当前位置:首页>文档>2014年高考历史试卷(福建)(空白卷)_历史历年高考真题_新·Word版2008-2025·高考历史真题_历史(按年份分类)2008-2025_2014·历史高考真题

2014年高考历史试卷(福建)(空白卷)_历史历年高考真题_新·Word版2008-2025·高考历史真题_历史(按年份分类)2008-2025_2014·历史高考真题

  • 2026-03-08 02:51:04 2026-01-26 15:21:18

文档预览

2014年高考历史试卷(福建)(空白卷)_历史历年高考真题_新·Word版2008-2025·高考历史真题_历史(按年份分类)2008-2025_2014·历史高考真题
2014年高考历史试卷(福建)(空白卷)_历史历年高考真题_新·Word版2008-2025·高考历史真题_历史(按年份分类)2008-2025_2014·历史高考真题
2014年高考历史试卷(福建)(空白卷)_历史历年高考真题_新·Word版2008-2025·高考历史真题_历史(按年份分类)2008-2025_2014·历史高考真题
2014年高考历史试卷(福建)(空白卷)_历史历年高考真题_新·Word版2008-2025·高考历史真题_历史(按年份分类)2008-2025_2014·历史高考真题
2014年高考历史试卷(福建)(空白卷)_历史历年高考真题_新·Word版2008-2025·高考历史真题_历史(按年份分类)2008-2025_2014·历史高考真题

文档信息

文档格式
doc
文档大小
0.376 MB
文档页数
5 页
上传时间
2026-01-26 15:21:18

文档内容

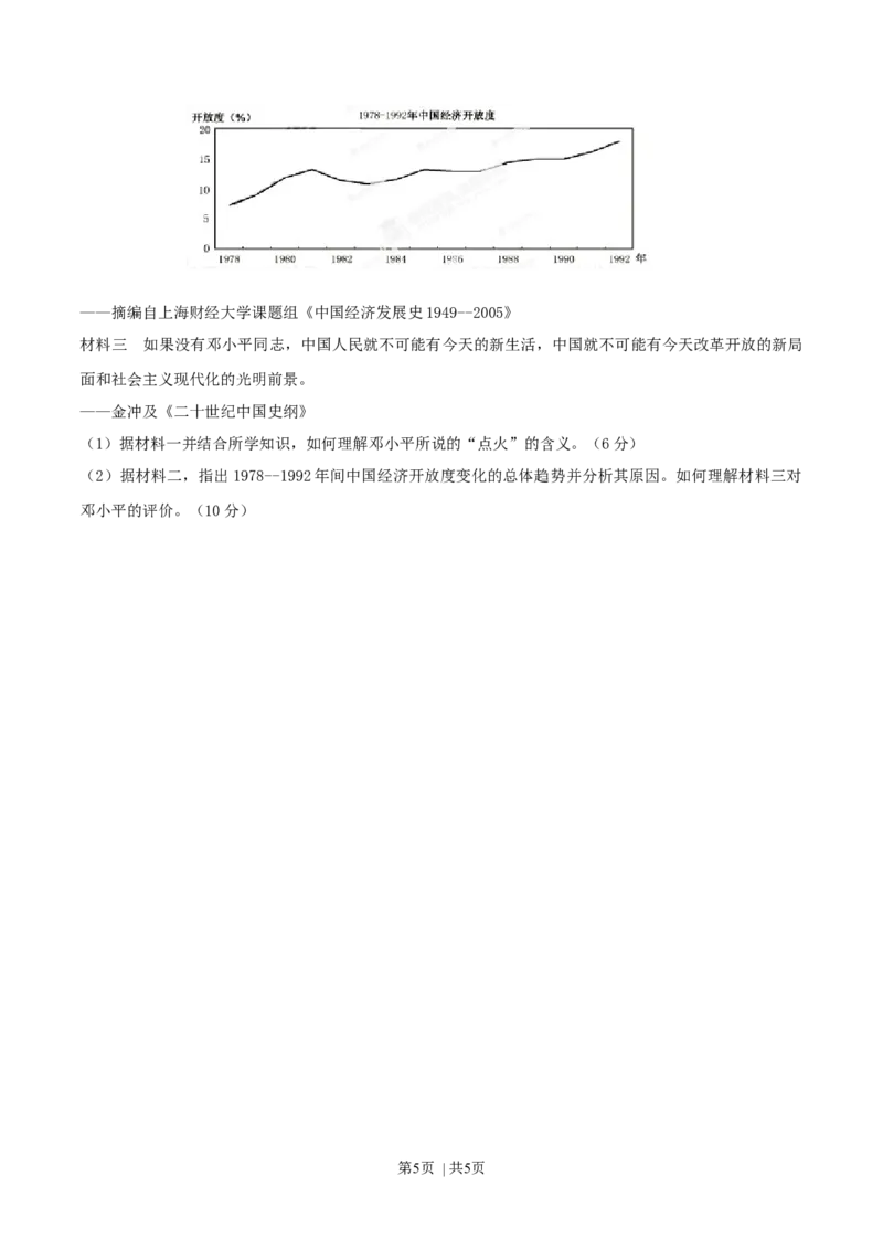
2014年普通高等学校招生全国统一考试(福建卷)历史试题 13.明、清皇帝每年春都要举行一种祭祀仪式。读图7,从中透 析出的核心信息是 A.皇室祭祀的隆重排场 B.专制君主的权威至上 C.以农为本的立国理念 [来源:Z+xx+k.Com] D.统一国家的繁荣昌盛 14.乾隆以后,“关东每岁有商船二三千只至于上海”,“载豆、麦、杂粟,一岁三运以为常”。 据 此,判断有误的是 A.商品经济繁荣 B.长途贩运发达 C.区域经济发展 D.抑商政策改变 15.旗袍在20世纪二三十年代成为中国城市女性的时尚着装。其社会原因是 A.西式服饰传入,生活方式完全西化 B.中华民国建立,人们思想观念变化 C.城市化进程中,女性开始引领时尚 D.旗袍典雅大方,体现女性的曲线美 16.长征期间,国内外形势发生重大变化,民族矛盾加剧,中国共产党的方针政策进行重大调整。这一调 整是指 A.召开八七会议,确定武装反抗国民党反动派的总方针 B.召开遵义会议,纠正“左”倾错误路线 C.发表“八一宣言”,号召停止内战,一致抗日 D.召开七大,确立毛泽东思想的指导地位 17.图8为1972—1978年中美进出口总额示意图。它表明 [来源:学*科*网Z*X*X*K] A.中美贸易随着两国关系发展变化出现过波折 B.中美关系正常化导致双边贸易始终保持增长 C.文革结束以后中美贸易随即进入了发展阶段 D.中国重返联合国消除了中美贸易的持续波动 [来源:学科网ZXXK] 18.雅典城邦任何公职人员,无论地位多高,皆不能离开公 民 大会而擅自决定政务大事。他们都处于公民大会和五百人会议的经常督察监视之下,若公民大会认为他有 失职守,皆依法惩处。这反映了古代雅典 A.最高权力机关有直接选举产生 B.公民大会负责审理大部分案件 C.各权力机构之间相互制约平衡 D.从制度上防止专制已维护民主 19.在英国,狭窄的铁路跨过像绿色海洋一样的乡间,把沿途被装进火车的英国人民,抛进城门口越来越 第1页 | 共5页21.根据罗斯福总统的建议,国会授权政府设立工程振兴局,并拨款用于重新造林,修建住宅和兴办教育 等,到1943年该局共花费了110亿美元用于种类繁多的兴建项目。这表明罗斯福希望 A.借助多渠道提供就业机会 B.采取金融手段以解决危机 C.通过制定法规来复兴经济 D.设立新的机构以控制市场 22.1952年到1964年,苏联政府收购谷物的平均价格指数提高了7.48倍,收购畜产品的价格指数提高 了15.69倍。这是 A.推行农业集体化导致的变化 B.适应“加速发展战略”的需要 C.应对世界农产品价格波动的措施 D.调整农业政策的结果 22.如果要给图9设置一个主题,准确的是 A.北约与华约的对峙 B.从欧共体到欧盟 C.马歇尔计划与二战后欧洲格局 D.布雷顿森林体系蓝图的构建 24. 表1是1980年、1996年世界不同类型国家进出口依 存度表。 据此判断正确的是\ A.国际贸易总体发展缓慢 B.经济全球化趋势加强 C.区域经济集团化削弱 D.各类国家经济发展水平差距缩小 38.(36分)从隋朝开始的科举制在中国延续了1300多年,至1905年被宣布废除。阅读下列材料,回答 问题。 第2页 | 共5页材料一 (隋创进士科之后)历代踵行,时加修正,以迄于明清,防闲之法益密,取人之道益公…… ——邓嗣禹《中国考试制度史》 材料二 (科举制)西国莫不慕之,近代渐设考试以取人才,而为学优则仕之举。今英、法、美均已见端, 将来必至推广。 [来源:Zxxk.Com] ——丁韪良《西学考略》 材料五 1905年全国工矿企业已达400家左右,铁路、轮船等新式交通事业也逐渐兴办,这些无疑需要大 量科学技术人才来操作和管理。同时,新式学堂的急剧增加需要众多的具有新知识的教师;清末新政中增 设的许多政府机构如外交部、商部、学部……等,也都需要懂得相关专业的干员。显然,科举制无法培养、 选拔这类新式人才。 ——徐辉《废除科举制与中国社会的现代转型》 (1)据材料一,归纳科举制的主要特点。(6分) (2)据材料二、三并结合所学知识,归纳科举制的积极影响。(10分) (3)据材料四,概括梁启超对科举选才的基本看法。分析梁启超上述议论的目的。(10分) (4)在近代,科举制“西国莫不慕之”,而在中国却难逃被废除的命运。综合上述材料并结合所学知识 加以评述。(10分) 41.A.【选修1——历史上重大改革回眸】 阅读下列材料,回答问题。 材料一 克里米亚(克里木)战争的特点,就是一个采用原始生产形式的民族同几个拥有现代生产的民族 进行绝望的搏斗。 ——《马克思恩格斯全集》 材料二 1861年俄国自上而下的改革,延缓了革命但并不能消除革命。这次改革是按照农奴主利益进行的, 因此,农奴制度废除的很不彻底。改革后,沙皇政权基本原封不动,大部分的土地还是掌握在贵族地主手 第3页 | 共5页里,保存了贵族地主大土地占有制……俄国引起革命的各种社会矛盾,依然存在,并且继续在发展。 ——张兴仪《浅谈一八六一年俄国农奴制改革》 (1)材料一中“几个拥有现代生产的民族”是指哪些(民族)国家?如何理解这场战争对俄国来说是 “绝望的搏斗。”(6分) (2)据材料二并结合所学知识,分析为什么说1861年改革“延缓了革命但并不能消除革命”。(10分) 41.B.【选修2——近代社会的民主思想与实践】 [来源:Zxxk.Com] 阅读下列材料,回答问题。 材料一 《独立宣言》发表后,迅速传播到世界各地。在爱尔兰和印度的被压迫地区受到欢迎……在法国, 《独立宣言》被广为印刷,成为反英宣传的主要材料……《独立宣言》的文字被一再借用,表明这种对欧 洲传统惯例的激烈而又具有创造性的挑战得到了认可。 ——摘编自[美]迈克尔·埃默里《美国新闻史》 材料二 美国革命实际上已经成了巴黎一种新的信仰,《独立宣言》则是他们的“圣经”。对法国人而言, 要寻找“早已遗忘的,对神圣权利的绝妙阐述”,只需要这本“圣经”就足够了,时任驻法公使杰斐逊说: “法兰西被我们的革命唤醒了,他们现在的目标非常明确。”……在同一时间,美国人却为法国人民对权 利的热情所唤醒,为1789年10月美国报刊上刊登的法国《人权宣言》而激动不已。很明显,两个国家都 在相互影响着对方。 ——摘编自[美]苏珊·邓恩《姊妹革命:美国革命与法国革命启示录》 材料二 第4页 | 共5页——摘编自上海财经大学课题组《中国经济发展史1949--2005》 材料三 如果没有邓小平同志,中国人民就不可能有今天的新生活,中国就不可能有今天改革开放的新局 面和社会主义现代化的光明前景。 ——金冲及《二十世纪中国史纲》 (1)据材料一并结合所学知识,如何理解邓小平所说的“点火”的含义。(6分) (2)据材料二,指出1978--1992年间中国经济开放度变化的总体趋势并分析其原因。如何理解材料三对 邓小平的评价。(10分) 第5页 | 共5页
基本 文件 流程 错误 SQL 调试
  1. 请求信息 : 2026-03-10 11:16:45 HTTP/1.1 GET : https://www.yeyulingfeng.com/wendang/28811.html
  2. 运行时间 : 0.203455s [ 吞吐率:4.92req/s ] 内存消耗:5,599.33kb 文件加载:144
  3. 缓存信息 : 0 reads,0 writes
  4. 会话信息 : SESSION_ID=fa65d61e0a2a69ea2f42ba6889cef0b4
  1. /yingpanguazai/ssd/ssd1/www/wwww.yeyulingfeng.com/public/index.php ( 0.79 KB )
  2. /yingpanguazai/ssd/ssd1/www/wwww.yeyulingfeng.com/vendor/autoload.php ( 0.17 KB )
  3. /yingpanguazai/ssd/ssd1/www/wwww.yeyulingfeng.com/vendor/composer/autoload_real.php ( 2.49 KB )
  4. /yingpanguazai/ssd/ssd1/www/wwww.yeyulingfeng.com/vendor/composer/platform_check.php ( 0.90 KB )
  5. /yingpanguazai/ssd/ssd1/www/wwww.yeyulingfeng.com/vendor/composer/ClassLoader.php ( 14.03 KB )
  6. /yingpanguazai/ssd/ssd1/www/wwww.yeyulingfeng.com/vendor/composer/autoload_static.php ( 6.05 KB )
  7. /yingpanguazai/ssd/ssd1/www/wwww.yeyulingfeng.com/vendor/topthink/think-helper/src/helper.php ( 8.34 KB )
  8. /yingpanguazai/ssd/ssd1/www/wwww.yeyulingfeng.com/vendor/topthink/think-validate/src/helper.php ( 2.19 KB )
  9. /yingpanguazai/ssd/ssd1/www/wwww.yeyulingfeng.com/vendor/ralouphie/getallheaders/src/getallheaders.php ( 1.60 KB )
  10. /yingpanguazai/ssd/ssd1/www/wwww.yeyulingfeng.com/vendor/topthink/think-orm/src/helper.php ( 1.47 KB )
  11. /yingpanguazai/ssd/ssd1/www/wwww.yeyulingfeng.com/vendor/topthink/think-orm/stubs/load_stubs.php ( 0.16 KB )
  12. /yingpanguazai/ssd/ssd1/www/wwww.yeyulingfeng.com/vendor/topthink/framework/src/think/Exception.php ( 1.69 KB )
  13. /yingpanguazai/ssd/ssd1/www/wwww.yeyulingfeng.com/vendor/topthink/think-container/src/Facade.php ( 2.71 KB )
  14. /yingpanguazai/ssd/ssd1/www/wwww.yeyulingfeng.com/vendor/symfony/deprecation-contracts/function.php ( 0.99 KB )
