当前位置:首页>文档>2025年中考地理一轮复习专题突破专题二学方法·区域认知体系建构特征与差异(含答案)_02中考总复习(2026版更新中)_09-地理-中考总复习_2025中考地理复习资料

2025年中考地理一轮复习专题突破专题二学方法·区域认知体系建构特征与差异(含答案)_02中考总复习(2026版更新中)_09-地理-中考总复习_2025中考地理复习资料

  • 2026-03-01 06:20:14 2026-03-01 05:58:24

文档预览

2025年中考地理一轮复习专题突破专题二学方法·区域认知体系建构特征与差异(含答案)_02中考总复习(2026版更新中)_09-地理-中考总复习_2025中考地理复习资料
2025年中考地理一轮复习专题突破专题二学方法·区域认知体系建构特征与差异(含答案)_02中考总复习(2026版更新中)_09-地理-中考总复习_2025中考地理复习资料
2025年中考地理一轮复习专题突破专题二学方法·区域认知体系建构特征与差异(含答案)_02中考总复习(2026版更新中)_09-地理-中考总复习_2025中考地理复习资料
2025年中考地理一轮复习专题突破专题二学方法·区域认知体系建构特征与差异(含答案)_02中考总复习(2026版更新中)_09-地理-中考总复习_2025中考地理复习资料
2025年中考地理一轮复习专题突破专题二学方法·区域认知体系建构特征与差异(含答案)_02中考总复习(2026版更新中)_09-地理-中考总复习_2025中考地理复习资料
2025年中考地理一轮复习专题突破专题二学方法·区域认知体系建构特征与差异(含答案)_02中考总复习(2026版更新中)_09-地理-中考总复习_2025中考地理复习资料
2025年中考地理一轮复习专题突破专题二学方法·区域认知体系建构特征与差异(含答案)_02中考总复习(2026版更新中)_09-地理-中考总复习_2025中考地理复习资料
2025年中考地理一轮复习专题突破专题二学方法·区域认知体系建构特征与差异(含答案)_02中考总复习(2026版更新中)_09-地理-中考总复习_2025中考地理复习资料
2025年中考地理一轮复习专题突破专题二学方法·区域认知体系建构特征与差异(含答案)_02中考总复习(2026版更新中)_09-地理-中考总复习_2025中考地理复习资料
2025年中考地理一轮复习专题突破专题二学方法·区域认知体系建构特征与差异(含答案)_02中考总复习(2026版更新中)_09-地理-中考总复习_2025中考地理复习资料
2025年中考地理一轮复习专题突破专题二学方法·区域认知体系建构特征与差异(含答案)_02中考总复习(2026版更新中)_09-地理-中考总复习_2025中考地理复习资料
2025年中考地理一轮复习专题突破专题二学方法·区域认知体系建构特征与差异(含答案)_02中考总复习(2026版更新中)_09-地理-中考总复习_2025中考地理复习资料
2025年中考地理一轮复习专题突破专题二学方法·区域认知体系建构特征与差异(含答案)_02中考总复习(2026版更新中)_09-地理-中考总复习_2025中考地理复习资料
2025年中考地理一轮复习专题突破专题二学方法·区域认知体系建构特征与差异(含答案)_02中考总复习(2026版更新中)_09-地理-中考总复习_2025中考地理复习资料
2025年中考地理一轮复习专题突破专题二学方法·区域认知体系建构特征与差异(含答案)_02中考总复习(2026版更新中)_09-地理-中考总复习_2025中考地理复习资料
2025年中考地理一轮复习专题突破专题二学方法·区域认知体系建构特征与差异(含答案)_02中考总复习(2026版更新中)_09-地理-中考总复习_2025中考地理复习资料
2025年中考地理一轮复习专题突破专题二学方法·区域认知体系建构特征与差异(含答案)_02中考总复习(2026版更新中)_09-地理-中考总复习_2025中考地理复习资料
2025年中考地理一轮复习专题突破专题二学方法·区域认知体系建构特征与差异(含答案)_02中考总复习(2026版更新中)_09-地理-中考总复习_2025中考地理复习资料
2025年中考地理一轮复习专题突破专题二学方法·区域认知体系建构特征与差异(含答案)_02中考总复习(2026版更新中)_09-地理-中考总复习_2025中考地理复习资料
2025年中考地理一轮复习专题突破专题二学方法·区域认知体系建构特征与差异(含答案)_02中考总复习(2026版更新中)_09-地理-中考总复习_2025中考地理复习资料
2025年中考地理一轮复习专题突破专题二学方法·区域认知体系建构特征与差异(含答案)_02中考总复习(2026版更新中)_09-地理-中考总复习_2025中考地理复习资料
2025年中考地理一轮复习专题突破专题二学方法·区域认知体系建构特征与差异(含答案)_02中考总复习(2026版更新中)_09-地理-中考总复习_2025中考地理复习资料
2025年中考地理一轮复习专题突破专题二学方法·区域认知体系建构特征与差异(含答案)_02中考总复习(2026版更新中)_09-地理-中考总复习_2025中考地理复习资料
2025年中考地理一轮复习专题突破专题二学方法·区域认知体系建构特征与差异(含答案)_02中考总复习(2026版更新中)_09-地理-中考总复习_2025中考地理复习资料
2025年中考地理一轮复习专题突破专题二学方法·区域认知体系建构特征与差异(含答案)_02中考总复习(2026版更新中)_09-地理-中考总复习_2025中考地理复习资料
2025年中考地理一轮复习专题突破专题二学方法·区域认知体系建构特征与差异(含答案)_02中考总复习(2026版更新中)_09-地理-中考总复习_2025中考地理复习资料
2025年中考地理一轮复习专题突破专题二学方法·区域认知体系建构特征与差异(含答案)_02中考总复习(2026版更新中)_09-地理-中考总复习_2025中考地理复习资料

文档信息

文档格式
docx
文档大小
1.927 MB
文档页数
27 页
上传时间
2026-03-01 05:58:24

文档内容

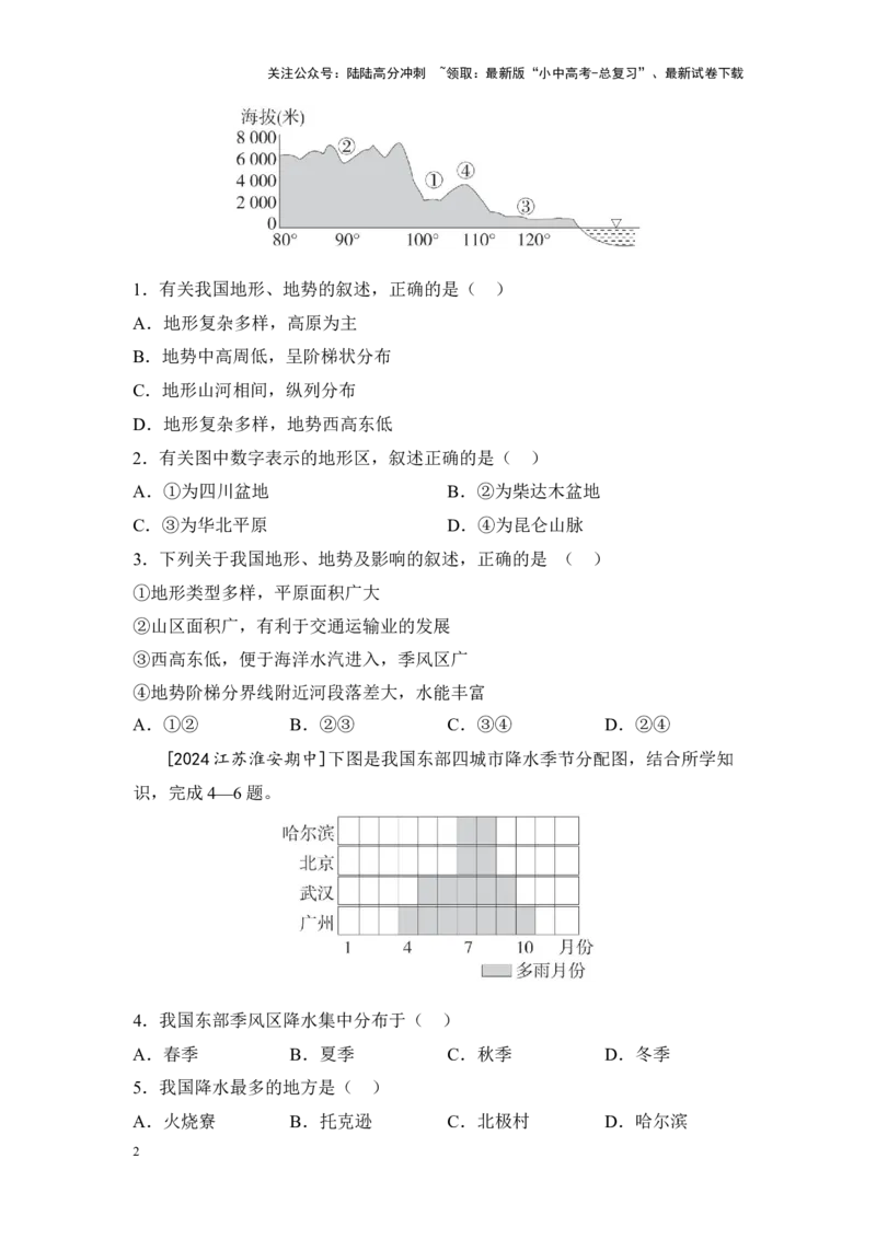
