本题考到三角形外接圆,需要用到正弦定理,并根据角度关系转化为弦长关系进行化简,属于难题. 19.(1)x3k或x3k2kZ tan3n4tan4 (2)n16072;n2 n tan3 【分析】(1)根据同除的定义求解,xx20(mod3),即xx2能被3整除,从而得出x或x2能被3整除; (2)①首先求出a (分奇偶项),确定出b ,用并项求和法求和;②求出c ,利用两角差的正切公式变形通项, n n n 结合裂项相消法求和. 【详解】(1)由题意xx20(mod3),所以x3k或x23k(kZ), 即x3k或x3k2(kZ). 答案第13页,共14页 学科网(北京)股份有限公司3n1 n为奇数   2 (2)由(1)可得a 为1,3,4,6,7,9,10,···,所以a  . n n n 3 n为偶数  2  2n为奇数 ①因为b a a (nN ),所以b  . n n1 n  n  1n为偶数 则S b b b L b 320246072. 4048 1 2 3 4048 ②c tana tana tan3n4tan3n1(nN ). n 2n3 2n1  tan3n4tan3n1 因为tan3n4tan3n1 1, tan3 tan7tan4  tan10tan7  tan3n4tan3n1  所以T c c L c  1 1L  1 n 1 2 n  tan3   tan3   tan3  tan3n4tan4  n. tan3 【点睛】关键点点睛:本题考查学生的阅读理解能力,创新意识,解题关键是正确理解新概念并能应用解题,本题 中同余问题,实质就是除以一个质数后的余数相等,问题转化后可结合数列的求和方法,两角差的正切公式等等知 识才能顺利求解. 答案第14页,共14页