当前位置:首页>文档>004.2025考研数学基础班(高等数学4)(周洋鑫)_已解密_04.2026考研数学周洋鑫数学笑过_00.随课资料

004.2025考研数学基础班(高等数学4)(周洋鑫)_已解密_04.2026考研数学周洋鑫数学笑过_00.随课资料

  • 2026-03-29 09:45:40 2026-02-24 22:30:40

文档预览

004.2025考研数学基础班(高等数学4)(周洋鑫)_已解密_04.2026考研数学周洋鑫数学笑过_00.随课资料
004.2025考研数学基础班(高等数学4)(周洋鑫)_已解密_04.2026考研数学周洋鑫数学笑过_00.随课资料
004.2025考研数学基础班(高等数学4)(周洋鑫)_已解密_04.2026考研数学周洋鑫数学笑过_00.随课资料
004.2025考研数学基础班(高等数学4)(周洋鑫)_已解密_04.2026考研数学周洋鑫数学笑过_00.随课资料
004.2025考研数学基础班(高等数学4)(周洋鑫)_已解密_04.2026考研数学周洋鑫数学笑过_00.随课资料
004.2025考研数学基础班(高等数学4)(周洋鑫)_已解密_04.2026考研数学周洋鑫数学笑过_00.随课资料

文档信息

文档格式
pdf
文档大小
1.793 MB
文档页数
6 页
上传时间
2026-02-24 22:30:40

文档内容

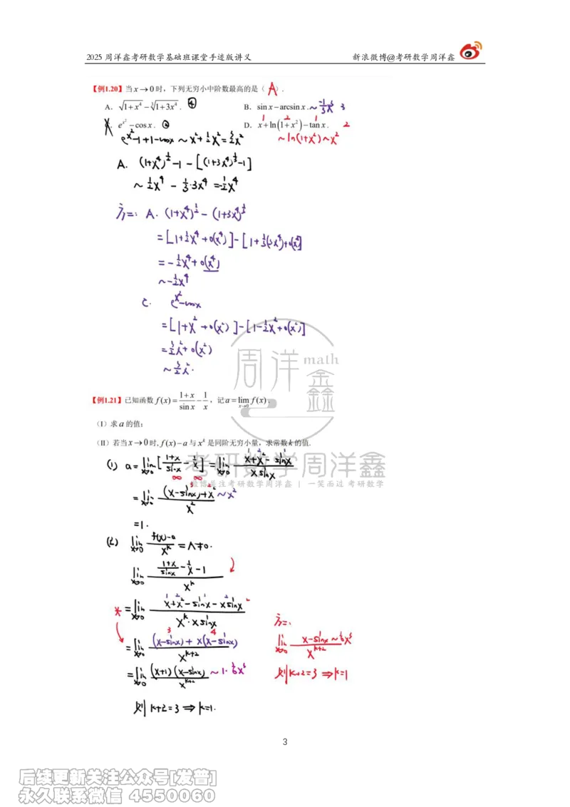
2025周洋鑫考研数学基础班课堂手迹版讲义 新浪微博@考研数学周洋鑫 2025 考研数学基础班课堂手迹版讲义 新浪微博:考研数学周洋鑫 高等数学基础班(4) 12025周洋鑫考研数学基础班课堂手迹版讲义 新浪微博@考研数学周洋鑫 22025周洋鑫考研数学基础班课堂手迹版讲义 新浪微博@考研数学周洋鑫 32025周洋鑫考研数学基础班课堂手迹版讲义 新浪微博@考研数学周洋鑫 42025周洋鑫考研数学基础班课堂手迹版讲义 新浪微博@考研数学周洋鑫 52025周洋鑫考研数学基础班课堂手迹版讲义 新浪微博@考研数学周洋鑫 6