  15. /yingpanguazai/ssd/ssd1/www/wwww.yeyulingfeng.com/vendor/symfony/polyfill-mbstring/bootstrap.php ( 8.26 KB )
  16. /yingpanguazai/ssd/ssd1/www/wwww.yeyulingfeng.com/vendor/symfony/polyfill-mbstring/bootstrap80.php ( 9.78 KB )
  17. /yingpanguazai/ssd/ssd1/www/wwww.yeyulingfeng.com/vendor/symfony/var-dumper/Resources/functions/dump.php ( 1.49 KB )
  18. /yingpanguazai/ssd/ssd1/www/wwww.yeyulingfeng.com/vendor/topthink/think-dumper/src/helper.php ( 0.18 KB )
  19. /yingpanguazai/ssd/ssd1/www/wwww.yeyulingfeng.com/vendor/symfony/var-dumper/VarDumper.php ( 4.30 KB )
  20. /yingpanguazai/ssd/ssd1/www/wwww.yeyulingfeng.com/vendor/guzzlehttp/guzzle/src/functions_include.php ( 0.16 KB )
  21. /yingpanguazai/ssd/ssd1/www/wwww.yeyulingfeng.com/vendor/guzzlehttp/guzzle/src/functions.php ( 5.54 KB )
  22. /yingpanguazai/ssd/ssd1/www/wwww.yeyulingfeng.com/vendor/topthink/framework/src/think/App.php ( 15.30 KB )
  23. /yingpanguazai/ssd/ssd1/www/wwww.yeyulingfeng.com/vendor/topthink/think-container/src/Container.php ( 15.76 KB )
  24. /yingpanguazai/ssd/ssd1/www/wwww.yeyulingfeng.com/vendor/psr/container/src/ContainerInterface.php ( 1.02 KB )
  25. /yingpanguazai/ssd/ssd1/www/wwww.yeyulingfeng.com/app/provider.php ( 0.19 KB )
  26. /yingpanguazai/ssd/ssd1/www/wwww.yeyulingfeng.com/vendor/topthink/framework/src/think/Http.php ( 6.04 KB )
  27. /yingpanguazai/ssd/ssd1/www/wwww.yeyulingfeng.com/vendor/topthink/think-helper/src/helper/Str.php ( 7.29 KB )
  28. /yingpanguazai/ssd/ssd1/www/wwww.yeyulingfeng.com/vendor/topthink/framework/src/think/Env.php ( 4.68 KB )
  29. /yingpanguazai/ssd/ssd1/www/wwww.yeyulingfeng.com/app/common.php ( 0.03 KB )
  30. /yingpanguazai/ssd/ssd1/www/wwww.yeyulingfeng.com/vendor/topthink/framework/src/helper.php ( 18.78 KB )
  31. /yingpanguazai/ssd/ssd1/www/wwww.yeyulingfeng.com/vendor/topthink/framework/src/think/Config.php ( 5.54 KB )
  32. /yingpanguazai/ssd/ssd1/www/wwww.yeyulingfeng.com/config/alipay.php ( 3.59 KB )
  33. /yingpanguazai/ssd/ssd1/www/wwww.yeyulingfeng.com/vendor/topthink/framework/src/think/facade/Env.php ( 1.67 KB )
  34. /yingpanguazai/ssd/ssd1/www/wwww.yeyulingfeng.com/config/app.php ( 0.95 KB )
  35. /yingpanguazai/ssd/ssd1/www/wwww.yeyulingfeng.com/config/cache.php ( 0.78 KB )
  36. /yingpanguazai/ssd/ssd1/www/wwww.yeyulingfeng.com/config/console.php ( 0.23 KB )
  37. /yingpanguazai/ssd/ssd1/www/wwww.yeyulingfeng.com/config/cookie.php ( 0.56 KB )
  38. /yingpanguazai/ssd/ssd1/www/wwww.yeyulingfeng.com/config/database.php ( 2.48 KB )
  39. /yingpanguazai/ssd/ssd1/www/wwww.yeyulingfeng.com/config/filesystem.php ( 0.61 KB )
