文档内容
2011年数学(一)真题解析
一、选择题
(1) 【答案】(C).
[解】由/(2)+/(3)=0>/(^),竺厂⑷心)
得(3,0)为曲线的拐点,应选(C).
(2) 【答案】(C).
【解】 因为Sn + a2 +…+ a”无界,所以limS”不存在,
n-*°o
于是级数发散,即级数工0”工"在工=1处发散;
因为仏”}单调递减且lima” =0,所以由莱布尼茨审敛法得》(一l)"a”收敛,
n_*°° n = l
oo oo
即级数 在工=-1处收敛,从而级数的收敛半径为R=l,且收敛域为
n=\ n=1
[—191) 9故级数> a” (工一1)"的收敛域为一1 x — 1 < I:即[0,2),应选(C)・
zi =]
(3)【答案】(A).
【解】
3Z _f{jc )f\y)
f 3
dz dz
显然 =0,即(0,0)为函数z == /(jc )ln fCy)的驻点.
3jc (0,0) cJy (0,0)
32 z
「52(。),"总q2
=0, c = |4
A = =r(o),
2 (0,0) d y (0,0)
AC — B2 =//,2 (0)ln /(0),则(0,0) z = /(jt )ln f(y )的极小值点的一个充分条件为
/(0) > 1J〃(O) > 0,应选(A).
(4)【答案】(E).
【解】当0 VhV 丁时,由sin工 V cos x V cot jc 得 In sin 乂 < In cos 工 V In cot jc 9
4
从而 In sin jc djr 0, 2严 工〉0,
心工)= 显然 f2 Qx )分
z W 0, 0, •z W 0,
别为参数为1和2的指数分布的密度函数,九(工”2 (z)= |2e Z > 0 9
lo,
因为]/i (工)九(e )dr = 2〔 e~3r dr 2
m工1,所以力Cz)九(工)不是概率密度,(A)不对;
J —OO J 0
取川亠匚 工> 0, f2(^)= (2e, F2) JC $ 0 9
爲:则
•X £ 0, 10, •z V 0,
于是2九(工)厂(工)=『“ 工〉0 9
【0, •Z V 0 9
因为[2九(工)F](工)dz =4 *4-00 2
(e"2j —ef )山=三工1,所以2九(工)尸](工)不是概率
J —OO « 0
密度,(B)不对;
1 e~r , z > 0 9 2严, •z > 0 9 {1 _ e_2j j?〉0,
取 /[ (x )= 7%(工)= F2 (j?)=
【0, 乂 W 0 9 Io, h W 0, lo,
囂因为 *4-00 +°° 92
fi (x )F2 (j:)= fi Q )F2 (rr )dr (e-^ — e~3j )dz = — # 1,
0, o 33
所以f^x)F2(x)不是概率密度,(C)不对,应选(D).
(8)【答案】(E).
【解】 因为UV = XY,所以E(L7V) =E(XY).
又因为 X,Y 独立,所以 E(UV) =E(XY) =E(X)E(Y),应选(E).
二、填空题
(9)【答案】ln(l+V2).
T
【解】由山= 1 + djr = \/1 + tan2 jc dr = sec x dr 9= ln(l +短).
0
方法点评:本题考查变积分限函数求导、弧微分的公式、定积分的计算.
需要熟练掌握曲线的弧长计算公式:
(1) 若 L -y = Wb),则 ds = a/1 + f'~ (j? ) dr ,s =[丿1 + 广(rr ) ;
J a
(2) 若 jL:[ 卩 '(aW/W0),则 &= J C (t) + W (/) d/ ,s= [ J©' (/) + 中"(t) d/
\y — 0(i) J a
(3) 若 L :r = r (0) (a W 0 W 仔),则 ds = Jr,2 ((9) + r2 ((9) d。,s = ] J,* (0)十 r? (&)
(10)[答案】e~r sin .
【解】方法一 由 yf y = cos x 9 得
夕=([e=r cos x • J山 djr + C)e '山=(sin jc + C)= Ce_r + e_J sin jc ,
因为)(0)=0,所以 C =0,于是 y = e~r sin x .
方法二 y'+_y=0 的通解为 y =Ce =C e_r.
令原方程的通解为y =C(_z)eF,代入原方程得C'Q)eF =e-" cos工,
解得C(_z ) = sin z + C ,即原方程的通解为= (sin + C)e_J ,
由夕(0) =0得C =0,故原方程满足初始条件的特解为y =ePsin工.
(11) [答案】4.