关注公众号:陆陆高分冲刺 ~领取:最新版“小中高考-总复习”、最新试卷下载 2025 年中考地理一轮复习 专题突破 专题二 学方法·区域认知体系建构 特征与差异 维度 1 认识区域自然环境 1.区域自然要素分析思路 特征 分析思路 地形主要从地形类型、地形区的分布以及地势特征三个方面进行描述和分析,地形对气 特征候、水文、植被等自然环境要素有重要影响 气候气候是区域自然环境的核心要素之一,包括气温、降水、光照等要素。不同地区的气 特征候特征差异显著,如热带气候、温带气候、寒带气候等。这些气候特征直接影响了植 被类型、动物分布以及人类活动 河湖主要包括河流、湖泊等水资源的分布和变化情况。河湖条件对农业、工业以及人类生 特征活有重要影响。例如,河湖较多的地区可能农业较为发达;而河湖较少的地区则可能 面临水资源短缺的挑战 植被植被是自然环境的重要组成部分,反映了该地区的生态系统和生物多样性。不同气候 特征条件下的植被类型差异很大,如热带雨林、温带落叶林、草原、荒漠等。这些植被类 型对生态系统的稳定性和功能有重要影响 土壤土壤是植物生长的基础,也是自然环境的重要组成部分。土壤特征受到气候、地形、 特征植被等多种因素的影响。例如,湿润地区的土壤可能较为肥沃;而干旱地区的土壤则 可能贫瘠 2.区域自然要素之间存在相互作用和相互影响 典例精练 聚焦怎么考 [2024江苏宿迁期末]读中国沿32°N纬线地形剖面图,完成1—3题。 1关注公众号:陆陆高分冲刺 ~领取:最新版“小中高考-总复习”、最新试卷下载 1.有关我国地形、地势的叙述,正确的是( ) A.地形复杂多样,高原为主 B.地势中高周低,呈阶梯状分布 C.地形山河相间,纵列分布 D.地形复杂多样,地势西高东低 2.有关图中数字表示的地形区,叙述正确的是( ) A.①为四川盆地 B.②为柴达木盆地 C.③为华北平原 D.④为昆仑山脉 3.下列关于我国地形、地势及影响的叙述,正确的是 ( ) ①地形类型多样,平原面积广大 ②山区面积广,有利于交通运输业的发展 ③西高东低,便于海洋水汽进入,季风区广 ④地势阶梯分界线附近河段落差大,水能丰富 A.①② B.②③ C.③④ D.②④ [2024江苏淮安期中]下图是我国东部四城市降水季节分配图,结合所学知 识,完成4—6题。 4.我国东部季风区降水集中分布于( ) A.春季 B.夏季 C.秋季 D.冬季 5.我国降水最多的地方是( ) A.火烧寮 B.托克逊 C.北极村 D.哈尔滨 2关注公众号:陆陆高分冲刺 ~领取:最新版“小中高考-总复习”、最新试卷下载 6.我国自然资源总量丰富,但人均不足。可以用“开源”与“节流”两种方式 解决,以下选项中属于“开源”的是( ) A.培养节约资源的意识 B.加强资源的回收和循环利用 C.改进技术,提高资源利用率 D.开发太阳能、风能等新能源 [2024山西晋中期中]雅万高铁是一条连接印度尼西亚雅加达和万隆的高速 铁路,于2023年10月正式开通运营。读印度尼西亚简图及雅万高铁示意图, 完成7—8题。 7.从当地纬度可知,沿着雅万高铁可能看到( ) A.麦浪滚滚 B.草场广布 C.橡胶林成片 D.牦牛成群 8.修建该铁路要重点克服的困难是( ) A.高寒缺氧 B.冻土广布 C.沙丘流动 D.地震频繁 9.[2024山东青岛期中节选]中国与东南亚山水相连,人文相通。某地理兴趣 小组运用资料探究中南半岛的河流与其他地理要素的关系。阅读图文材料,完 成下列问题。 3关注公众号:陆陆高分冲刺 ~领取:最新版“小中高考-总复习”、最新试卷下载 【河流概况】 (1) 一组的同学对湄公河做了如下描述,结合地图,不正确的是( ) A.发源于青藏高原 B.流经多个国家 C.在我国境内叫澜沧江 D.注入泰国湾 【河流和地形、气候的关系】 (2) 地形地势决定河流流向。读图可知中南半岛的地形特点为 ______________________,中南半岛河流的整体流向大致是__________。 (3) 河流流量的大小跟气候有一定关系。据气候资料图推测湄公河在东南亚 __(有/无)结冰期,湄公河汛期的大致时间为____月。 (4) 从地形的角度分析,二组的同学认为湄公河在柬埔寨境内适合开展航 运,你认为这种判断是否正确?请说明理由(至少一条)。 维度 2 认识区域人文环境 特征 分析思路 人 人口规某些地区可能因地理条件、历史原因等导致人口规模庞大或密集,如城市地 口 模与密区;而其他地区则可能因资源匮乏、环境恶劣等因素导致人口稀少 特 度 征 人口结年龄结构、性别比例、民族构成等是分析人口特征的重要指标 构 文 文化多不同地区的文化因历史、地理等因素而呈现出多样性 化 样性 特 征 宗教信宗教信仰是地区文化的重要组成部分 仰 经 农业 (1)农业资源基础:区域内地形特征、气候特征以及土壤特征 济 (2)农业生产结构:根据当地资源条件和市场需求,农业生产结构可能侧重 特 于粮食作物、经济作物或畜牧业等 征 (3)农业现代化水平:现代农业技术的应用,可以提高农业生产效率和产量 工业 (1)工业发展条件:自然条件包括地形、气候、河流、自然资源等,人文条 件包括科技、劳动力、政策、资金等 (2)工业分布状况:影响不同的工业类型分布的主要因素不同,如重工业对 资源依赖强,多靠近矿产资源或沿交通线分布 (3)高新技术产业:相比传统工业对人才、技术、环境等的需求更高,对矿 产资源等的需求更低 交通运(1)不同的交通运输方式具有不同的特点,根据所要运输物体的特点一一匹 输业 配,选择合适的交通运输方式。一般可以从物体类型、重量、时效性要求、是 4关注公众号:陆陆高分冲刺 ~领取:最新版“小中高考-总复习”、最新试卷下载 否能够到达等方面展开分析 (2)客运和货运的要求不同,客运更强调时效性,货运更注重运量因素的考 量 (3)交通线路的开通能促进区域发展,交通便利的区域比交通不便的区域具 有更优越的发展条件,一般经济水平也更高 典例精练 聚焦怎么考 [2024山东济宁一模]叙利亚阿勒颇地区的传统民居“蜂巢屋”是利用茅草 和泥土筑造而成的,具有圆锥形屋顶,石质基底,墙体厚达80厘米,房屋除一 道拱形大门外,没有一扇窗户,是一种古老而优越的生态民居。据图文资料完 成1—2题。 1.“蜂巢屋”墙体厚达80厘米,其主要作用可能是( ) A.隔热保温 B.排泄雨水 C.防御台风 D.通风散热 2.据图判断当地人们信仰的宗教是( ) A.佛教 B.基督教 C.伊斯兰教 D.