当前位置:首页>文档>2014年高考政治试卷(北京)(空白卷)_政治历年高考真题_新·PDF版2008-2025·高考政治真题_政治(按试卷类型分类)2008-2025_自主命题卷·政治(2008-2025)_北京自主命题·政治(2008-2025)

2014年高考政治试卷(北京)(空白卷)_政治历年高考真题_新·PDF版2008-2025·高考政治真题_政治(按试卷类型分类)2008-2025_自主命题卷·政治(2008-2025)_北京自主命题·政治(2008-2025)

  • 2026-03-16 23:08:45 2026-01-26 16:09:10

文档预览

2014年高考政治试卷(北京)(空白卷)_政治历年高考真题_新·PDF版2008-2025·高考政治真题_政治(按试卷类型分类)2008-2025_自主命题卷·政治(2008-2025)_北京自主命题·政治(2008-2025)
2014年高考政治试卷(北京)(空白卷)_政治历年高考真题_新·PDF版2008-2025·高考政治真题_政治(按试卷类型分类)2008-2025_自主命题卷·政治(2008-2025)_北京自主命题·政治(2008-2025)
2014年高考政治试卷(北京)(空白卷)_政治历年高考真题_新·PDF版2008-2025·高考政治真题_政治(按试卷类型分类)2008-2025_自主命题卷·政治(2008-2025)_北京自主命题·政治(2008-2025)
2014年高考政治试卷(北京)(空白卷)_政治历年高考真题_新·PDF版2008-2025·高考政治真题_政治(按试卷类型分类)2008-2025_自主命题卷·政治(2008-2025)_北京自主命题·政治(2008-2025)
2014年高考政治试卷(北京)(空白卷)_政治历年高考真题_新·PDF版2008-2025·高考政治真题_政治(按试卷类型分类)2008-2025_自主命题卷·政治(2008-2025)_北京自主命题·政治(2008-2025)
2014年高考政治试卷(北京)(空白卷)_政治历年高考真题_新·PDF版2008-2025·高考政治真题_政治(按试卷类型分类)2008-2025_自主命题卷·政治(2008-2025)_北京自主命题·政治(2008-2025)
2014年高考政治试卷(北京)(空白卷)_政治历年高考真题_新·PDF版2008-2025·高考政治真题_政治(按试卷类型分类)2008-2025_自主命题卷·政治(2008-2025)_北京自主命题·政治(2008-2025)
2014年高考政治试卷(北京)(空白卷)_政治历年高考真题_新·PDF版2008-2025·高考政治真题_政治(按试卷类型分类)2008-2025_自主命题卷·政治(2008-2025)_北京自主命题·政治(2008-2025)
2014年高考政治试卷(北京)(空白卷)_政治历年高考真题_新·PDF版2008-2025·高考政治真题_政治(按试卷类型分类)2008-2025_自主命题卷·政治(2008-2025)_北京自主命题·政治(2008-2025)
2014年高考政治试卷(北京)(空白卷)_政治历年高考真题_新·PDF版2008-2025·高考政治真题_政治(按试卷类型分类)2008-2025_自主命题卷·政治(2008-2025)_北京自主命题·政治(2008-2025)
2014年高考政治试卷(北京)(空白卷)_政治历年高考真题_新·PDF版2008-2025·高考政治真题_政治(按试卷类型分类)2008-2025_自主命题卷·政治(2008-2025)_北京自主命题·政治(2008-2025)
2014年高考政治试卷(北京)(空白卷)_政治历年高考真题_新·PDF版2008-2025·高考政治真题_政治(按试卷类型分类)2008-2025_自主命题卷·政治(2008-2025)_北京自主命题·政治(2008-2025)

