当前位置:首页>文档>数学(解析版)_2024-2026高三(6-6月题库)_2025年07月试卷_2025年高三数学秋季开学摸底考_2025年高三数学秋季开学摸底考(浙江专用)

数学(解析版)_2024-2026高三(6-6月题库)_2025年07月试卷_2025年高三数学秋季开学摸底考_2025年高三数学秋季开学摸底考(浙江专用)

  • 2026-04-09 15:38:01 2026-02-19 15:27:35

文档预览

数学(解析版)_2024-2026高三(6-6月题库)_2025年07月试卷_2025年高三数学秋季开学摸底考_2025年高三数学秋季开学摸底考(浙江专用)
数学(解析版)_2024-2026高三(6-6月题库)_2025年07月试卷_2025年高三数学秋季开学摸底考_2025年高三数学秋季开学摸底考(浙江专用)
数学(解析版)_2024-2026高三(6-6月题库)_2025年07月试卷_2025年高三数学秋季开学摸底考_2025年高三数学秋季开学摸底考(浙江专用)
数学(解析版)_2024-2026高三(6-6月题库)_2025年07月试卷_2025年高三数学秋季开学摸底考_2025年高三数学秋季开学摸底考(浙江专用)
数学(解析版)_2024-2026高三(6-6月题库)_2025年07月试卷_2025年高三数学秋季开学摸底考_2025年高三数学秋季开学摸底考(浙江专用)
数学(解析版)_2024-2026高三(6-6月题库)_2025年07月试卷_2025年高三数学秋季开学摸底考_2025年高三数学秋季开学摸底考(浙江专用)
数学(解析版)_2024-2026高三(6-6月题库)_2025年07月试卷_2025年高三数学秋季开学摸底考_2025年高三数学秋季开学摸底考(浙江专用)
数学(解析版)_2024-2026高三(6-6月题库)_2025年07月试卷_2025年高三数学秋季开学摸底考_2025年高三数学秋季开学摸底考(浙江专用)
数学(解析版)_2024-2026高三(6-6月题库)_2025年07月试卷_2025年高三数学秋季开学摸底考_2025年高三数学秋季开学摸底考(浙江专用)
数学(解析版)_2024-2026高三(6-6月题库)_2025年07月试卷_2025年高三数学秋季开学摸底考_2025年高三数学秋季开学摸底考(浙江专用)
数学(解析版)_2024-2026高三(6-6月题库)_2025年07月试卷_2025年高三数学秋季开学摸底考_2025年高三数学秋季开学摸底考(浙江专用)
数学(解析版)_2024-2026高三(6-6月题库)_2025年07月试卷_2025年高三数学秋季开学摸底考_2025年高三数学秋季开学摸底考(浙江专用)
数学(解析版)_2024-2026高三(6-6月题库)_2025年07月试卷_2025年高三数学秋季开学摸底考_2025年高三数学秋季开学摸底考(浙江专用)
数学(解析版)_2024-2026高三(6-6月题库)_2025年07月试卷_2025年高三数学秋季开学摸底考_2025年高三数学秋季开学摸底考(浙江专用)
数学(解析版)_2024-2026高三(6-6月题库)_2025年07月试卷_2025年高三数学秋季开学摸底考_2025年高三数学秋季开学摸底考(浙江专用)