犹太教 [2024四川成都模拟]2024年央视春晚新疆喀什分会场的表演得到了全国观 众的赞扬。喀什是丝绸之路上一座拥有千年历史的古城,游客在这里不仅能参 观特色民居,还能品尝烤羊肉、酸奶疙瘩等特色美食,欣赏特色的民族歌舞。 图示意喀什古城民居。据此完成3—5题。 3.喀什是我国日落最晚的城市之一,是因为( ) 5关注公众号:陆陆高分冲刺 ~领取:最新版“小中高考-总复习”、最新试卷下载 A.地球自西向东公转 B.地球自西向东自转 C.地球自东向西公转 D.地球自东向西自转 4.喀什古城民居的屋顶平坦,是因为当地( ) A.人口稠密,用地紧张 B.全年高温,光照充足 C.气候干旱,降水稀少 D.降水均匀,不易旱涝 5.喀什特色美食反映了当地的主要农业类型是( ) A.林业 B.畜牧业 C.种植业 D.渔业 [2024山东济南一模]下图为法国简图,读图,完成6—7题。 6.法国地中海沿岸地区葡萄种植最有利的自然条件是( ) A.临近海洋,灌溉水源充足 B.夏季气温高,降水少,光照充足 C.全年温和多雨 D.高原为主的地形,土壤肥沃 7.法国畜牧业发达,关于其因果关系排列正确的是 ( ) ①气候温凉、潮湿、多雨多雾、日照少 ②多汁牧草生长旺盛、草场广布 ③畜牧业发达 ④地处中纬度大陆西岸 A.②①③④ B.②④①③ C.④①②③ D.③②④① 8.[2024河北唐山期中]阅读图文材料,完成下列问题。 某学校地理兴趣小组以芬兰为例,探究影响铁路分布与发展的因素。阅读 芬兰组图,和同学们一起完成探究问题。 6关注公众号:陆陆高分冲刺 ~领取:最新版“小中高考-总复习”、最新试卷下载 芬兰铁路分布示意图 芬兰人口、城市分布示意图 (1) 芬兰铁路主要分布在____(方位)。 (2) 人口主要分布在____(方位),试从气候角度说出影响人口分布的原 因:______________________________________________________。 (3) 据图,试说出芬兰燕麦种植北界东段向南偏移可能的原因。 (4) 由图可知,芬兰的森林覆盖率高,说出森林工业大多分布在沿海的有利 条件。 维度 3 认识区域差异及成因 区域间差 自然资源 不同的区域拥有不同的自然资源,如土地资源、水资源、矿产资源 异的表现 差异 等。这些资源的分布不均导致了区域间在资源禀赋上的差异 经济发展 区域间经济发展水平存在显著差异,表现为产业结构、人均收入、经 差异 济增长速度等方面的不同 社会文化 区域间社会文化差异表现在语言、风俗习惯、宗教信仰、教育水平等 差异 方面 区域间差 自然资源 自然资源丰富的地区通常具有更多的发展机会和优势,而自然资源匮 异的原因 禀赋差异 乏的地区则可能面临发展困境 历史发展 一些地区在历史发展过程中积累了更多的资本、技术和人才,形成了 基础差异 较强的经济基础和竞争优势;而另一些地区则可能因历史原因而发展 滞后 政策差异 政府的政策导向、资金投入、税收优惠等政策措施都会对区域发展产 生重要影响。不同地区的政策环境不同,导致了区域间在发展条件和 发展机遇上的差异 人力资源 不同地区的人口数量、素质、结构等存在差异,影响了区域发展的潜 差异 力和动力。人力资源丰富的地区通常具有更强的创新能力和发展活力 技术创新 技术创新是推动经济发展的关键因素,不同地区的技术创新能力和水 差异 平存在差异,影响了区域发展的速度和方向 典例精练 聚焦怎么考 7关注公众号:陆陆高分冲刺 ~领取:最新版“小中高考-总复习”、最新试卷下载 [2024山东淄博期中]区域对比是区域学习的重要方法。图为甲、乙两区域 示意图。读图完成1—2题。 1.图示两区域的共同特征叙述不准确的是( ) A.均是重要的糖料作物产区 B.水稻种植面积广 C.平原面积大 D.湿润区面积广 2.符合乙地所示区域特征的是( ) ①河湖密布,水运便利 ②夏季温暖短促,冬季漫长严寒 ③农业发达,商品率高 ④旱作农业发达 ⑤旅游业发达 ⑥区域城际联系密切,一体化程度高 ⑦重工业基地 ⑧综合性工业基地 A.①③⑤⑥ B.②③④⑦ C.②④⑦⑧ D.①⑤⑥⑧ 3.[2024江苏盐城三模]读图文材料,完成下列问题。 材料一:青藏地区是许多大江大河的发源地,是我国生态环境最脆弱的地 区。东北地区被誉为我国粮食生产的“稳压器”和“压舱石”,为国家粮食安 全提供了重要保障。 材料二:图为青藏地区和东北地区图。 8关注公众号:陆陆高分冲刺 ~领取:最新版“小中高考-总复习”、最新试卷下载 (1) 区域位置对比 青藏地区位于我国西南部,主要位于我国地势第一级阶梯。东北地区位于 我国东北部,主要位于我国地势第__级阶梯。 (2) 区域差异对比 青藏地区的种植业主要分布在____地区,发展农业的限制性条件主要是 __________。东北地区是我国重要的商品粮基地,该地区成为我国粮食生产 的“稳压器”和“压舱石”的主要有利自然条件有以__________气候为主,雨 热同期,适合农作物生长;黑土广布,土壤肥沃。 (3) 区域可持续发展 国家在阴影区域乙建立了三江源自然保护区,其重要目的是 ________________________________________。 4.[2024河北保定练习]学习区域,比较法是非常重要的一种学习方法。结合 日本和新西兰的气候类型分布图,比较两国的差异,完成下列问题。 9关注公众号:陆陆高分冲刺 ~领取:最新版“小中高考-总复习”、最新试卷下载 对比一 地理位置 (1) 读图可知,新西兰和日本均属于____(岛国/内陆国),都位于____洋的 沿岸。 (2) 从图中可观察到日本、新西兰都有火山分布,可以推测出两国都位于板 块____(内部/边缘)。火山爆发会对人们的生产、生活造成巨大的影响,请举 一例说明: ______________________________________________________________。 对比二 自然环境 (3) 地形、河流:两国地形都以____(地形类型)为主,且地势中部高、四 周低,推测河流流向为__________________。 (4) 气候:由于两国四面环海,所以气候受____(海洋/大陆)的影响明显, 日本以温带季风气候和____________气候为主,新西兰以____________气候为 主。 