  40. /yingpanguazai/ssd/ssd1/www/wwww.yeyulingfeng.com/config/lang.php ( 0.91 KB )
  41. /yingpanguazai/ssd/ssd1/www/wwww.yeyulingfeng.com/config/log.php ( 1.35 KB )
  42. /yingpanguazai/ssd/ssd1/www/wwww.yeyulingfeng.com/config/middleware.php ( 0.19 KB )
  43. /yingpanguazai/ssd/ssd1/www/wwww.yeyulingfeng.com/config/route.php ( 1.89 KB )
  44. /yingpanguazai/ssd/ssd1/www/wwww.yeyulingfeng.com/config/session.php ( 0.57 KB )
  45. /yingpanguazai/ssd/ssd1/www/wwww.yeyulingfeng.com/config/trace.php ( 0.34 KB )
  46. /yingpanguazai/ssd/ssd1/www/wwww.yeyulingfeng.com/config/view.php ( 0.82 KB )
  47. /yingpanguazai/ssd/ssd1/www/wwww.yeyulingfeng.com/app/event.php ( 0.25 KB )
  48. /yingpanguazai/ssd/ssd1/www/wwww.yeyulingfeng.com/vendor/topthink/framework/src/think/Event.php ( 7.67 KB )
  49. /yingpanguazai/ssd/ssd1/www/wwww.yeyulingfeng.com/app/service.php ( 0.13 KB )
  50. /yingpanguazai/ssd/ssd1/www/wwww.yeyulingfeng.com/app/AppService.php ( 0.26 KB )
  51. /yingpanguazai/ssd/ssd1/www/wwww.yeyulingfeng.com/vendor/topthink/framework/src/think/Service.php ( 1.64 KB )
  52. /yingpanguazai/ssd/ssd1/www/wwww.yeyulingfeng.com/vendor/topthink/framework/src/think/Lang.php ( 7.35 KB )
  53. /yingpanguazai/ssd/ssd1/www/wwww.yeyulingfeng.com/vendor/topthink/framework/src/lang/zh-cn.php ( 13.70 KB )
  54. /yingpanguazai/ssd/ssd1/www/wwww.yeyulingfeng.com/vendor/topthink/framework/src/think/initializer/Error.php ( 3.31 KB )
  55. /yingpanguazai/ssd/ssd1/www/wwww.yeyulingfeng.com/vendor/topthink/framework/src/think/initializer/RegisterService.php ( 1.33 KB )
  56. /yingpanguazai/ssd/ssd1/www/wwww.yeyulingfeng.com/vendor/services.php ( 0.14 KB )
  57. /yingpanguazai/ssd/ssd1/www/wwww.yeyulingfeng.com/vendor/topthink/framework/src/think/service/PaginatorService.php ( 1.52 KB )
  58. /yingpanguazai/ssd/ssd1/www/wwww.yeyulingfeng.com/vendor/topthink/framework/src/think/service/ValidateService.php ( 0.99 KB )
  59. /yingpanguazai/ssd/ssd1/www/wwww.yeyulingfeng.com/vendor/topthink/framework/src/think/service/ModelService.php ( 2.04 KB )
  60. /yingpanguazai/ssd/ssd1/www/wwww.yeyulingfeng.com/vendor/topthink/think-trace/src/Service.php ( 0.77 KB )
  61. /yingpanguazai/ssd/ssd1/www/wwww.yeyulingfeng.com/vendor/topthink/framework/src/think/Middleware.php ( 6.72 KB )
  62. /yingpanguazai/ssd/ssd1/www/wwww.yeyulingfeng.com/vendor/topthink/framework/src/think/initializer/BootService.php ( 0.77 KB )
  63. /yingpanguazai/ssd/ssd1/www/wwww.yeyulingfeng.com/vendor/topthink/think-orm/src/Paginator.php ( 11.86 KB )
  64. /yingpanguazai/ssd/ssd1/www/wwww.yeyulingfeng.com/vendor/topthink/think-validate/src/Validate.php ( 63.20 KB )
  65. /yingpanguazai/ssd/ssd1/www/wwww.yeyulingfeng.com/vendor/topthink/think-orm/src/Model.php ( 23.55 KB )