数学(解析版)_2024-2026高三(6-6月题库)_2025年07月试卷_2025年高三数学秋季开学摸底考_2025年高三数学秋季开学摸底考(浙江专用)

文档信息

文档格式
docx
文档大小
1.338 MB
文档页数
16 页
上传时间
2026-02-19 15:27:35

文档内容

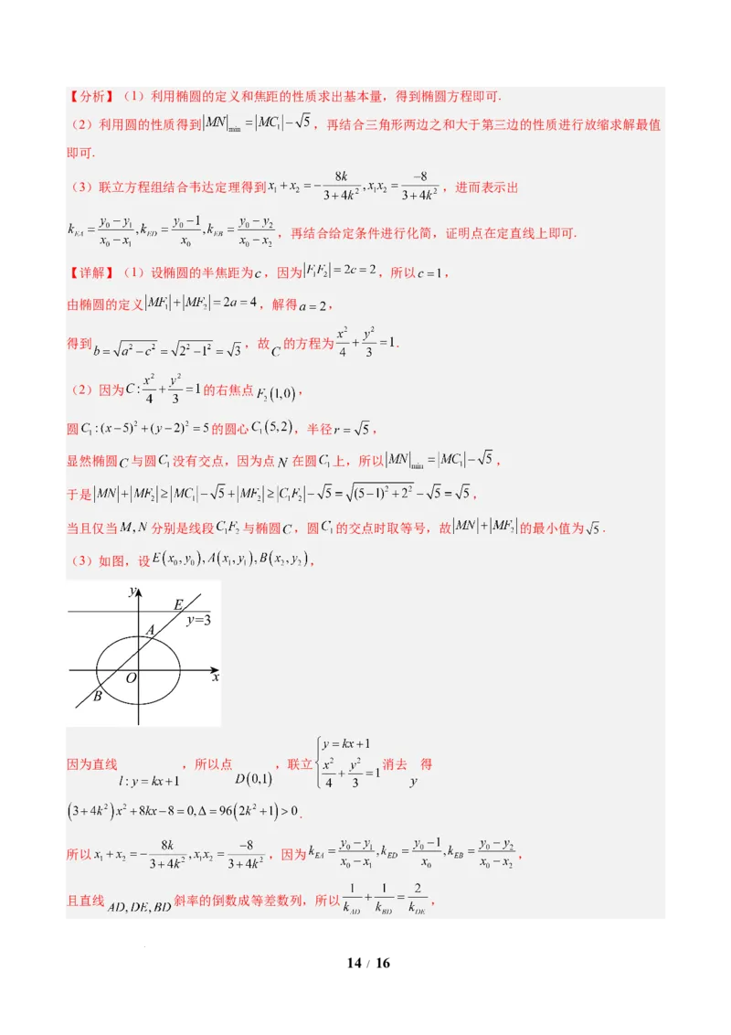
2025 年秋季高三开学摸底考试模拟卷 数学•全解全析 第一部分(选择题 共58分) 一、选择题:本题共8小题,每小题5分,共40分。在每小题给出的四个选项中,只有一项是符合题目要 求的. 1.复数z满足 ,则z的虚部为( ) A. B. C.2 D. 【答案】B 【分析】根据复数的运算法则,求得 ,结合复数的定义,即可求解. 【详解】由复数 , 所以复数 的虚部为 .故选:B. 2.已知全集 ( 是自然数集),集合 ,则 ( ) A. B. C. D. 【答案】A 【分析】化简集合 即得解. 【详解】:由题得集合 , 所以 .故选:A 3.已知双曲线 的渐近线方程为 ,则该双曲线的离心率为( ) A. B. C. D.2 【答案】D 【分析】由渐近线求出 ,进而求出离心率. 【详解】双曲线 的渐近线方程为 , , ,离心率 ,故选:D. 4.“ ”是“函数 的图象关于 对称”的( ) A.充分不必要条件 B.必要不充分条件C.充要条件 D.既不充分也不必要条件 【答案】A 【分析】若函数 的图象关于 对称,根据正切函数的对称性可得 ,再 1 / 16 学科网(北京)股份有限公司根据充分、必要条件结合包含关系分析求解. 【详解】若函数 的图象关于 对称, 则 ,解得 , 因为 是 的真子集, 所以“ ”是“函数 的图象关于 对称”的充分不必要条件.故选:A. 5.设 是定义域为 的偶函数,且 ,则 ( ) A. B. C. D. 【答案】B 【分析】利用条件和偶函数的性质,得出函数 的周期为2,再根据条件即可求出结果. 【详解】因为 是定义域为 的偶函数,所 所以 的周期为2,所以 .故选:B. 6.过原点 作直线 的垂线,垂足为P,则P到直线 的距离 的最大值为( ) A. B. C. D. 【答案】A 【分析】将直线 : 化为 ,可得直线 经过 定点 ,从而可以判断得出 的轨迹是以 为直径的圆,圆心为 ,半径为1,利用点到直线的 距离公式,可得点 到直线 的距离的最大值为 . 【详解】 整理得 , 由题意得 ,解得 ,所以直线 过定点 . 因为 ,所以点 的轨迹是以 为直径的圆,圆心为 ,半径为1, 因为圆心 到直线 的距离为 ,所以 到直线 的距离的最大值为 .故选:A 7.在平面直角坐标系中,已知向量 , ,定点 的坐标为 ,点 满足 2 / 16 学科网(北京)股份有限公司,曲线 ,区域 ,曲 线 与区域 的交集为两段分离的曲线,则( ) A. B. C. D. 【答案】A 【详解】由平面向量数量积运算可得: ,则: , 设N点坐标为 ,考查曲线C: , 整理可得N点的轨迹为: ,即N点是以A位圆心,1为半径的圆, 由平面向量模的几何意义可得P点是以M为圆心,r,R分别为半径的圆环, 数形结合,曲线 与区域 的交集为两段分离的曲线,则 .