对比三 经济发展 (5) 农业:由于自然环境差异,日本适宜发展种植业,新西兰适宜发展畜牧 业,推测造成两国农业类型差异的主要自然因素是____。 10关注公众号:陆陆高分冲刺 ~领取:最新版“小中高考-总复习”、最新试卷下载 (6) 工业:两国海岸线曲折,多__________,便于发展出口贸易。 专题二 学方法·区域认知体系建构 联系与发展 维度 1 分析区域发展条件与发展措施 以中亚为例分析区域发展条件与发展措施 典例精练 聚焦怎么考 [2024广东梅州一模]2023年5月19日上午,国家主席习近平在陕西省西安 市主持首届中国—中亚峰会。中亚与中国经济文化交流频繁。据此读中亚气候 类型和农业分布示意图,完成1—3题。 1.由图中信息可以判断中亚的自然环境情况是( ) A.以温带大陆性气候为主 B.位于高纬度地区,深居大陆内部 C.地势西高东低 D.锡尔河注入里海 11关注公众号:陆陆高分冲刺 ~领取:最新版“小中高考-总复习”、最新试卷下载 2.下列关于中亚居民的生产、生活情况的推测,合理的是( ) A.利用河流、湖泊大力发展水产养殖业 B.可以发展棉纺织或毛纺织工业 C.主食以米饭为主 D.民居多为木质结构,屋顶坡度大 3.中国—中亚峰会的顺利召开,对中亚的积极意义包括( ) ①助力特色物产出口,开拓中国市场 ②促进对外文化的交流,带动旅游业的发展 ③加快资金、技术的引进,促进相关产业的发展 ④便于承接产业转移,促进产业升级 A.①②③ B.②③④ C.①②④ D.①②③④ [2024江苏南通二模]中亚地处亚欧大陆的结合部,历来是东进西出和南下 北上的必经之地,古代的丝绸之路途经此地。在能源资源上,该区油气资源丰 富,被誉为“第二个中东”,中亚还是棉花等经济作物的盛产地。如图为中亚 五国GDP对比图。据此完成下题。 4.中亚地区适合发展棉花种植的最有利条件是( ) A.降水丰富,灌溉水源充足 B.阳光充沛,空气干燥 C.港口众多,交通便利 D.劳动力素质高,技术发达 5.[2024湖南衡阳一模]阅读图文材料,完成下列要求。 12关注公众号:陆陆高分冲刺 ~领取:最新版“小中高考-总复习”、最新试卷下载 2023年5月,在习近平总书记主持下,中国—中亚峰会在西安成功举行。 峰会期间,中国同中亚五国(哈萨克斯坦、吉尔吉斯斯坦、塔吉克斯坦、乌兹 别克斯坦和土库曼斯坦)达成了多份双多边协议,包括推进中吉乌铁路项目, 建立中国—中亚能源发展伙伴关系,等。中国—中亚合作蓝图已经绘就,构建 更加紧密的中国—中亚命运共同体的征程全面开启。 图甲 中亚地图 图乙 土库曼斯坦多年平均各月气温和 降水量 (1) 中亚五国中的____________不仅是中国的陆上邻国,也是世界上最大的 内陆国。 (2) 土库曼斯坦是中亚重要的棉花生产、出口国,结合图乙简析该国有利于 棉花生产的气候条件。(言之有理即可) (3) 中亚油气资源丰富,与我国建立了能源合作伙伴关系,从图甲中可看出 中亚石油资源主要分布在____沿岸,中亚石油、天然气输送到我国的最佳运输 方式是__________。 (4) 规划中的中吉乌铁路起自中国喀什,途经吉尔吉斯斯坦,终点为乌兹别 克斯坦的安集延。说说中吉乌铁路的建设对吉尔吉斯斯坦和乌兹别克斯坦两国 的积极意义。(答两点即可) 维度 2 人口、资源与环境问题及治理 13关注公众号:陆陆高分冲刺 ~领取:最新版“小中高考-总复习”、最新试卷下载 典例精练 聚焦怎么考 [2024黑龙江大庆练习]读漫画,完成1—2题。 1.漫画反映的主题是( ) A.人口增长速度太慢,资源过剩 B.世界资源数量能够满足人类的需要 C.人口的增长与环境、资源互相协调 D.人口增长过快导致资源消耗过度,资源短缺 2.人口增长过快还能带来的问题是( ) A.耕地开垦加快,粮食供应改善 B.人口大量流入城市,生活水平迅速提高 C.劳动力增加,促进世界经济发展 D.耕地减少,森林破坏,环境恶化 3.某中学地理学习小组要在地理课上展示非洲,他们搜集了非洲焦点问题,产 生了一些疑问。请结合材料,完成下列问题。 材料一 非洲的焦点问题 【缺水问题】 联合国开发计划署报告显示,每年非洲200万儿童死于缺水。 【粮食问题】 目前,撒哈拉以南非洲有1/5人口营养不良,2.37亿人口处于慢性营养不良 状态。其中,西非的食物不足发生率最高,其次是中非。 14关注公众号:陆陆高分冲刺 ~领取:最新版“小中高考-总复习”、最新试卷下载 【发展问题】 以往的单一经济无法满足日益增长的人口需要,非洲必须发展自己的民族 经济。中国在能源技术和基础设施建设方面对非洲展开多边援助。 材料二 下图依次为非洲气候类型图,非洲荒漠化分布图和撒哈拉以南非洲 的国家进出口产品示意图。 图1 图2 图3 (1) 读图1可知,____(特殊纬线)穿过非洲中部,大部分处在热带, ________________(气候类型)分布最广,常年高温,水分蒸发旺盛。 (2) 非洲地表植被景观以____和草原为主,森林较少,涵养水源能力低,蓄 水少。 (3) 气候变化、人口增长快及社会动荡是非洲粮食问题产生的主要原因。图 为该地区人地关系示意图。图中A处应填写的内容是______。(填序号) ①土地荒漠化 ②草场退化 15关注公众号:陆陆高分冲刺 ~领取:最新版“小中高考-总复习”、最新试卷下载 ③粮食短缺 ④开垦草原 (4) 请为当地解决粮食问题提出合理化建议。 ____________________________________________。 (5) 非洲大部分国家以出口__________(初级产品/工业制成品)为主,其弊 端是________________________________________________________。 4.[2024山东潍坊一模]鸟类与人是一家,在地球上和谐相处才能可持续发 展。读下面的材料,完成下列问题。 朱鹮(huán)是一种稀有的美丽鸟类,曾广泛分布在俄罗斯东部、朝鲜、 日本北方和中国北方。朱鹮体型较大,栖息于温带海拔1 200~1 400米、近水 的山地森林和丘陵地带,需要在高大乔木上筑巢,在邻近的湿地、沼泽等地漫 步觅食,以小鱼、蟹、蛙等水生动物为食。 “二战”后各国人口快速增长,为了提高粮食产量,大量森林被砍伐,将 湿地改造成农田,大量使用农药化肥,朱鹮遭到了灭顶之灾。1963年俄罗斯失 去了朱鹮所有的踪迹,1964年中国最后一次见到野生朱鹮,1975年朝鲜半岛最 后一只朱鹮销声匿迹,之后日本的朱鹮也全部死亡。