3F ysin xy 32 F y (1 + x2 y2 )cos xy — 2a:v sin xy
【解】
狂=m^7,乔=$ (lUE ,
则共
=4.
djC x=0
y = 2
(12) 【答案】TV.
【解】 方法一 设L所在的截面为X,按右手法则Q的法向量指向上侧,
■S 的法向量为"=(一 1, — 1,1),方向余弦为 cos a = — 占,cos 0 = — 2,cosy =二
73 V3 V3
cos a 1
d
2
dz + 工 dy + ^-dz = aZ ds
2
xz
T
一 j/ + l)dS =—『揑(—x 一 j; + 1)djr dj/
D
\x = COS t 9
方法二 令 L Ay = sin t, (起点 i =0,终点 t = 2?r),则
[z = sin t + cos ty
> xzax + jc dj/ H— dz
L 2
■2n
cos t (sin t + cos t) (— sin £ )ck + cosLdt + —sin2Z (cos t 一 sin t)dt
2
o
1 . 2 、i
— sin Zcos t 一 s• in cos2 t i十 cos2 t----1sin. 3t j at
1 . 1.
—sin 2 Zcos t 一 sm• 才 cos 2 t 十i cos 9 t----sin t 3j A\ t1
*sinLcos t + cosL)ck =-
sinl2 t cos tdt + 2 cos21 dt
o 0
“ 1 兀
2 cosSdr = 4I2=4X — X — = tc.
J o 2 2
方法点评:本题考查三维空间对坐标的曲线积分的计算.
三维空间对坐标的曲线积分^Pdx +Qdy+Rdz常用的计算方法有:
方法一定积分法
pr =卩(/),
设 L =0(/),(起点 t =a,终点 t =/?),则
[z
J PcLz+Qdy +Rdz=] [P卩'(/)+Q0‘‘(/)+)]d/.
方法二 斯托克斯公式
cos a cos /
Pdx +Qdy-\-Rdz =『 3 a
dS,
djC aZ
P R
其中 cos a , cos B , cos 7 为曲面工的法向量的方向余弦.
(13)[答案】1.
/I a 1 、 (工\
【解】令A=a 3 1 ,x
y),则二次曲面表示为X\4X=4.
I1
h 1
因为X「AX= 4经过正交变换化为嶄+4喝=4,所以A的特征值为入i= 0,A2= 1,A3= 4,
于是r(A)==2.
I1
a 1 \ I1 1 /Il 1 \
而 A = 3 !- a 1 -a(0 a — 1 0 故 a=l・
1 J J
4 3 F 0 3 — a 1 — a
(14)【答案】z2 十//.
【解】因为(X,Y) 〜N (〃,〃 y2;0),所以 X 〜Ng,/),Y 〜N(〃,)
又因为q=0,所以X,Y相互独立,于是
E(XY2) =E(X) • E(W)=“{d(y)+ [E(y)]2} =^2 +^3.三、解答题
1 ln( I+j )—j"
(15)【解】方法一 lim ln( 1 + jc ) 厂=血口1 +山( 1+ 工)-工 ln(14-x)-x R —
•r—* 0 x T-*0 I |_ X
lim ln( 14-j~ )一丁 ln( 1+ ^2 』)一 -r lim 右- 1
工
lim 4? lim 1+ __1_ 1
方法二 由 ln(l+z)=H—? + o(z2) M———— = 1—壬+ o(_z),
z x Z
ln(l + jr )
于是lim lim 1----+o(w)
•rf 0 x x-*0 |_ 2
(16)【解】 方法一 由题意得g'(l)=O,
=yf \ + yf'i • g'(z),
Jn2
f -
= f'l + +f';2 • g(H)] + f'2 • g'Q) + J/g'Cjr )[x/21 + ff22 • )],
dx dy
g2
将 X = l,g(l) = 1 ,g'(l) = 0 代入,得 ~=/] (1,1) + f\\ (1,1) + f"\2 (1,1).
方法二 由题意得g'(l)=O,Tj—=〃(+ yfr2 • g'(_z ),将工=1代入得
dx
dz
H =y/;(y,y)‘
带n
=兀(1,1)+岸](1,1)+兀2(1,1)・
3x Oy
(1,1) y= 1
(17)【解】 令f {x ) = k arctan x —八显然/ (z)在(一00 9 + °°)内为奇函数9且/(0) = 0 ,
现研究/(工)在(0, 4-oo)内零点个数.
叭
厂 Cz)== — 1
7 1+d I+— h 2?