故选:A. 8.若x,y,z∈R+,且3x=4y=12z, ∈(n,n+1),n∈N,则n的值是( ) A.2 B.3 C.4 D.5 【答案】C 【分析】设 ,用 表示出 ,然后根据对数的运算性质和换底公式进行变形求解可得 所在的范围,进而得到答案. 【详解】设 ,则 , ∴ . ∵ ,∴ ; 又 , ∴ ,即 .∴ .故选C. 二、选择题:本题共3小题,每小题6分,共18分.在每小题给出的选项中,有多项符合题目要求.全部 选对的得6分,部分选对的得部分分,有选错的得0分. 9.已知正方体 ,则( ) A.直线 与面 平行 B.直线 与 所成的角为 C.直线 与平面 所成的角为 D.直线 与平面 垂直 【答案】AD 【分析】由正方体结构特点,结合线面位置关系逐项判断即可. 【详解】 3 / 16 学科网(北京)股份有限公司A:正方体 中,易知 , 在平面 内, 面 ,所以A正确; B: 为正三角形,又易知 与 所成的角为 ,所以B错误; C:连接 交 于 点,则 . 正方体中易知: 平面 平面 ,且相交于点 , 平面 即为直线 与平面 所成角的平面角, 设正方体棱长为2,则 . ,所以C错误; D: 且 ,都在平面面 内, 面 ,所以D对.故选:AD 10.设抛物线 的焦点为F,过F的直线交C于A、B,过F且垂直于 的直线交 于 E,过点A作准线l的垂线,垂足为D,则( ) A. B. C. D. 【答案】ACD 【分析】对于A,先判断得直线 为抛物线的准线,再利用抛物线的定义即可判断;对于B,利用 三角形相似证得 ,进而得以判断;对于C,利用直线的反设法(法一)与正设法(法二),联 立直线 与抛物线方程,结合韦达定理与焦点弦公式可判断C;利用利用三角形相似证得 , ,结合焦半径公式可判断D. 【详解】法一:对于A,对于抛物线 ,则 ,其准线方程为 ,焦点 , 则 为抛物线上点到准线的距离, 为抛物线上点到焦点的距离, 4 / 16 学科网(北京)股份有限公司由抛物线的定义可知, ,故A正确; 对于B,过点 作准线 的垂线,交于点 , 由题意可知 ,则 , 又 , ,所以 , 所以 ,同理 , 又 , 所以 ,即 , 显然 为 的斜边,则 ,故B错误; 对于C,易知直线 的斜率不为 , 设直线 的方程为 , ,联立 ,得 , 易知 ,则 ,又 , , 所以 , 当且仅当 时取等号,故C正确; 对于D,在 与 中, , 所以 ,则 ,即 , 同理 ,又 , ,所以 , 则 ,故D正确.故选:ACD. 法二:对于A,对于抛物线 ,则 ,其准线方程为 ,焦点 , 则 为抛物线上点到准线的距离, 为抛物线上点到焦点的距离, 5 / 16 学科网(北京)股份有限公司由抛物线的定义可知, ,故A正确; 对于B,过点 作准线 的垂线,交于点 , 由题意可知 ,则 , 又 , ,所以 , 所以 ,同理 , 又 , 所以 ,即 , 显然 为 的斜边,则 ,故B错误; 对于C,当直线 的斜率不存在时, ; 当直线 的斜率存在时,设直线 方程为 , 联立 ,消去 ,得 , 易知 ,则 , 所以 ,综上, ,故C正确; 对于D,在 与 中, , 所以 ,则 ,即 ,同理 , 当直线 的斜率不存在时, , ; 所以 ,即 ; 当直线 的斜率存在时, , 6 / 16 学科网(北京)股份有限公司, 所以 , 则 ; 综上, ,故D正确.