直到1981年,中国鸟类学 家在秦岭南麓陕西洋县发现了7只野生朱鹮,朱鹮的命运才发生转折。经艰难 保护繁殖,到2017年中国朱鹮数量达到了2 600只。 16关注公众号:陆陆高分冲刺 ~领取:最新版“小中高考-总复习”、最新试卷下载 (1) 请分析,为什么人口快速增长会导致朱鹮灭绝。 (2) 请列举1981年发现野生朱鹮的陕西洋县在自然地理方面的特征。 (3) 国家在陕西洋县境内建立了“朱鹮国家级自然保护区”,保护区山高林 深环境优美。你是否赞同在朱鹮自然保护区发展旅游业,表明你的态度并说明 理由。 维度 3 区域合作与协调发展 典例精练 聚焦怎么考 [2024广东河源一模]中国援建的东非地区首条电气化铁路——亚吉铁路, 缓解了铁路沿线地区参与国际贸易面临的主要困难。图为埃塞俄比亚简图。完 成1—2题。 17关注公众号:陆陆高分冲刺 ~领取:最新版“小中高考-总复习”、最新试卷下载 1.埃塞俄比亚在参与咖啡豆贸易中遇到的主要困难是( ) A.地处内陆,交通运输困难 B.气候寒冷,咖啡豆产量较低 C.缺乏技术,咖啡豆质量低下 D.人口众多,粮食供应不足 2.中国援建亚吉铁路说明( ) A.交通建设能消除国家间经济差异 B.发展中国家只与发展中国家合作 C.国家间只要有差异就必然能合作 D.中国对非洲的援助可以互利共赢 [2024湖南郴州二模]瑞典同我国在诸多新兴产业有着深度交流与合作。图 示意瑞典工业发展的三个阶段。据此完成3—5题。 3.瑞典在工业发展第一阶段主要依赖的优势资源是 ( ) A.土地 B.铁矿 C.淡水 D.气候 4.瑞典多家先进制造企业在国外建立分公司,主要体现了国家间的( ) A.产业竞争 B.文化交流 C.教育合作 D.经济联系 5.瑞典同我国在诸多新兴产业有着深度交流与合作,反映出我国( ) A.所有新兴产业具有领先优势 B.新兴产业发展缓慢 C.部分新兴产业具有领先优势 D.新兴产业依赖瑞典 [2024广东惠州一模]雅万高铁是一条连接印度尼西亚雅加达和万隆的高速 铁路,是中国与印度尼西亚共建“一带一路”的金字招牌,于2023年10月正 式开通运营。如图是印度尼西亚简图及雅万高铁示意图。据此完成6—8题。 6.雅万高铁项目体现了中国与印度尼西亚在( ) 18关注公众号:陆陆高分冲刺 ~领取:最新版“小中高考-总复习”、最新试卷下载 A.教育文化领域的合作 B.基础设施建设领域的合作 C.高新技术领域的合作 D.资源开发和保护领域的合作 7.为更好地适应印度尼西亚国情,中国承建雅万高铁时应该( ) ①克服低温冻土难题,保护生态环境 ②开发恒温恒湿系统,应对湿热气候 ③开发地震预警系统,让行车更安全 ④结合并尊重印度尼西亚当地文化与习俗 A.①②③ B.①②④ C.①③④ D.②③④ 8.雅万高铁的开通运营对印度尼西亚的有利影响是 ( ) A.消除了国家间的贫富差异 B.提供了更多的就业岗位 C.缩短了城市间的实地距离 D.解决了当地的交通问题 [2024江苏淮安模拟]2022年12月9日,全球首架C919大型客机交付中国 东航,该客机是我国自主研发的机型,并且我国与各国完成多个订单合作。读 中国商飞C919大型客机供应商示意图,完成9—10题。 9.C919客机的配件来源于不同国家,这一现象能说明( ) A.国际竞争激烈 B.国际局势紧张 C.国际合作推动经济发展 D.国际合作维护世界和平 10.与其他交通运输方式相比较,航空运输在长途运输中的优势是( ) A.机动灵活 B.运量最大 C.速度最快 D.运费最低 11.[2024湖南湘潭一模]阅读图文材料,完成下列问题。 材料一 几内亚矿产资源丰富,是中国的贸易伙伴之一。几内亚以农业、矿 业为主,工业生产力量薄弱。国内西芒杜铁矿是世界级的大型优质露天赤铁 矿,总储量估计超过100亿吨。2020年我国“赢联盟”企业联合体与几内亚政 府签署协议,获得西芒杜铁矿部分矿区开采权,并将投资新建铁路和港口,便 于铁矿石的出口。 19关注公众号:陆陆高分冲刺 ~领取:最新版“小中高考-总复习”、最新试卷下载 材料二 下图为几内亚简图。 (1) 几内亚位于非洲西部,从海陆位置看是一个__________(海陆兼备/深居 内陆)的国家。从经度位置看,几内亚位于__半球。 (2) 中国和几内亚优势互补,合作共赢。请你简述两国合作中各自的优势。 (3) 对投资开发几内亚铁矿石,有人建议将铁矿石在当地冶炼加工后,再运 到我国。你是否赞同,还请你说明理由。 专题二 学方法·区域认知体系建构 位置与分布 维度 1 描述区域地理位置 典例精练 聚焦怎么考 1.C 2.A 3.C [解析]东北三省位于我国的东北地区,由于纬度高,冬季寒冷,该地植被以落 叶阔叶林和针叶林为主,A错误;受纬度位置的影响,河流结冰期长,河流水量 和东北三省的纬度关系不大,B错误;距离海洋近,受夏季风的影响大,降水较 20关注公众号:陆陆高分冲刺 ~领取:最新版“小中高考-总复习”、最新试卷下载 为丰富,C正确;距离冬季风的源地较近,导致冬季气温低,冬季降水比夏季 少,D错误。故选C。 4.日本位于亚洲东部,东临太平洋;美国位于北美洲,本土东临大西洋,西临 太平洋。 5.纬度位置:位于赤道附近,位于低纬度地区,地处热带。海陆位置:位于亚洲 东南部,濒临南海。 维度 2 描述区域内地理要素分布 典例精练 聚焦怎么考 1.A 2.C [解析]读图可知,各大洲距海岸200千米范围内,人口占大洲总人口的比例均比 较高,这说明人口集中分布于沿海地区,C正确;图中信息并不能显示世界人 口集中分布于地势低平的地区、中低纬度地区和交通便利地区,排除A、B、 D。故选C。 3.A 4.A [解析]读图可知,澳大利亚的城市、人口主要分布在东南沿海地区,澳大利亚 铁路东南沿海地区密集,故城市与人口的分布是影响澳大利亚铁路分布的主要 原因,故选A。 5.D [解析]据图可知,苏门答腊岛上的城市、村镇大多分布在河流沿岸或沿海地 区,具有沿海、沿河分布的特点,这些地区地形平坦,水源充足,水运便利, 便于生产和生活,D正确,A、B错误;图中没有显示苏门答腊岛上的矿产资源 分布状况,不能得出该岛的城市、村镇沿矿产资源地分布的结论,C错误。故 选D。 