当k £1时,因为/所以y(H)在(0,+°°)内单调减少,从而当工6 (0, +oo)
时,/(工)< /(0) = 0,即 /"(z)在(0,+°°)内无零点,
故方程怡arctan x — x = 0在(一+ °°)内只有唯一的实根工=0;
当怡> 1时,由f'O= 0得z = Vk — 1.
当工 & (0,•/£=!)时,于'(工)>0;当工 e(W=T,+x )时则 二I
为/(工)在(0,+*)内的最大值点,最大值M=f(^-T) > f(0) =0,
因为lim /•&) = —*,所以/'(工)在(0,+*)内有且仅有一个零点,从而当怡>1时,方
+°°
程b arctan x -x =Q有且仅有三个实根,其中一个根位于内,一个根为工=0,
一个根位于(0, +*)内.(18)[证明】(I)方法一 单调性
令于(工)=ln( 1 + ) — —, /(0) —0,
1十
1 ]
> 0(工 > 0),
1 +工 (1 + H ¥
1f(0)=0, , 工
由{ 得 /(rr) >0(j7 >0),即当 h>0 时,-~~!-- < ln( 1 + z );
[/'(工)> 0(工 > 0), 1+工
令 g (乂)=工一ln(l + 工),g(0)=0, g'Q)=l— ~—>0(工〉0),
1十z
(g (0) = 0, r
由 . 得 £(乂)〉0(工>0),即当工〉0 时,ln(l+«z)VH9
\g (jc )〉0(乂 > 0) 9
于是当 h〉0 时 9 -―.- r -- -V ln( 1 + ) Vi 取工=一1 9 则有——I V lnl 1 / H----- 1 - ) \ V — 1 .
1 十 h n 十 1 \ Ti 丿 n
方法二 中值定理
令 /(r) =ln(l +/)&〉0), /(0) =0, f\t)
由拉格朗日中值定理,存在£ 6(0,丄),使得于(丄)一于(0)=匚空,即
TI
\ 72 / ' 77 /
ln(1 + 7) ___ i____
n(l +f)
因为一丄亍V 1 EE i v I,所以一Hr 0 9
所以{- }单调减少且有下界,故{- }收敛.
方法点评:在本题基础上需要掌握不等式证明中使用的放缩法:
【例】 证明:ln( 1 + ?? ) W 1 ~i—-— -----W 1 + In n.
2 Tl
…r i 1 r2 1 c2 1 r2 i
【证明】 当x G [1,2]时9由—,得 —dx —djc,即1 $ —dx.
1 x J1 1 J1 X J1 x
1 1 f3 1 「3 1 1 f3 1
当H W [2,3]时,由得斗归A 土比r,即苛羽土dr.
Z
L X J 2 J 2 X L J 2 X同理+‘4 —1 dr 1 *+i 1 1 1 *+i i
—dr,相加得]+百+・・•---$ —dz = ln(l ~i~n)
3 X n n x L n J1 3C
又当x E [1,2]时,由士1 W丄得| ‘2 -1^-dr ,2 上1 d,r,即心三 1€| 』 W1■ 血. ;
2 1 2 1 z 2 J 1 x
2 ,3 1 一 3 1 , » 1 ,3 1 .
当无€ [2,3]时今由 9得 —dr —dr,艮卩可W —山
x 2 3 2 X 3 2 X
11 「T 1 1 . 1
同理 ~7~W ―dr,…,一W —dr 9相加得古 H—z— ----冬| —dr = In X,于是
44 二J 3 x n n-] x X Z 3 n J i x
1 . . 1 1
W 1 + In 9 故 ln( 1 + W 1 H—-— ・• -----W 1 + In n.
1 -|—~2-—j—
3
- —
1
• • •----
n
----
n
I 1 CI 1
(19)[解】1 = 山 yfxy Cx 9歹)迥= j o^dz jydX Cz ,y),
0 J 0 0
由[(工,y)= yfx(工,夕 f'xkx ,j/)dj/= fx (j: ,1) — f _/lQ,y)dy,
J 0 0 J 00
f'x •1 fl
得/ = JCf 工(J7 9l)dz 一 吐[ (H,夕心= jc ,1) 一 j:dr I f x (jc ?