故选:ACD. 11.记 的内角 , , 的对边分别为 , , ,若 ,则( ) A. B. C. D. 【答案】BCD 【分析】对于A,由已知条件结合 分析判断,对于B,利用余弦定理和正弦定理结合已知条件 可得 ,然后利用正弦函数的性质分析判断,对于C,由选项B可知 ,则 ,从而可判断 的范围,对于D,由正弦定理结合 及二倍角公式得 , 再结合 可求出其范围进行判断. 【详解】对于A,因为 , ,所以 ,所以 ,所以A错误, 对于B,因为 ,所以由余弦定理得 , 所以由正弦定理得 ,所以 , 因为 ,所以 或 , 若 ,则 ,所以 ,此时 , 所以 ,则 ,此时 ,所以B正确, 对于C,由选项B可知 ,所以 ,所以 ,所以C正确, 对于D,由正弦定理得 , 因为 ,所以 ,所以 , 7 / 16 学科网(北京)股份有限公司所以 ,所以 ,所以 ,所以D正确.故选:BCD 第二部分(非选择题 共92分) 三、填空题:本题共3小题,每小题5分,共15分. 12.若一个等比数列的各项均为正数,且前4项和为4,前8项和为68,则该等比数列的公比为 . 【答案】 【分析】法一:利用等比数列的求和公式作商即可得解;法二:利用等比数列的通项公式与前 项和的定 义,得到关于 的方程,解之即可得解;法三:利用等比数列的前 项和性质得到关于 的方程,解之即 可得解. 【详解】法一:设该等比数列为 , 是其前 项和,则 , 设 的公比为 , 当 时, ,即 ,则 ,显然不成立,舍去; 当 时,则 , 两式相除得 ,即 , 则 ,所以 ,所以该等比数列公比为2.故答案为: . 法二:设该等比数列为 , 是其前 项和,则 , 设 的公比为 , 所以 , , 所以 ,则 ,所以 ,所以该等比数列公比为2.故答案为:2. 法三:设该等比数列为 , 是其前 项和,则 , 设 的公比为 , 因为 , 又 , 所以 ,所以 ,所以该等比数列公比为 .故答案为: . 13.若曲线 在点 处的切线方程为 ,则 . 8 / 16 学科网(北京)股份有限公司【答案】 【解析】根据切线方程为 可得 ,解方程组即可得到本题答案. 【详解】 , ,又 在 处的切线方程为 , ,即 ,得 , .故答案为: 14.在 维空间中 ,以单位长度为边长的“立方体”的顶点坐标可表示为 维坐标 ,其中 .定义:在 维空间中两点 与 的曼哈顿 距离为 .在 维“立方体”的顶点中任取两个不同的顶点,记随机变量 为所 取两点间的曼哈顿距离,则 . 【答案】 【分析】先确定样本点总数,再得到 的可能取值,求出概率 , 列出分布列,求出期望. 【详解】对于 维坐标 ,其中 .即 有两种选择 , 故共有 种选择,即 维“立方体”的顶点个数是 个顶点; 当 时,在坐标 与 中有 个坐标值不同,即有 个坐标值满足 , 剩下 个坐标值满足 ,则满足 的个数为 . 所以 . 故分布列为: 则 .故答案为: . 四、解答题:本题共5小题,共77分。解答应写出文字说明、证明过程或演算步骤. 