6.D [解析]从劳动力成本看,苏门答腊岛劳动力资源丰富,可以为造纸业的发展提 供大量廉价的劳动力;从原料来源看,苏门答腊岛属于热带雨林气候,全年高温 多雨,水资源充足,森林资源丰富,为发展造纸业提供了丰富的原料,②③④ 21关注公众号:陆陆高分冲刺 ~领取:最新版“小中高考-总复习”、最新试卷下载 正确;材料中“基于对全球纸浆市场需求增长的判断”说明印度尼西亚造纸工 业发展服务于全球市场,而非本地市场需求,①错误,故选D。 专题二 学方法·区域认知体系建构 特征与差异 维度 1 认识区域自然环境 典例精练 聚焦怎么考 1.D 2.A 3.C 4.B 5.A 6.D [解析]培养节约能源的意识;加强资源的回收和循环利用;改进技术,提高资 源利用率;均有利于节约利用资源,属于“节流”,A、B、C均不符合题意。 开发太阳能、风能等新能源,可以增加能源供给且这些资源均属于可再生资 源,属于“开源”,选项D符合题意。故选D。 7.C [解析]当地纬度较低,属于热带,位于赤道附近,为热带雨林气候,全年高温 多雨,适宜种植橡胶树,因此可以看到橡胶林成片,C正确。麦浪滚滚出现在 温带地区;沿线地区热带雨林广布;牦牛成群出现在青藏高原地区;故A、B、 D错误。故选C。 8.D [解析]雅万高铁沿线地区位于印度洋板块与亚欧板块的交界处,地壳活跃,多 火山地震。修建雅万高铁要重点克服的困难有:河流众多、地形崎岖、地震频 繁、洪涝灾害等。雅万高铁沿线属于热带雨林气候,终年高温多雨,无冻土、 沙丘景观。故选D。 9.(1) D (2) 山河相间、纵列分布; 自北向南 (3) 无; 5—10 (4) 正确,理由是:柬埔寨地区海拔低,地势平坦,水流平缓,适宜行船。 柬埔寨是热带季风气候,降水量大,便于航行。 维度 2 认识区域人文环境 22关注公众号:陆陆高分冲刺 ~领取:最新版“小中高考-总复习”、最新试卷下载 典例精练 聚焦怎么考 1.A [解析]读材料及图分析可知,阿勒颇地区气候特征为夏季炎热干燥,冬季温和 多雨。80 cm厚的墙体,可以阻隔阳光、减轻夏季室外高温对屋内的影响,冬 季可以保温,A正确。圆锥形屋顶使冬半年的雨水得以快速流淌,减轻屋顶所 承受的压力,排泄雨水不是墙体厚的作用,B错误。阿勒颇地区受不到台风的 影响,C错误。通风散热与窗户大小关系较大,D错误。故选A。 2.C [解析]清真寺的建筑特点是伊斯兰教文化的重要组成部分,其最明显的特点是 穹顶和尖塔。这些特点是为了体现伊斯兰教信仰的核心价值观和建筑风格而设 计的,故选C。 3.B 4.C [解析]喀什地处新疆,地广人稀,A错误;喀什为温带大陆性气候,降水稀少, 夏季高温,冬季寒冷,B错误;新疆气候干旱,降水稀少,不用排水,屋顶平 坦,C正确,D错误。故选C。 5.B [解析]新疆特色食品为烤羊肉、酸奶疙瘩等,主要是畜牧业产品,新疆气候干 旱,降水稀少,农业以畜牧业为主,B正确。新疆深居内陆,降水少,不适合 发展林业、种植业和渔业。A、C、D错误。故选B。 6.B [解析]法国地中海沿岸地区种植葡萄的有利条件是地处地中海气候区,夏季气 温高,热量充足,降水少,晴天多,光照充足,适合种植葡萄,B正确。灌溉 水源不是来自海水,A错误。地中海沿岸属于地中海气候,夏季炎热干燥,冬 季温和多雨,C错误;受地形地势影响小,D错误。故选B。 7.C [解析]法国畜牧业发达的原因是处于中纬度的大陆西岸(④),气候类型为温 带海洋性气候,气候温凉、潮湿、多雨多雾、日照少(①),多汁牧草生长旺 盛、草场广布(②),畜牧业发达(③),故④①②③正确,故选C。 8.(1) 南部 23关注公众号:陆陆高分冲刺 ~领取:最新版“小中高考-总复习”、最新试卷下载 (2) 南部; 北部纬度高,气温低,南部纬度低,气温相对较高 (3) 与地形因素有关,芬兰东北部多山地、丘陵。 (4) 沿海地区航运便利,便于工业品出口。 维度 3 认识区域差异及成因 典例精练 聚焦怎么考 1.A [解析]由图可知,甲地处于我国东北地区,盛产糖料作物甜菜,乙地长江三角 洲地区不是糖料作物产区,A错误。故选A。 2.D [解析]由图可知,乙是长江三角洲地区,降水丰富,河湖密布,水运便利,① 正确;长江三角洲地区属于亚热带季风气候,夏季高温多雨,冬季温和少雨, ②错误;长江三角洲地区人口稠密,虽然农业发达,但商品率不高,③错误; 长江三角洲地区水田农业发达,④错误;长江三角洲地区旅游资源丰富,旅游 业发达,⑤正确;长江三角洲地区城市密集,交通便利,区域城际联系密切, 一体化程度高,⑥正确;该地区是全国最大的综合性工业基地,⑦错误,⑧正 确。D符合题意,故选D。 3.(1) 三 (2) 河谷; 热量不足; 温带季风 (3) 保护高原湿地,保护生物多样性,等 4.(1) 岛国; 太平 (2) 边缘; 火山喷发会释放出大量有害气体,可能威胁人体健康等 (3) 山地; 从中间流向四周 (4) 海洋; 亚热带季风; 温带海洋性 (5) 气候 (6) 优良港湾 专题二 学方法·区域认知体系建构 联系与发展 维度 1 分析区域发展条件与发展措施 典例精练 聚焦怎么考 1.A 2.B 24关注公众号:陆陆高分冲刺 ~领取:最新版“小中高考-总复习”、最新试卷下载 [解析]中亚地区深居内陆,降水较少,气候干旱,河流、湖泊较少,不利于大 力发展水产养殖,排除A;中亚地区的降水较少,民居屋顶坡度小,排除D; 中亚地区气候干旱,不适合水稻的生长,主食不可能以米饭为主,排除C;中 亚地区种植棉花等作物,以畜牧业为主,可以发展棉纺织或毛纺织工业,B正 确。故选B。 3.D 4.B [解析]中亚深居内陆,无港口建设条件,以温带大陆性气候为主,降水较少, 晴天多,光照足,昼夜温差大,有利于作物有机物的积累;种植棉花无须劳动 力素质高,技术发达。因此A、C、D错误,故选B。 5.(1) 哈萨克斯坦 (2) 夏季气温高,光照强;昼夜温差大;采摘期降水少。 (3) 里海; 管道运输 (4) 促进经济全面发展;增大陆海联运的通达性;增强与中国等东亚及欧洲 国家间的经济互补互利性;加大经贸往来;促进国家间的文化交流与合作; 等。 维度 2 人口、资源与环境问题及治理 典例精练 聚焦怎么考 1.D 2.D 3.(1) 赤道; 热带草原气候 (2) 荒漠 (3) ③ (4) 合理放牧,逐步提高土壤肥力,保护环境 (5) 初级产品; 在国际贸易中,处于不利地位,不利于经济的发展 4.