  66. /yingpanguazai/ssd/ssd1/www/wwww.yeyulingfeng.com/vendor/topthink/think-orm/src/model/concern/Attribute.php ( 21.05 KB )
  67. /yingpanguazai/ssd/ssd1/www/wwww.yeyulingfeng.com/vendor/topthink/think-orm/src/model/concern/AutoWriteData.php ( 4.21 KB )
  68. /yingpanguazai/ssd/ssd1/www/wwww.yeyulingfeng.com/vendor/topthink/think-orm/src/model/concern/Conversion.php ( 6.44 KB )
  69. /yingpanguazai/ssd/ssd1/www/wwww.yeyulingfeng.com/vendor/topthink/think-orm/src/model/concern/DbConnect.php ( 5.16 KB )
  70. /yingpanguazai/ssd/ssd1/www/wwww.yeyulingfeng.com/vendor/topthink/think-orm/src/model/concern/ModelEvent.php ( 2.33 KB )
  71. /yingpanguazai/ssd/ssd1/www/wwww.yeyulingfeng.com/vendor/topthink/think-orm/src/model/concern/RelationShip.php ( 28.29 KB )
  72. /yingpanguazai/ssd/ssd1/www/wwww.yeyulingfeng.com/vendor/topthink/think-helper/src/contract/Arrayable.php ( 0.09 KB )
  73. /yingpanguazai/ssd/ssd1/www/wwww.yeyulingfeng.com/vendor/topthink/think-helper/src/contract/Jsonable.php ( 0.13 KB )
  74. /yingpanguazai/ssd/ssd1/www/wwww.yeyulingfeng.com/vendor/topthink/think-orm/src/model/contract/Modelable.php ( 0.09 KB )
  75. /yingpanguazai/ssd/ssd1/www/wwww.yeyulingfeng.com/vendor/topthink/framework/src/think/Db.php ( 2.88 KB )
  76. /yingpanguazai/ssd/ssd1/www/wwww.yeyulingfeng.com/vendor/topthink/think-orm/src/DbManager.php ( 8.52 KB )
  77. /yingpanguazai/ssd/ssd1/www/wwww.yeyulingfeng.com/vendor/topthink/framework/src/think/Log.php ( 6.28 KB )
  78. /yingpanguazai/ssd/ssd1/www/wwww.yeyulingfeng.com/vendor/topthink/framework/src/think/Manager.php ( 3.92 KB )
  79. /yingpanguazai/ssd/ssd1/www/wwww.yeyulingfeng.com/vendor/psr/log/src/LoggerTrait.php ( 2.69 KB )
  80. /yingpanguazai/ssd/ssd1/www/wwww.yeyulingfeng.com/vendor/psr/log/src/LoggerInterface.php ( 2.71 KB )
  81. /yingpanguazai/ssd/ssd1/www/wwww.yeyulingfeng.com/vendor/topthink/framework/src/think/Cache.php ( 4.92 KB )
  82. /yingpanguazai/ssd/ssd1/www/wwww.yeyulingfeng.com/vendor/psr/simple-cache/src/CacheInterface.php ( 4.71 KB )
  83. /yingpanguazai/ssd/ssd1/www/wwww.yeyulingfeng.com/vendor/topthink/think-helper/src/helper/Arr.php ( 16.63 KB )
  84. /yingpanguazai/ssd/ssd1/www/wwww.yeyulingfeng.com/vendor/topthink/framework/src/think/cache/driver/File.php ( 7.84 KB )
  85. /yingpanguazai/ssd/ssd1/www/wwww.yeyulingfeng.com/vendor/topthink/framework/src/think/cache/Driver.php ( 9.03 KB )
  86. /yingpanguazai/ssd/ssd1/www/wwww.yeyulingfeng.com/vendor/topthink/framework/src/think/contract/CacheHandlerInterface.php ( 1.99 KB )
  87. /yingpanguazai/ssd/ssd1/www/wwww.yeyulingfeng.com/app/Request.php ( 0.09 KB )
