当前位置:首页>文档>人教版四年级下册数学期末测试卷-含答案-重庆市名校期末测试卷_小学1-6年级全部试卷_数学_四年级_3-9-4、小学四年级数学下册_3-9-4-2、练习题、作业、试题、试卷_人教版_期末测试卷

人教版四年级下册数学期末测试卷-含答案-重庆市名校期末测试卷_小学1-6年级全部试卷_数学_四年级_3-9-4、小学四年级数学下册_3-9-4-2、练习题、作业、试题、试卷_人教版_期末测试卷

  • 2026-04-09 22:23:42 2026-02-19 15:19:26

文档预览

人教版四年级下册数学期末测试卷-含答案-重庆市名校期末测试卷_小学1-6年级全部试卷_数学_四年级_3-9-4、小学四年级数学下册_3-9-4-2、练习题、作业、试题、试卷_人教版_期末测试卷
人教版四年级下册数学期末测试卷-含答案-重庆市名校期末测试卷_小学1-6年级全部试卷_数学_四年级_3-9-4、小学四年级数学下册_3-9-4-2、练习题、作业、试题、试卷_人教版_期末测试卷
人教版四年级下册数学期末测试卷-含答案-重庆市名校期末测试卷_小学1-6年级全部试卷_数学_四年级_3-9-4、小学四年级数学下册_3-9-4-2、练习题、作业、试题、试卷_人教版_期末测试卷
人教版四年级下册数学期末测试卷-含答案-重庆市名校期末测试卷_小学1-6年级全部试卷_数学_四年级_3-9-4、小学四年级数学下册_3-9-4-2、练习题、作业、试题、试卷_人教版_期末测试卷
人教版四年级下册数学期末测试卷-含答案-重庆市名校期末测试卷_小学1-6年级全部试卷_数学_四年级_3-9-4、小学四年级数学下册_3-9-4-2、练习题、作业、试题、试卷_人教版_期末测试卷
人教版四年级下册数学期末测试卷-含答案-重庆市名校期末测试卷_小学1-6年级全部试卷_数学_四年级_3-9-4、小学四年级数学下册_3-9-4-2、练习题、作业、试题、试卷_人教版_期末测试卷
人教版四年级下册数学期末测试卷-含答案-重庆市名校期末测试卷_小学1-6年级全部试卷_数学_四年级_3-9-4、小学四年级数学下册_3-9-4-2、练习题、作业、试题、试卷_人教版_期末测试卷
人教版四年级下册数学期末测试卷-含答案-重庆市名校期末测试卷_小学1-6年级全部试卷_数学_四年级_3-9-4、小学四年级数学下册_3-9-4-2、练习题、作业、试题、试卷_人教版_期末测试卷
人教版四年级下册数学期末测试卷-含答案-重庆市名校期末测试卷_小学1-6年级全部试卷_数学_四年级_3-9-4、小学四年级数学下册_3-9-4-2、练习题、作业、试题、试卷_人教版_期末测试卷
人教版四年级下册数学期末测试卷-含答案-重庆市名校期末测试卷_小学1-6年级全部试卷_数学_四年级_3-9-4、小学四年级数学下册_3-9-4-2、练习题、作业、试题、试卷_人教版_期末测试卷
人教版四年级下册数学期末测试卷-含答案-重庆市名校期末测试卷_小学1-6年级全部试卷_数学_四年级_3-9-4、小学四年级数学下册_3-9-4-2、练习题、作业、试题、试卷_人教版_期末测试卷
人教版四年级下册数学期末测试卷-含答案-重庆市名校期末测试卷_小学1-6年级全部试卷_数学_四年级_3-9-4、小学四年级数学下册_3-9-4-2、练习题、作业、试题、试卷_人教版_期末测试卷