文档信息

文档格式
pdf
文档大小
0.327 MB
文档页数
8 页
上传时间
2026-01-26 16:09:10

文档内容

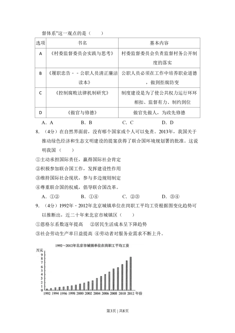
2014年北京市高考政治试卷 一、选择题(共12小题,每小题4分,满分48分) 1.(4分)数间民居、一湾流水、挺拔的轻松和结伴的人们……以丰子恺漫画 为底稿的“中国梦”公益广告,亮相于全国大街小巷,向人们诠释着我国仁爱 宽厚、孝悌友善等传统美德,引起了人们内心的共鸣。这说明传统美德( ) A.只能通过特定的方式传播 B.必须按照原有的含义理解 C.始终具有同样的社会背景 D.仍然具有巨大的时代价值 2.(4分)“天人合一,顺时而食。”一家老字号食品企业在这一古老智慧的启 发下,随着二十四节气的更替,推出了清明的青团、谷雨的椿芽酥、立夏的 青梅饼,芒种的乌梅酥、大暑的荷叶饼等广受消费者欢迎的时令点心。这表 明( ) ①传统文化对人们的生活有着持久影响 ②民族文化的传承要以市场经济为前提 ③民族文化是文化创新的源泉和动力 ④文化与经济之间具有相互交融的关系。 A.①② B.③④ C.②③ D.①④ 3.(4分)中国早期的时空观念与古代农民的农舍和劳作有关。农舍是他们的 生活世界,他们从农舍得到空间观念。“日出而作,日落而息”,他们由农舍 出入得到时间观念。这表明( ) ①中国早期的时空观念来源于主观想象 ②中国早期的时空观念来是农业文明的产物 ③时空观念是客观存在的主观映象 ④时空观念对社会生活起了决定性作用。 A.①② B.①④ C.②③ D.③④ 第1页 | 共8页4.(4分)经济建设与生态建设的协调发展,通俗地讲,就是要金山银山和绿 水青山,某地在实践中对这“两座山”关系的认识经过了三个阶段:一是用绿 水青山去换金山银山;二是既要金山银山,也要绿水青山;三是绿水青山本 身就是金山银山。这一认识过程说明( ) ①每一阶段的特点相同 ②是一个由浅入深的发展过程 ③是一种圆圈式的循环运动 ④经过实践和认识的多次反复达到了更高境界。 A.①③ B.①④ C.②③ D.②④ 5.(4分)北京某胡同推行垃圾分类新招。居民将与自家对应的二维码贴在塑 料袋上分类投放垃圾,垃圾综合处理厂通过二维码扫描仪分拣垃圾,政府部 门对正确分类和投放的住户进行奖励。随着新招的推出,居民垃圾分类意识 逐步增强。这一新招( ) ①促进了政府管理与社会参与的有机结合 ②维护了市场在社区建设中的决定作用 ③通过有效的激励机制提高了居民环保意识 ④通过科技手段扩大了政府公共服务的职能。 A.①③ B.①④ C.②③ D.②④ 6.(4分)在下列“假如我是人大代表”的模拟情境中,“我”的行为不当的是( ) A.当我被选为人大代表后,在人大网站专门开设群众信箱征集各方面意见 B.当我调查到某工厂生产假冒伪劣产品时,立即拿出代表证要求厂家停产 整顿 C.当我调研发现信息网络安全问题日益突出时,在人大会议上联名提出相 关议案 D.当我了解到规划局有法不依,执法不严时,在人大会议上联名向该局提 出质询 7.(4分)近期中纪委监察部网站列出了56本推荐书目,现选择4本列在表,其 中集中体现“有效制约和监督政府权力的关键,是健全权力运行的制约和监 第2页 | 共8页督体系”这一观点的是( ) 选项 书名 基本内容 A 《村委监督委员会实践与思考》 村委监督委员会负责监督村务公开制 度的落实 B 《履职忠告﹣﹣公职人员清正廉洁 公职人员必须在工作中培养职业道德 读本》 ,做到拒腐防变 C 《控制腐败法律机制研究》 制度建设是为了使公共权力运行环环 相扣、监督有力、制约到位 D 《做官与修德》 做官先做人,为政先修德 A.A B.B C.C D.D 8.(4分)在自然界面前,没有哪个国家或个人可以免责。2013年,我国关于 推动绿色经济和生态文明建设的提案获得了联合国环境规划署的批准。这说 明我国 ( ) ①主动承担国际责任,赢得国际社会肯定 ②积极参加联合国工作,发挥建设性作用 ③维持国际社会现状,参与多边规则制定 ④尊重联合国的权威,倡导联合国改革。 A.①② B.①④ C.②③ D.③④ 9.(4分)1992年﹣2012年北京城镇单位在岗职工平均工资根据图变化趋势可 以推断出,近二十年来北京市城镇区( ) ①恩格尔系数逐年提高 ②居民生活成本呈下降趋势 ③社会劳动生产率日益提高 ④劳动者对服务业需求不断上升。 第3页 | 共8页A.①② B.①④ C.②③ D.③④ 10.(4分)债券利率受到风险的影响,当风险下降时,债券利率降低。