  88. /yingpanguazai/ssd/ssd1/www/wwww.yeyulingfeng.com/vendor/topthink/framework/src/think/Request.php ( 55.78 KB )
  89. /yingpanguazai/ssd/ssd1/www/wwww.yeyulingfeng.com/app/middleware.php ( 0.25 KB )
  90. /yingpanguazai/ssd/ssd1/www/wwww.yeyulingfeng.com/vendor/topthink/framework/src/think/Pipeline.php ( 2.61 KB )
  91. /yingpanguazai/ssd/ssd1/www/wwww.yeyulingfeng.com/vendor/topthink/think-trace/src/TraceDebug.php ( 3.40 KB )
  92. /yingpanguazai/ssd/ssd1/www/wwww.yeyulingfeng.com/vendor/topthink/framework/src/think/middleware/SessionInit.php ( 1.94 KB )
  93. /yingpanguazai/ssd/ssd1/www/wwww.yeyulingfeng.com/vendor/topthink/framework/src/think/Session.php ( 1.80 KB )
  94. /yingpanguazai/ssd/ssd1/www/wwww.yeyulingfeng.com/vendor/topthink/framework/src/think/session/driver/File.php ( 6.27 KB )
  95. /yingpanguazai/ssd/ssd1/www/wwww.yeyulingfeng.com/vendor/topthink/framework/src/think/contract/SessionHandlerInterface.php ( 0.87 KB )
  96. /yingpanguazai/ssd/ssd1/www/wwww.yeyulingfeng.com/vendor/topthink/framework/src/think/session/Store.php ( 7.12 KB )
  97. /yingpanguazai/ssd/ssd1/www/wwww.yeyulingfeng.com/vendor/topthink/framework/src/think/Route.php ( 23.73 KB )
  98. /yingpanguazai/ssd/ssd1/www/wwww.yeyulingfeng.com/vendor/topthink/framework/src/think/route/RuleName.php ( 5.75 KB )
  99. /yingpanguazai/ssd/ssd1/www/wwww.yeyulingfeng.com/vendor/topthink/framework/src/think/route/Domain.php ( 2.53 KB )
  100. /yingpanguazai/ssd/ssd1/www/wwww.yeyulingfeng.com/vendor/topthink/framework/src/think/route/RuleGroup.php ( 22.43 KB )
  101. /yingpanguazai/ssd/ssd1/www/wwww.yeyulingfeng.com/vendor/topthink/framework/src/think/route/Rule.php ( 26.95 KB )
  102. /yingpanguazai/ssd/ssd1/www/wwww.yeyulingfeng.com/vendor/topthink/framework/src/think/route/RuleItem.php ( 9.78 KB )
  103. /yingpanguazai/ssd/ssd1/www/wwww.yeyulingfeng.com/route/app.php ( 3.82 KB )
  104. /yingpanguazai/ssd/ssd1/www/wwww.yeyulingfeng.com/vendor/topthink/framework/src/think/facade/Route.php ( 4.70 KB )
  105. /yingpanguazai/ssd/ssd1/www/wwww.yeyulingfeng.com/vendor/topthink/framework/src/think/route/dispatch/Controller.php ( 4.74 KB )
  106. /yingpanguazai/ssd/ssd1/www/wwww.yeyulingfeng.com/vendor/topthink/framework/src/think/route/Dispatch.php ( 10.44 KB )
  107. /yingpanguazai/ssd/ssd1/www/wwww.yeyulingfeng.com/app/controller/Index.php ( 9.69 KB )
  108. /yingpanguazai/ssd/ssd1/www/wwww.yeyulingfeng.com/app/BaseController.php ( 2.05 KB )
  109. /yingpanguazai/ssd/ssd1/www/wwww.yeyulingfeng.com/vendor/topthink/think-orm/src/facade/Db.php ( 0.93 KB )
  110. /yingpanguazai/ssd/ssd1/www/wwww.yeyulingfeng.com/vendor/topthink/think-orm/src/db/connector/Mysql.php ( 5.44 KB )