15.(13分)华为手机作为全球手机销量第二位,一直深受消费者喜欢.据调查数据显示,2019年度华为 手机(含荣耀)在中国市场占有率接近 !小明为了考查购买新手机时选择华为是否与年龄有一定关系, 于是随机调查100个2019年购买新手机的人,得到如下不完整的列表.定义30岁以下为“年轻用户”,30 9 / 16 学科网(北京)股份有限公司岁以上为“非年轻用户”. 购买华为 购买其他 总计 年轻用户 28 非年轻用户 24 60 总计 附: . 0.100 0.050 0.010 0.001 2.706 3.841 6.635 10.828 (1)将列表填充完整,并判断是否有 的把握认为购买手机时选择华为与年龄有关? (2)若采用分层抽样的方法从购买华为手机用户中抽出6个人,再随机抽2人,求恰好抽到的两人都是非 年轻用户的概率. 【答案】(1)表格见解析,没有把握;(2) 【解析】(1)补全列联表,计算 ,即可得出结论; (2)利用分层抽样抽取6个购买华为手机的用户,易知其中有2个年轻用户,4个非年轻用户,不妨用 , 表示两个年轻用户,用 , , , 表示非年轻用户,利用列举法,结合古典概型的概率公式,即可得 出答案. 【详解】解:(1)易得 购买华为 购买其他 总计 年轻用户 12 28 40 非年轻用户 24 36 60 总计 36 64 100 由列表可得 故没有 的把握认为购买手机时选择华为与年龄有关系. (2)利用分层抽样抽取6个购买华为手机的用户,易知其中有2个年轻用户,4个非年轻用户,不妨用 , 表示两个年轻用户,用 , , , 表示非年轻用户, 现从中任选两人,则共有 , , , , , , , , , 10 / 16 学科网(北京)股份有限公司, , , , , ,15种可能, 其中满足要求的有6种,由古典概型可知 . 16.(15分)记数列 的前 项和为 . (1)设 ,若 ,求 的通项公式; (2)记 ,设 ,求 . 【答案】(1) ;(2) 【分析】(1)由 , 的关系即可求解, (2)通过求导确定通项公式,再由错位相减法、等比数列求和公式即可求解; 【详解】(1)当 时, ,整理得 ,当 时,有 . 数列 是以 为公比,以 为首项的等比数列, 所以 . (2)当 时, ,所以 , 所以 , 令 ,其前 项和为 , ∴ ① ∴ ② 得: . ∴ .令 ,其前 项和易知为: , 所以 17.(15分)如图,在四棱锥 中,底面 为直角梯形, , ,平面 底面 , 为 的中点, 是棱 上的点, , , . 11 / 16 学科网(北京)股份有限公司(1)求证:平面 平面 ; (2)若 为棱 的中点,求异面直线 与 所成角的余弦值; (3)若二面角 大小为 ,求 的长. 【答案】(1)证明见解析;(2) ;(3) . 【分析】(1)证明 与 垂直,则得线面垂直,然后可得面面垂直; (2)以 为 轴建立空间直角坐标系,用向量法求异面直线所成的角; (3)设 ,这样求得平面 和平面 的法向量,用向量法求二面角,从而求得 ,可得 的长. 