0 」 0 J 0 0 0
由 ,1) = 0 得
[ [ X Q | 1
I = — {x ,y}^y =— xf'x(JC ,y)dz ,
J 00 Jo 0
•1 fl '1
xf'x (h ,y)cLz = a-d/Cjr ,夕)=jc/(jc ,y) Io — J f (工,_y)clz = 一 | f {x ,y)dz ,
J 0 0
由 7"(1,夕)=0 得
J
|
0
=f‘工(工,y)clz = —
J
I
(
o/(JC ,夕)dr ,
fl fl
故/ = f(jc ^y)(h:(ly = a.
0
.D
方法点评:本题主要考查二重积分转化为累次积分及改变累次积分的积分次序,抽象函
数的定积分的分部积分法.
1 0 1
(20)【解】(I )方法一 a} ,a2, 为3个3维向量,因为| a} ,a2 ,a3 | = 0 1 3 =1 H 0,
1 1 5
所以a | ,a2 ,a3线性无关.因为01,02,03 —定可由a! ,a2 ,a3线性表示,而5 ,a2 ,a3不
能由0i,02,03线性表示,所以01 ,02,03 的秩小于«i ,a2 .a3的秩,
1 1 3 1 1 3
从而 1 01 9 02 903 1 = 1 2 4 = 0 1 1 =a — 5=0,故 a = 5.
1 3 a 0 2 a — 3
方法二 01,02,03,a, G =1,2,3)为4个3维向量,则0i,比,庆,a( = 1,2,3) 一定线
性相关.
若“1,“2,03线性无关,而01,02,03,a,(=1,2,3)线性相关,则a( =1,2,3)可由向量
组0] ,02,03线性表示,矛盾,于是| 01,02,03 1 = 0.
1 1 3
由 1 2 4 =a — 5=0,得 a = 5.
I 01,02 '03 I =
1 3 a(
II
)将矩阵
(a1,,a2 ,a3,0
】,P2 ,庆)进行初等行变换得
I1 0 1 1 1 3\ /】 0 0 2 1 5
(a 】 9 (X 2 9 tt 3 901 9 fl 2 903)= 1 0 1 3 1 2 4 - 1 0 4 2 10
5/ 'o
h 1 5 1 3 0 1 -1 0 -2
[01 = 2a i + 4a 2 — a 3,
于是 =a 1 + 2a2 + 0a3,
〔0 -― 5 a + 10 a 2 a
3 i 2 3.
方法点评:本题使用向量组的如下性质:
(1) 若一个向量组的向量个数大于向量的维数,则该向量组一定线性相关;
(2) 若一个向量组的个数与维数相等,则该向量组线性相关的充分必要条件是该向量组
构成胡行列式为零;
(3) 若向量组A可由向量组B线性表示,但向量组於不可由向量组A线性表示,则向量组
A的秩小于向量组B的秩.
(21)【解】(I)由厂(A)=2<3,得 0,于是入 = 0为 的一个特征值.
|A| = 1 A
1
又由已知条件,得 A 0 ,根据特征值与特征向量的定义得
L1
入 为 的特征值,其对应的特征向量为§ 0 j ;
2 = — 1 A 2 = [
入 为 的特征值,其对应的特征向量为
3 = 1 A §3 =
令§1 = ”2 为入1 =0对应的一个特征向量,由实对称矩阵不同特征值对应的特征向量正
•Z
3
〔豎亍即 X ! 一 X 3 ::基础解系为学即◎
交得 为入1 = 0对应的一个
1 § =09 X ! + S
3
特征向量.故 的特征值为入 心=—1,入 =1,其对应的所有特征向量为C1S,
A 1 =0, 3
C2^,C3^3(C1,C2,C3为不为零的任意常数).
1° 0 0\
(n)方法一 令 P=(S,§2,S) P AP = 0 -i o ,得
'0 o r
0 1
0 0
'o
0 0
方法二 由 A(gi ,§2,S)=(A§1 ,A§2,A§3)=(0, — §2,§3),得/° -1 /° 1 -1 /° 0 1\
A=(0,—g2,§3)(L,§2,§3)T= 0 0 0 0 0 = 0 0
'o J 'o J 4 0/
1 —] 0
方法点评:本题注重考查特征值与特征向量的定义,很多考生忽视了定义而不知道本题
所给已知条件如何解读.事实上求特征值常用方法有:
(1) 公式法,即由|入E —A | = 0求出特征值;
(2) 定义法,即令AX=AX,根据矩阵的关系式,求出矩阵A的特征值;
(3) 关联矩阵法,即找矩阵使得P AP=B,即A〜B ,从而丨AE-A |=| AE-B | ,于
是求出A的特征值.