  111. /yingpanguazai/ssd/ssd1/www/wwww.yeyulingfeng.com/vendor/topthink/think-orm/src/db/PDOConnection.php ( 52.47 KB )
  112. /yingpanguazai/ssd/ssd1/www/wwww.yeyulingfeng.com/vendor/topthink/think-orm/src/db/Connection.php ( 8.39 KB )
  113. /yingpanguazai/ssd/ssd1/www/wwww.yeyulingfeng.com/vendor/topthink/think-orm/src/db/ConnectionInterface.php ( 4.57 KB )
  114. /yingpanguazai/ssd/ssd1/www/wwww.yeyulingfeng.com/vendor/topthink/think-orm/src/db/builder/Mysql.php ( 16.58 KB )
  115. /yingpanguazai/ssd/ssd1/www/wwww.yeyulingfeng.com/vendor/topthink/think-orm/src/db/Builder.php ( 24.06 KB )
  116. /yingpanguazai/ssd/ssd1/www/wwww.yeyulingfeng.com/vendor/topthink/think-orm/src/db/BaseBuilder.php ( 27.50 KB )
  117. /yingpanguazai/ssd/ssd1/www/wwww.yeyulingfeng.com/vendor/topthink/think-orm/src/db/Query.php ( 15.71 KB )
  118. /yingpanguazai/ssd/ssd1/www/wwww.yeyulingfeng.com/vendor/topthink/think-orm/src/db/BaseQuery.php ( 45.13 KB )
  119. /yingpanguazai/ssd/ssd1/www/wwww.yeyulingfeng.com/vendor/topthink/think-orm/src/db/concern/TimeFieldQuery.php ( 7.43 KB )
  120. /yingpanguazai/ssd/ssd1/www/wwww.yeyulingfeng.com/vendor/topthink/think-orm/src/db/concern/AggregateQuery.php ( 3.26 KB )
  121. /yingpanguazai/ssd/ssd1/www/wwww.yeyulingfeng.com/vendor/topthink/think-orm/src/db/concern/ModelRelationQuery.php ( 20.07 KB )
  122. /yingpanguazai/ssd/ssd1/www/wwww.yeyulingfeng.com/vendor/topthink/think-orm/src/db/concern/ParamsBind.php ( 3.66 KB )
  123. /yingpanguazai/ssd/ssd1/www/wwww.yeyulingfeng.com/vendor/topthink/think-orm/src/db/concern/ResultOperation.php ( 7.01 KB )
  124. /yingpanguazai/ssd/ssd1/www/wwww.yeyulingfeng.com/vendor/topthink/think-orm/src/db/concern/WhereQuery.php ( 19.37 KB )
  125. /yingpanguazai/ssd/ssd1/www/wwww.yeyulingfeng.com/vendor/topthink/think-orm/src/db/concern/JoinAndViewQuery.php ( 7.11 KB )
  126. /yingpanguazai/ssd/ssd1/www/wwww.yeyulingfeng.com/vendor/topthink/think-orm/src/db/concern/TableFieldInfo.php ( 2.63 KB )
  127. /yingpanguazai/ssd/ssd1/www/wwww.yeyulingfeng.com/vendor/topthink/think-orm/src/db/concern/Transaction.php ( 2.77 KB )
  128. /yingpanguazai/ssd/ssd1/www/wwww.yeyulingfeng.com/vendor/topthink/framework/src/think/log/driver/File.php ( 5.96 KB )
  129. /yingpanguazai/ssd/ssd1/www/wwww.yeyulingfeng.com/vendor/topthink/framework/src/think/contract/LogHandlerInterface.php ( 0.86 KB )
  130. /yingpanguazai/ssd/ssd1/www/wwww.yeyulingfeng.com/vendor/topthink/framework/src/think/log/Channel.php ( 3.89 KB )
  131. /yingpanguazai/ssd/ssd1/www/wwww.yeyulingfeng.com/vendor/topthink/framework/src/think/event/LogRecord.php ( 1.02 KB )
  132. /yingpanguazai/ssd/ssd1/www/wwww.yeyulingfeng.com/vendor/topthink/think-helper/src/Collection.php ( 16.47 KB )