【详解】(1)证明:∵ , , 为 的中点,∴四边形 为平行四边形,∴ ∵ ,∴ ,即 ∵平面 平面 ,平面 平面 , 平面 , ∴ 平面 ,∵ 平面 ,∴平面 平面 (2)∵ , 为 的中点,∴ ∵平面 平面 ,且平面 平面 , 平面 , ∴ 平面 ,如图,以 为原点建立空间直角坐标系, 则 , , , , ∵ 是 的中点,∴ , , 设异面直线 与 所成角为 , , 12 / 16 学科网(北京)股份有限公司∴异面直线 与 所成角的余弦值为 . (3)解:由(2)知平面 的法向量为 , 设 ,且 ,从而有 , 又 ,设平面 法向量为 , 由 及 , ,可取 . ∵二面角 为 ,∴ ,∴ ,∴ . 18.(17分)已知椭圆 的左,右焦点分别 为椭圆 上任意一点, . (1)求椭圆 的方程; (2)若 为圆 上任意一点,求 的最小值; (3)已知直线 与 轴交于点 ,且与椭圆 交于 两点, 为坐标平面内不在直线 上 的动点,若直线 斜率的倒数成等差数列,证明:动点 在定直线 上,并求直线 的方程. 【答案】(1) ;(2) ;(3)证明见解析, 13 / 16 学科网(北京)股份有限公司【分析】(1)利用椭圆的定义和焦距的性质求出基本量,得到椭圆方程即可. (2)利用圆的性质得到 ,再结合三角形两边之和大于第三边的性质进行放缩求解最值 即可. (3)联立方程组结合韦达定理得到 ,进而表示出 ,再结合给定条件进行化简,证明点在定直线上即可. 【详解】(1)设椭圆的半焦距为 ,因为 ,所以 , 由椭圆的定义 ,解得 , 得到 ,故 的方程为 . (2)因为 的右焦点 , 圆 的圆心 ,半径 , 显然椭圆 与圆 没有交点,因为点 在圆 上,所以 , 于是 , 当且仅当 分别是线段 与椭圆 ,圆 的交点时取等号,故 的最小值为 . (3)如图,设 , 因为直线 ,所以点 ,联立 消去 得 . 所以 ,因为 , 且直线 斜率的倒数成等差数列,所以 , 14 / 16 学科网(北京)股份有限公司所以 ,即 , 将 代入上述等式可得 , 若 ,则点 在直线 上,与已知矛盾; 故 , 整理可得 , 可得 ,即 , 即 对任意的 恒成立, 得到 ,解得 或 ,由于 的斜率不为0,得到 ,故 , 故点 在定直线 上. 19.(17分)已知函数 . (1)若 恒成立,求 的取值范围; (2)当 时,(i)求 的最小值;(ii)证明: . 【答案】(1) ;(2) ;证明见解析. 【分析】(1)利用分类讨论,再求导研究单调性,即可求出最小值 ,从而可求解 的取值范围; (2)(i)利用常规求导来判断函数的单调性,即可求得最小值; (ii)利用第(i)问的结论 ,从而把要证明的不等式转化为 ,再作差构造函数求导来 证明即可. 【详解】(1)因为函数 的定义域为 , 当 时, 恒成立, 当 时, ,所以此时 不恒成立, 当 时,求导得 , 15 / 16 学科网(北京)股份有限公司当 时, ,所以 在 上单调递减; 当 时, ,所以 在 上单调递增; 所以 , 即不等式 恒成立,等价于 , 综上, 的取值范围为 . (2)(i)当 时, ,则 , 当 时, ,所以 在 上单调递减; 当 时, ,所以 在 上单调递增;所以 , (ii)由 ,则要证明 ,只需要证明 ,构造 ,则 , 所以 在 上单调递增,即 ,所以有 , 即 成立. 16 / 16 学科网(北京)股份有限公司