当前位置:首页>文档>114.2026周洋鑫考研数学基础班(线代12)_04.2026考研数学周洋鑫数学笑过_00.随课资料

114.2026周洋鑫考研数学基础班(线代12)_04.2026考研数学周洋鑫数学笑过_00.随课资料

  • 2026-04-09 11:37:40 2026-02-24 23:30:21

文档预览

114.2026周洋鑫考研数学基础班(线代12)_04.2026考研数学周洋鑫数学笑过_00.随课资料
114.2026周洋鑫考研数学基础班(线代12)_04.2026考研数学周洋鑫数学笑过_00.随课资料
114.2026周洋鑫考研数学基础班(线代12)_04.2026考研数学周洋鑫数学笑过_00.随课资料
114.2026周洋鑫考研数学基础班(线代12)_04.2026考研数学周洋鑫数学笑过_00.随课资料
114.2026周洋鑫考研数学基础班(线代12)_04.2026考研数学周洋鑫数学笑过_00.随课资料
114.2026周洋鑫考研数学基础班(线代12)_04.2026考研数学周洋鑫数学笑过_00.随课资料
114.2026周洋鑫考研数学基础班(线代12)_04.2026考研数学周洋鑫数学笑过_00.随课资料

文档信息

文档格式
pdf
文档大小
2.296 MB
文档页数
7 页
上传时间
2026-02-24 23:30:21

文档内容

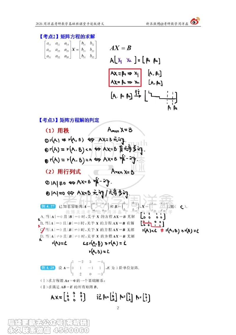
2026周洋鑫考研数学基础班课堂手迹版讲义 新浪微博@考研数学周洋鑫 2026 考研数学基础班课堂手迹版讲义 新浪微博:考研数学周洋鑫 线性代数基础班(12) 12026周洋鑫考研数学基础班课堂手迹版讲义 新浪微博@考研数学周洋鑫 22026周洋鑫考研数学基础班课堂手迹版讲义 新浪微博@考研数学周洋鑫 32026周洋鑫考研数学基础班课堂手迹版讲义 新浪微博@考研数学周洋鑫 42026周洋鑫考研数学基础班课堂手迹版讲义 新浪微博@考研数学周洋鑫 52026周洋鑫考研数学基础班课堂手迹版讲义 新浪微博@考研数学周洋鑫 62026周洋鑫考研数学基础班课堂手迹版讲义 新浪微博@考研数学周洋鑫 7