当前位置:首页>文档>人教版四年级下册数学第9单元数学广角—鸡兔同笼-第8、9单元评价测试卷_小学1-6年级全部试卷_数学_四年级_3-9-4、小学四年级数学下册_3-9-4-2、练习题、作业、试题、试卷_人教版

人教版四年级下册数学第9单元数学广角—鸡兔同笼-第8、9单元评价测试卷_小学1-6年级全部试卷_数学_四年级_3-9-4、小学四年级数学下册_3-9-4-2、练习题、作业、试题、试卷_人教版

  • 2026-03-23 14:28:00 2026-02-19 15:26:46

文档预览

人教版四年级下册数学第9单元数学广角—鸡兔同笼-第8、9单元评价测试卷_小学1-6年级全部试卷_数学_四年级_3-9-4、小学四年级数学下册_3-9-4-2、练习题、作业、试题、试卷_人教版
人教版四年级下册数学第9单元数学广角—鸡兔同笼-第8、9单元评价测试卷_小学1-6年级全部试卷_数学_四年级_3-9-4、小学四年级数学下册_3-9-4-2、练习题、作业、试题、试卷_人教版
人教版四年级下册数学第9单元数学广角—鸡兔同笼-第8、9单元评价测试卷_小学1-6年级全部试卷_数学_四年级_3-9-4、小学四年级数学下册_3-9-4-2、练习题、作业、试题、试卷_人教版
人教版四年级下册数学第9单元数学广角—鸡兔同笼-第8、9单元评价测试卷_小学1-6年级全部试卷_数学_四年级_3-9-4、小学四年级数学下册_3-9-4-2、练习题、作业、试题、试卷_人教版

文档信息

文档格式
docx
文档大小
0.098 MB
文档页数
4 页
上传时间
2026-02-19 15:26:46

文档内容

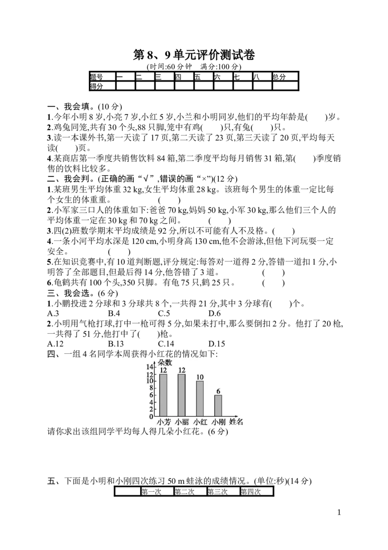
第 8、9 单元评价测试卷 (时间:60分钟 满分:100分) 题号 一 二 三 四 五 六 七 八 总分 得分 一、我会填。(10分) 1.今年小明8岁,小亮7岁,小红5岁,小兰和小明同岁,他们的平均年龄是( )岁。 2.鸡兔同笼,共有30个头,88只脚,笼中有鸡( )只,有兔( )只。 3.读一本课外书,第一天读了17页,第二天读了23页,第三天读了20页,平均每天 读( )页。 4.某商店第一季度共销售饮料84箱,第二季度平均每月销售31箱,第( )季度销 售的饮料比较多。 二、我会判。(正确的画“√”,错误的画“×”)(12分) 1.某班男生平均体重32 kg,女生平均体重28 kg。该班每个男生的体重一定比每 个女生的体重重。 ( ) 2.小军家三口人的体重如下:爸爸70 kg,妈妈50 kg,小军30 kg,那么他们三个人的 平均体重一定在30 kg和70 kg之间。 ( ) 3.四(2)班数学期末平均成绩是92分,所以不可能有人不及格。( ) 4.一条小河平均水深是120 cm,小明身高130 cm,他不会游泳,但他下河玩耍一定 安全。 ( ) 5.在知识竞赛中,有10道判断题,评分规定:每答对一道得2分,答错一道扣1分,小 明答了全部题目,但最后得14分,他答错了3道。 ( ) 6.龟鹤共有100个头,350只脚。有龟75只,鹤25只。 ( ) 三、我会选。(6分) 1.小鹏投进2分球和3分球共8个,一共得21分,其中3分球有( )个。 A.3 B.4 C.5 D.6 2.小明用气枪打球,打中一枪可得5分,如果未打中,那么要倒扣2分。他打了20枪, 一共得了51分,他打中了( )枪。 A.12 B.13 C.14 D.15 四、一组4名同学本周获得小红花的情况如下: 请你求出该组同学平均每人得几朵小红花。(6分) 五、下面是小明和小刚四次练习50 m蛙泳的成绩情况。(单位:秒)(14分) 第一次 第二次 第三次 第四次 1小明 132 130 128 134 小刚 105 110 107 106 1.他们两人的平均成绩各是多少?(8分) 2.如果要从他们两人中选一人去参加比赛,你认为应该选谁?为什么?(6分) 六、我会解答。(14分) 1.(7分) 2.兔妈妈采蘑菇,晴天每天可以采20个,雨天每天只能采12个,它这几天一共采了 112个蘑菇,平均每天采14个。这几天中有几天是雨天?有几天是晴天?(7分) 七、下面是红光小学三、四、五年级男、女生人数情况统计: 三年级:男生33人,女生27人;四年级:男生30人,女生33人;五年级:男生40人,女 生35人。(20分) 根据上面的数据将条形统计图补充完整。(4分) 红光小学三、四、五年级男、女生人数情况统计图 21.( )年级男生的人数最多,( )年级女生的人数最少。(4分) 2.三个年级一共有( )名学生。(4分) 3.你还能得到什么信息?(8分) 八、枫叶服装厂2019年第一季度生产服装套数如下:(18分) 1月份计划生产6000套,实际生产6500套; 2月份计划生产5000套,实际生产7000套; 3月份计划生产7500套,实际生产8000套。 1.根据上面的数据,制成条形统计图。(8分) 标题: 2.看图回答问题:(10分) (1)纵轴每个单位长度表示( )套。 (2)( )月份计划和实际生产的套数相差最多。 3第8、9单元评价测试卷 一、1.7 2.16 14 3.20 4.二 二、1.× 2. 3.× 4.× 5.× 6. 三、1.C 2.B 四、(12+12+√10+6)÷4=10(朵) √ 五、1.小明:131秒 小刚:107秒 2.小刚,因为小刚的平均成绩比小明好。 六、1.自行车:9辆 童车:6辆 2.雨天:6天 晴天:2天 七、画图略 1.五 三 2.198 3.答案不唯一,如五年级的人数最多。 八、略 4