  133. /yingpanguazai/ssd/ssd1/www/wwww.yeyulingfeng.com/vendor/topthink/framework/src/think/facade/View.php ( 1.70 KB )
  134. /yingpanguazai/ssd/ssd1/www/wwww.yeyulingfeng.com/vendor/topthink/framework/src/think/View.php ( 4.39 KB )
  135. /yingpanguazai/ssd/ssd1/www/wwww.yeyulingfeng.com/vendor/topthink/framework/src/think/Response.php ( 8.81 KB )
  136. /yingpanguazai/ssd/ssd1/www/wwww.yeyulingfeng.com/vendor/topthink/framework/src/think/response/View.php ( 3.29 KB )
  137. /yingpanguazai/ssd/ssd1/www/wwww.yeyulingfeng.com/vendor/topthink/framework/src/think/Cookie.php ( 6.06 KB )
  138. /yingpanguazai/ssd/ssd1/www/wwww.yeyulingfeng.com/vendor/topthink/think-view/src/Think.php ( 8.38 KB )
  139. /yingpanguazai/ssd/ssd1/www/wwww.yeyulingfeng.com/vendor/topthink/framework/src/think/contract/TemplateHandlerInterface.php ( 1.60 KB )
  140. /yingpanguazai/ssd/ssd1/www/wwww.yeyulingfeng.com/vendor/topthink/think-template/src/Template.php ( 46.61 KB )
  141. /yingpanguazai/ssd/ssd1/www/wwww.yeyulingfeng.com/vendor/topthink/think-template/src/template/driver/File.php ( 2.41 KB )
  142. /yingpanguazai/ssd/ssd1/www/wwww.yeyulingfeng.com/vendor/topthink/think-template/src/template/contract/DriverInterface.php ( 0.86 KB )
  143. /yingpanguazai/ssd/ssd1/www/wwww.yeyulingfeng.com/runtime/temp/10a0c909b6afa23b5a52a2e2d58c3c0f.php ( 21.72 KB )
  144. /yingpanguazai/ssd/ssd1/www/wwww.yeyulingfeng.com/vendor/topthink/think-trace/src/Html.php ( 4.42 KB )
  1. CONNECT:[ UseTime:0.000999s ] mysql:host=127.0.0.1;port=3306;dbname=wenku;charset=utf8mb4
  2. SHOW FULL COLUMNS FROM `fenlei` [ RunTime:0.001481s ]
  3. SELECT * FROM `fenlei` WHERE `fid` = 0 [ RunTime:0.000742s ]
  4. SELECT * FROM `fenlei` WHERE `fid` = 63 [ RunTime:0.000687s ]
  5. SHOW FULL COLUMNS FROM `set` [ RunTime:0.001526s ]
  6. SELECT * FROM `set` [ RunTime:0.001766s ]
  7. SHOW FULL COLUMNS FROM `wendang` [ RunTime:0.001655s ]
  8. SELECT * FROM `wendang` WHERE `id` = 28811 LIMIT 1 [ RunTime:0.010867s ]
  9. UPDATE `wendang` SET `liulancishu` = 8 WHERE `id` = 28811 [ RunTime:0.010057s ]
  10. UPDATE `wendang` SET `lasttime` = 1773112605 WHERE `id` = 28811 [ RunTime:0.001200s ]
  11. SELECT * FROM `wendang` WHERE `id` < 28811 ORDER BY `id` DESC LIMIT 1 [ RunTime:0.001191s ]
  12. SELECT * FROM `wendang` WHERE `id` > 28811 ORDER BY `id` ASC LIMIT 1 [ RunTime:0.000718s ]
  13. SELECT * FROM `wendang` WHERE `id` <> 28811 ORDER BY `id` DESC LIMIT 10 [ RunTime:0.008140s ]
  14. SELECT * FROM `wendang` WHERE `id` <> 28811 ORDER BY `id` DESC LIMIT 10,10 [ RunTime:0.003575s ]
  15. SELECT * FROM `wendang` WHERE `id` <> 28811 ORDER BY `id` DESC LIMIT 20,10 [ RunTime:0.003484s ]
0.205128s