小华准 备购买某企业新发行的债券,通过查询该企业近几期债券的利率,绘制了图 ,相对于稳定的国债利率,该企业债券利率从第2期到第3期下降的原因可能 是( ) A.国际原油价格上涨,企业运输成本上升 B.新产品受市场欢迎,企业经济效益提高 C.面临高额关税,企业国际市场份额下滑 D.海外投资失误,企业债务负担大幅增加 11.(4分)“自动稳定器”是一种经济调节机制,具有自动稳定宏观经济运行的 功能:在经济繁荣时会自动抑制经济增长,在经济衰退时会自动促进经济增 长。下列选项能够体现“自动稳定器”功能的是( ) A.税务总局实施部分服务业营业税改征增值税,降低企业税负 B.因经济繁荣职工收入提高,个人所得税税率进入更高等级 C.政府加快推进新型城镇化战略,促进经济健康可持续发展 D.中央银行为应对经济下行,降低商业银行存款准备金率 12.(4分)某小组进行主题为“学习《经济学常识》,把握经济思想脉络”的课 程讨论时,绘制了一张图表,对图判断正确的是( ) 第4页 | 共8页a.①到②起因于“滞涨”现象 b.③揭示了资本主义生产的实质是剩余价值的生产 c.1929﹣1933年经济危机促使②到④ d.⑥是在实践的基础上对③的丰富和发展。 A.ab B.ac C.bd D.cd 二、解答题(共3小题,满分52分) 13.(34分)地铁作为流动的博物馆,被称为城市“最有价值的隐藏”。 材料一 北京地铁宛若一条条彩带串起北京不同区域的“文化珍珠”:颐和园、天坛、 鸟巢、什刹海、南锣鼓巷、王府井、中关村科技园,等等。一座座地铁造型 别致,站内设计装饰与地面文化景观交相辉映、浑然一体,仿佛在讲述着北 京的昨天、今天和明天。北京地铁还举办了“祖国你好”大型公益广告活动、 “民俗风、中国年”迎新春活动、儿童文学专列、诗歌坊等丰富多彩的活动。 (1)结合材料说明地铁在推动北京文化创新过程中是怎样发挥作用的。 材料二 拥挤的车厢、高额的补贴……在当前地铁供需条件下,票价的合理性成为关 注的焦点。某校学生围绕“北京地铁票价涨不涨、怎么涨“开展研究性学习, 第5页 | 共8页在采访乘客的过程中,了解到如下一些看法:乘客甲:“两块钱票价真便宜 ,涨价就不那么挤了。不过我每次就坐两站,总不该和坐几十站的人花一样 多的钱呀。”乘客乙:“我通常在高峰期挤地铁上班,真实人进去,相片出来 啊。其实,非高峰期就没那么多人。”乘客丙:“地铁便捷、污染少,关系到 老百姓的民生,不能只考虑经济因素。” (2)结合材料,你认为地铁票价应怎样调整?运用《经济生活》相关知识说明 理由。 (3)地铁票价调整各项民生、召开地铁票价听证会,是保障科学决策、民主决 策,使票价调整方案更加科学合理的有效方式。为使听证会获得预期效果, 应注意表中事项。运用《政治生活》相关知识,说明注意这些事项的理由。 材料三 破解北京地铁的供需矛盾,不仅要解决地铁票价合理性问题,更在于如何加 大地铁建设力度问题。地铁4号线采用PPP模式(Public﹣Private Partnership)建设。在该模式下,政府通过市场化手段,引入某公司负责4号 线的一部分投资和后期运营。这种模式为加大地铁建设力度提供了新思路, 既拓宽了民间资本的投资领域,也使政府从地铁投资者和间接经营者转变为 部分投资者和监管者。 (4)结合材料,运用《经济生活》相关知识,说明传统上由政府财政投资兴建 地铁,现在为什么要通过市场化引入民间资本。 第6页 | 共8页14.(12分)古人说:“大学之道,在明明德,在亲民,在止于至善。”社会主 义核心价值观,其实就是一种,即使个人的德,也是一种大德,就是国家的德 、社会的德。国无德不兴,人无德不立。修德,既要立意高远,又要立足平实 。 一位借款经营的店主、一个客人遗忘的装有6万多元的皮包,会发生怎样的 故事? “真没想到,这么多钱还能原封不动地回来”,失主回忆道。他抱着侥幸心 理回到那家面馆,一眼就看到自己的皮包好端端地放在面馆货架上。店主核对 信息后,把皮包归还给他。 6万多元现金,相当于全家人辛苦经营面馆一年的收入,更何况家里还有借 款。 “那是客人的东西,我们哪能动!”店主这样说,“自己挣的钱花的才踏实, 不是我们的钱,可不能拿。” 事情传开后,人们纷纷来面馆吃面,面馆生意越来越红火。 心怀感激的失主、朴实的面馆老板、蜂拥而至的顾客„ (1)简要分析这个故事体现了社会主义核心价值观的哪些内容? (2)从知行统一的角度,谈谈你对践行社会主义核心价值观的理解。 第7页 | 共8页15.(6分)中国工业布局受政治、资源、市场等因素影响而不断变化。 建设长江经济带,川渝地区应如何坚持具体问题具体分析的原则? 第8页 | 共8页