(1) 人口快速增长,人们为了扩大耕地面积,大量砍伐森林,使朱鹮筑巢 的区域大幅度减少;人们把湿地开垦成耕地,使朱鹮能捕食的区域减少;人们为了 增加粮食产量大量使用化肥农药,使朱鹮能捕食到的食物有毒,直接导致死 亡。 (2) 陕西洋县位于秦岭南麓,地形复杂,人口少;生长着大面积的森林;陕西洋 县年降水量约800mm;冬季1月份气温在0℃以上。 25关注公众号:陆陆高分冲刺 ~领取:最新版“小中高考-总复习”、最新试卷下载 (3) 不赞成。开展旅游业可能会破坏朱鹮现有的生存空间,大量游客进入不 利于保护区的管理,可能造成比较多的污染,危及朱鹮的生存繁育。 维度 3 区域合作与协调发展 典例精练 聚焦怎么考 1.A [解析]埃塞俄比亚是以农业经济为主的高原内陆国家,落后的基础设施和缺少 出海口的情况,导致交通运输困难,严重制约了其经济发展,A正确;埃塞俄 比亚地处热带,气候炎热,B错误;埃塞俄比亚水热充足,咖啡豆质量高,C 错误;埃塞俄比亚参与咖啡豆贸易的主要困难跟人口众多,粮食供应不足关系 不大,D错误。故选A。 2.D 3.B [解析]瑞典第一阶段的工业以钢铁冶炼为主,早期钢铁冶炼需要靠近原料丰富 的地区,钢铁冶炼的原料是铁矿,故B正确。土地、气候、淡水对钢铁冶炼工 业发展影响较小,故A、C、D错误。故选B。 4.D 5.C [解析]瑞典是发达国家,同我国新兴产业有交流与合作,说明我国新兴产业在 全球同类行业中具有领先优势,故C正确,D错误。所有产业具有优势说法绝 对,故A错误。我国新兴产业发展快速,故B错误。故选C。 6.B 7.D [解析]印度尼西亚全年高温多雨,不会出现低温冻土的难题,①错误;但当地 气候湿热,需要开发恒温恒湿系统,应对湿热气候;此外印度尼西亚位于板块 运动活跃的地区,需开发地震预警系统,让行车更安全;当地文化习俗多样, 应结合并尊重当地文化与习俗,②③④正确。故选D。 8.B 9.C 10.C 11.(1) 海陆兼备; 东 26关注公众号:陆陆高分冲刺 ~领取:最新版“小中高考-总复习”、最新试卷下载 (2) 中国优势:技术先进、资金雄厚、管理经验丰富。几内亚优势:铁矿 (或矿产资源或自然资源)丰富;工价低(或劳动力数量多,且廉价)。 (3) 赞同。当地劳动力资源丰富且工价较低;铁矿石加工后,运量减少,运 费降低;冶炼加工污染环境,铁矿石冶炼后运回国,有利于减轻我国的环境污 染。 不赞同。几内亚工业生产力量薄弱;我国有良好的工业基础,加工铁矿石技术 更强;在几内亚建设冶炼工业,投资大。(任选一种观点,言之有理即可) 27
基本 文件 流程 错误 SQL 调试
  1. 请求信息 : 2026-03-01 08:05:37 HTTP/1.1 GET : https://www.yeyulingfeng.com/wendang/329863.html
  2. 运行时间 : 0.204580s [ 吞吐率:4.89req/s ] 内存消耗:6,182.20kb 文件加载:144
  3. 缓存信息 : 0 reads,0 writes
  4. 会话信息 : SESSION_ID=81314caad8b7b3da1a1c02710f2af11b
  1. /yingpanguazai/ssd/ssd1/www/wwww.yeyulingfeng.com/public/index.php ( 0.79 KB )
  2. /yingpanguazai/ssd/ssd1/www/wwww.yeyulingfeng.com/vendor/autoload.php ( 0.17 KB )
  3. /yingpanguazai/ssd/ssd1/www/wwww.yeyulingfeng.com/vendor/composer/autoload_real.php ( 2.49 KB )
  4. /yingpanguazai/ssd/ssd1/www/wwww.yeyulingfeng.com/vendor/composer/platform_check.php ( 0.90 KB )
  5. /yingpanguazai/ssd/ssd1/www/wwww.yeyulingfeng.com/vendor/composer/ClassLoader.php ( 14.03 KB )
  6. /yingpanguazai/ssd/ssd1/www/wwww.yeyulingfeng.com/vendor/composer/autoload_static.php ( 6.05 KB )
  7. /yingpanguazai/ssd/ssd1/www/wwww.yeyulingfeng.com/vendor/topthink/think-helper/src/helper.php ( 8.34 KB )
  8. /yingpanguazai/ssd/ssd1/www/wwww.yeyulingfeng.com/vendor/topthink/think-validate/src/helper.php ( 2.19 KB )
  9. /yingpanguazai/ssd/ssd1/www/wwww.yeyulingfeng.com/vendor/ralouphie/getallheaders/src/getallheaders.php ( 1.60 KB )
  10. /yingpanguazai/ssd/ssd1/www/wwww.yeyulingfeng.com/vendor/topthink/think-orm/src/helper.php ( 1.47 KB )
  11. /yingpanguazai/ssd/ssd1/www/wwww.yeyulingfeng.com/vendor/topthink/think-orm/stubs/load_stubs.php ( 0.16 KB )
  12. /yingpanguazai/ssd/ssd1/www/wwww.yeyulingfeng.com/vendor/topthink/framework/src/think/Exception.php ( 1.69 KB )
  13. /yingpanguazai/ssd/ssd1/www/wwww.yeyulingfeng.com/vendor/topthink/think-container/src/Facade.php ( 2.71 KB )