文档信息

文档格式
docx
文档大小
0.405 MB
文档页数
12 页
上传时间
2026-02-19 15:19:26

文档内容

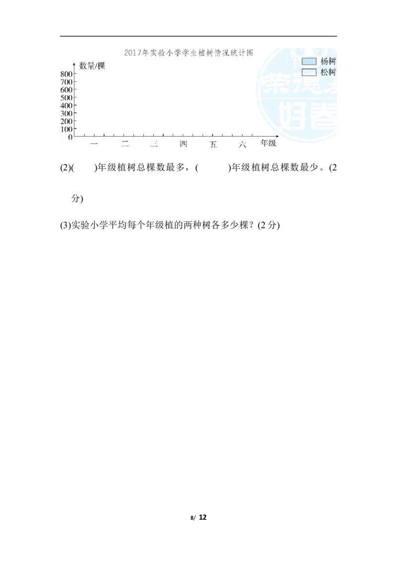
重庆市名校期末测试卷 一、填一填。(每空1分,共18分) 1.有一个数,十位和百分位都是 8,个位和十分位都是 0,这个数 写作( ),读作( )。 2.在( )里填上合适的数。 50+( )×8=250 ( )÷3-15=3 5×( )-15=20 3.用小正方体搭一个几何体,从左面看到的图形是 ,从上面看 到的图形是 ,要搭成这样的几何体,最少需要( )个 小正方体,最多需要( )个小正方体。 4.四位同学 100 米的成绩分别是小明 14.96 秒,小亮 15.01 秒,小 刚 14.69 秒,小乐 16.01 秒。其中成绩最好的是( ),排名第 三的是( )。 5.有两根长度分别是 4 cm 和8 cm 的小棒,再添上一根小棒可以围 成一个三角形,则这根小棒的长度最短是( )cm,最长是( )cm。(长度取整厘米数) 1/ 126.用数字卡片 和小数点 ,能够组成( )个不同的 小数(每张卡片都要用上且不重复),最大的与最小的相差( )。 7.○、□、△分别代表三个数,并且△+△+△=○+○+○+○, ○+○=□+□+□,△+□+○+○=60,则○=( ), □=( ),△=( )。 8.把 100 张纸叠起来的厚度为 1.25 cm。照这样计算,一亿张这样 的纸叠起来高( )m。 9.某次答题比赛中,答对一道题得 10 分,答错一道题倒扣 6 分。 笑笑共抢答10道,得了36分,她答对了( )道题。 二、辨一辨。(对的在括号里打“√”,错的打“×”。每题 1分,共 5分) 1.3.104精确到百分位是3.1。 ( ) 2.小亮的身高是 1.56 m,他蹚过平均水深 1.2 m 的小河,不会有危 险。 ( ) 3.一个三角形的最小内角是49°,那么这个三角形一定是锐角三角 形。( ) 2/ 124.从同一方向观察不同的物体看到的形状可能相同,也可能不同。 ( ) 5.2.38在自然数2和3之间,它更接近2。 ( ) 三、选一选。(将正确答案的序号填在括号里。每题2分,共10分) 1.下列各式简便计算错误的是( )。 A.99×57=100×57-57 B.25×32×125=25×4+8×125 C.490÷14=490÷7÷2 2.拼成一个梯形,至少要用( )个相同的等边三角形。 A.2 B.3 C.4 3.把574900000改写成用“亿”作单位的数,并保留两位小数约是 ( )。 A.5.74亿 B.5.75亿 C.5.84亿 4.在下面的统计图中,横线所在位置能反映这 4个数的平均数的图 是( )。 5.关于平移,说法不正确的是( )。 3/ 12A.图形的形状没变 B.图形的位置变了 C.图形的大小变了 四、计算挑战。(共26分) 1.直接写出得数。(每题1分,共8分) 0.5÷100= 4.302×10= 1-0.99= 2.35-0.8-1.2= 2.9-1.85= 2.17+0.9= 15×9+15= 125×8÷125×8= 2.计算下面各题,怎样简便就怎样算。(每题3分,共18分) 7.8-3.5+2.2-6.5 600÷[(160-76)÷7] 70×4+90×4 840÷35 382×101-382 12-1.56-0.44 五、动手操作,智慧大脑。(共14分) 1.画出轴对称图形的另一半。(4分) 4/ 122.(1)画出右图三角形指定底边上的高。(2分) (2)∠1=( )。(2分) 3.画出右图从前面、上面、左面看到的图形。(6分) 六、解决问题。(共27分) 1.在一个直角三角形中,较大锐角的度数是较小锐角的 5倍,较大 的锐角是多少度?(5分) 5/ 122.仟吉西饼店推出一种新口味的吐司面包,买五送一,每袋吐司面 包售价6.8元,买12袋这种吐司面包要花多少钱?(5分) 3.王老师带领全班 43 名同学到公园去划船,大船限乘 6 人,每条 船 25 元,小船限乘 4 人,每条船 20 元,怎样租船合算?最少需 要多少元?(5分) 6/ 124.四年级的师生到植物园去观赏梅花,有学生 42 人,老师 4 人。 请你选择最便宜的购票方案,至少要花多少钱?(5分) 5.2017年实验小学学生参加植树活动,植树棵数统计如下: (1)根据上表绘制复式条形统计图。(3分) 7/ 12(2)( )年级植树总棵数最多,( )年级植树总棵数最少。(2 分) (3)实验小学平均每个年级植的两种树各多少棵?(2分) 8/ 12答案 一、1.80.08 八十点零八 2.25 54 7 3.5 7 4.小刚 小亮 5.5 11 6.12 60.84 7.15 10 20 8.12500 9.6 二、1.× 2.× 3.√ 4.√ 5.√ 三、1.B 2.B 3.B 4.C 5.C 四、1.0.005 43.02 0.01 0.35 1.05 3.07 150 64 2. 7.8-3.5+2.2-6.5 =7.8+2.2-(3.5+6.5) =10-10 =0 600÷[(160-76)÷7] =600÷[84÷7] =50 70×4+90×4 840÷35 =(70+90)×4 =840÷7÷5 =160×4 =120÷5 =640 =24 9/ 12382×101-382 12-1.56-0.44 =382×(101-1) =12-(1.56+0.44) =382×100 =12-2 =38200 =10 五、1. 2.(1) (2)30° 3. 六、1.90°÷(5+1)×5=75° 答:较大的锐角是75°。 2.12÷(5+1)×5×6.8=68(元) 10/ 12答:买12袋这种吐司面包要花68元钱。 【点拨】“买五送一”,即付 5袋的钱,就能得到 6袋,少付一 袋的钱,12袋里有两个6袋,就少付2袋的钱,即付10袋的钱。 3.43+1=6×6+4×2 25×6+2×20=190(元) 答:租6条大船,2条小船合算,最少需要190元。 4.6×(4+6)+5×(42-6)=240(元) 答:4名老师和6名学生购买团体票,其余 36名学生购买学生票 最便宜,至少要花240元。 5.(1) (2)五 一 (3)杨树:(200+305+400+470+645+500)÷6=420(棵) 松树:(180+210+220+245+315+420)÷6=265(棵) 答:实验小学平均每个年级植杨树420棵,松树265棵。 11/ 1212/ 12