当前位置:首页>文档>第八单元测试题_小学1-6年级全部试卷_数学_三年级_3-8-4、小学三年级数学下册_3-8-4-2、练习题、作业、试题、试卷_青岛版_单元测试卷

第八单元测试题_小学1-6年级全部试卷_数学_三年级_3-8-4、小学三年级数学下册_3-8-4-2、练习题、作业、试题、试卷_青岛版_单元测试卷

  • 2026-03-30 20:06:53 2026-02-20 23:31:47

文档预览

第八单元测试题_小学1-6年级全部试卷_数学_三年级_3-8-4、小学三年级数学下册_3-8-4-2、练习题、作业、试题、试卷_青岛版_单元测试卷
第八单元测试题_小学1-6年级全部试卷_数学_三年级_3-8-4、小学三年级数学下册_3-8-4-2、练习题、作业、试题、试卷_青岛版_单元测试卷
第八单元测试题_小学1-6年级全部试卷_数学_三年级_3-8-4、小学三年级数学下册_3-8-4-2、练习题、作业、试题、试卷_青岛版_单元测试卷
第八单元测试题_小学1-6年级全部试卷_数学_三年级_3-8-4、小学三年级数学下册_3-8-4-2、练习题、作业、试题、试卷_青岛版_单元测试卷
第八单元测试题_小学1-6年级全部试卷_数学_三年级_3-8-4、小学三年级数学下册_3-8-4-2、练习题、作业、试题、试卷_青岛版_单元测试卷

文档信息

文档格式
docx
文档大小
0.170 MB
文档页数
5 页
上传时间
2026-02-20 23:31:47

文档内容

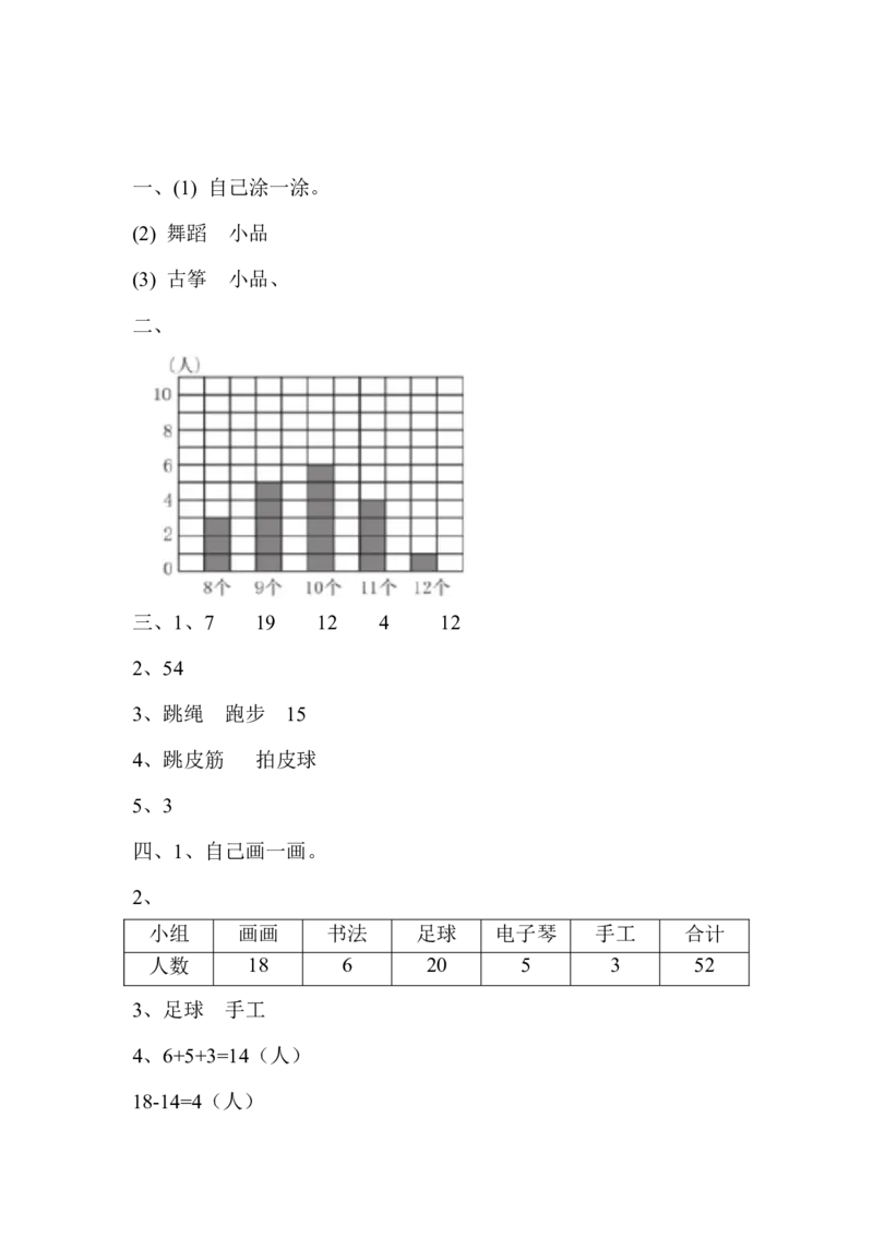
第八单元检测卷及答案 一、根据统计表解决问题。 三(2)班同学参加校园艺术节演出情况统计表 节目 唱歌 古筝 小品 舞蹈 相声 人数 10 6 2 15 12 (人) (1)根据统计表涂一涂。 (2) 参加( )演出的人最多;参加( )演出的人最少。 (3) 参加( )演出的人数是参加( )演出人数的3倍。 二、下面是三(1)班庆六一活动中“一分钟夹球”比赛情况统计表。 夹球个数 8 9 10 11 12 人数 3 5 6 4 1 请完成下面的统计图。三、三(1)班同学每人参加一项体育活动。根据下面的统计图回答问 题。 1.有( )名同学参加打乒乓球,有( )名同学参加跳绳,有( )名同学参 加跳皮筋,有( )名同学参加跑步,有( )名同学参加拍皮球。 2.三(1)班共有( )名同学。 3.参加( )的人数最多,参加( )的人数最少。他们相差( )人。 4.参加( )的人数和参加( )的人数一样多。 5.参加拍皮球的人数是参加跑步的人数的( )倍。 四、三年级课外兴趣小组人数情况用画“正”字的方法统计如下。 请根据统计结果完成统计图和统计表,并解决问题。1、完成三年级课外兴趣小组人数情况统计图。 2、完成三年级课外兴趣小组人数情况统计表。 小组 画画 书法 足球 电子琴 手工 合计 人数 3、三年级同学对( )感兴趣的人数最多,对( )感兴趣的人 数最少。 4、书法组、电子琴组、手工组的总人数比画画租的人数少多少人? 参考答案一、(1) 自己涂一涂。 (2) 舞蹈 小品 (3) 古筝 小品、 二、 三、1、7 19 12 4 12 2、54 3、跳绳 跑步 15 4、跳皮筋 拍皮球 5、3 四、1、自己画一画。 2、 小组 画画 书法 足球 电子琴 手工 合计 人数 18 6 20 5 3 52 3、足球 手工 4、6+5+3=14(人) 18-14=4(人)答:书法组、电子琴组、手工组的总人数比画画租的人数少4人。