求特征向量常用方法有:
(1) 设如为A的特征值,则属于入。的特征向量为(A0E-A)X=0的非零解;.
(2) 定义法,满足AX =A0X的非零X即为;I。对应的特征向量;
(3) 利用矩阵关系求特征向量,如A xa =Aoa,则a为A的属于特征值吕-的特征向量.
入
0
(22)【解】(I )由 P{X' =丫2}=],得 p{X?工 丫2} =0,
于是 P{X = 0,Y = — l}=P{X=0,Y = l}=P{X=l,Y = 0}=0,
故(X,Y)的联合分布律为
y
X
—1 0 1
1
0 0 0
T
1 1
1 0
T T
(n)z = xY的可能取值为一且
p{z = -i}=p{x = i,y = -i}=j,
P{Z =0} =P{X =Q,Y = -1} + P{X=0,Y = 0} +
P{X = 0,Y = l} +P{X =l,Y = 0}
1
/- 1 0 1
J3 {Z = 1} = 1 — P {Z = — 1} 一 P {Z =0} = *,贝U Z 的分布律为 Z〜(111
' T T §
2
(in )由 E(X) = y ,E(Y) = 0,E(XY) = E(Z) = 0,
得 Cov(X,Y) = E(XY) — E(X)E(Y) = 0,于是 =0.
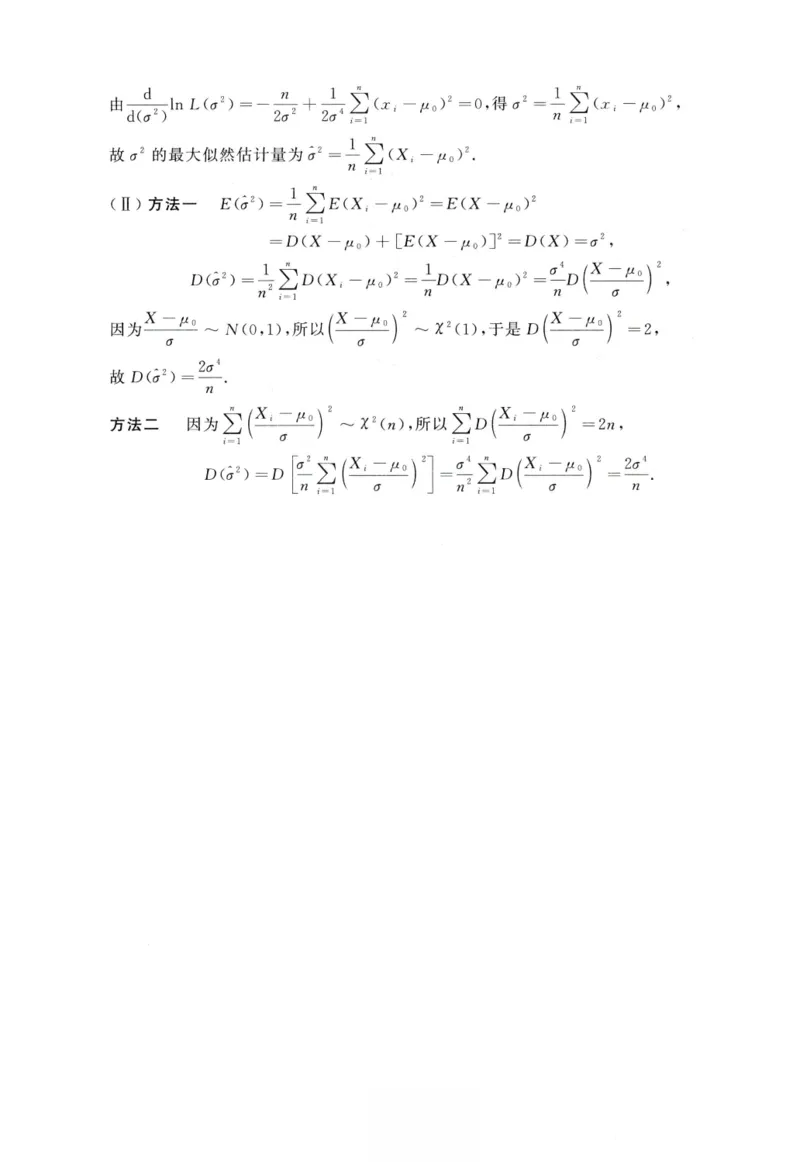
(23)【解】(I )似然函数为 L 2) =y(z 1 )/(0 2)…/(①”)=(2兀a?) 2 e a !=1
取对数得 In L (