  14. /yingpanguazai/ssd/ssd1/www/wwww.yeyulingfeng.com/vendor/symfony/deprecation-contracts/function.php ( 0.99 KB )
  15. /yingpanguazai/ssd/ssd1/www/wwww.yeyulingfeng.com/vendor/symfony/polyfill-mbstring/bootstrap.php ( 8.26 KB )
  16. /yingpanguazai/ssd/ssd1/www/wwww.yeyulingfeng.com/vendor/symfony/polyfill-mbstring/bootstrap80.php ( 9.78 KB )
  17. /yingpanguazai/ssd/ssd1/www/wwww.yeyulingfeng.com/vendor/symfony/var-dumper/Resources/functions/dump.php ( 1.49 KB )
  18. /yingpanguazai/ssd/ssd1/www/wwww.yeyulingfeng.com/vendor/topthink/think-dumper/src/helper.php ( 0.18 KB )
  19. /yingpanguazai/ssd/ssd1/www/wwww.yeyulingfeng.com/vendor/symfony/var-dumper/VarDumper.php ( 4.30 KB )
  20. /yingpanguazai/ssd/ssd1/www/wwww.yeyulingfeng.com/vendor/guzzlehttp/guzzle/src/functions_include.php ( 0.16 KB )
  21. /yingpanguazai/ssd/ssd1/www/wwww.yeyulingfeng.com/vendor/guzzlehttp/guzzle/src/functions.php ( 5.54 KB )
  22. /yingpanguazai/ssd/ssd1/www/wwww.yeyulingfeng.com/vendor/topthink/framework/src/think/App.php ( 15.30 KB )
  23. /yingpanguazai/ssd/ssd1/www/wwww.yeyulingfeng.com/vendor/topthink/think-container/src/Container.php ( 15.76 KB )
  24. /yingpanguazai/ssd/ssd1/www/wwww.yeyulingfeng.com/vendor/psr/container/src/ContainerInterface.php ( 1.02 KB )
  25. /yingpanguazai/ssd/ssd1/www/wwww.yeyulingfeng.com/app/provider.php ( 0.19 KB )
  26. /yingpanguazai/ssd/ssd1/www/wwww.yeyulingfeng.com/vendor/topthink/framework/src/think/Http.php ( 6.04 KB )
  27. /yingpanguazai/ssd/ssd1/www/wwww.yeyulingfeng.com/vendor/topthink/think-helper/src/helper/Str.php ( 7.29 KB )
  28. /yingpanguazai/ssd/ssd1/www/wwww.yeyulingfeng.com/vendor/topthink/framework/src/think/Env.php ( 4.68 KB )
  29. /yingpanguazai/ssd/ssd1/www/wwww.yeyulingfeng.com/app/common.php ( 0.03 KB )
  30. /yingpanguazai/ssd/ssd1/www/wwww.yeyulingfeng.com/vendor/topthink/framework/src/helper.php ( 18.78 KB )
  31. /yingpanguazai/ssd/ssd1/www/wwww.yeyulingfeng.com/vendor/topthink/framework/src/think/Config.php ( 5.54 KB )
  32. /yingpanguazai/ssd/ssd1/www/wwww.yeyulingfeng.com/config/alipay.php ( 3.59 KB )
  33. /yingpanguazai/ssd/ssd1/www/wwww.yeyulingfeng.com/vendor/topthink/framework/src/think/facade/Env.php ( 1.67 KB )
  34. /yingpanguazai/ssd/ssd1/www/wwww.yeyulingfeng.com/config/app.php ( 0.95 KB )
  35. /yingpanguazai/ssd/ssd1/www/wwww.yeyulingfeng.com/config/cache.php ( 0.78 KB )
  36. /yingpanguazai/ssd/ssd1/www/wwww.yeyulingfeng.com/config/console.php ( 0.23 KB )
  37. /yingpanguazai/ssd/ssd1/www/wwww.yeyulingfeng.com/config/cookie.php ( 0.56 KB )
  38. /yingpanguazai/ssd/ssd1/www/wwww.yeyulingfeng.com/config/database.php ( 2.48 KB )
  39. /yingpanguazai/ssd/ssd1/www/wwww.yeyulingfeng.com/config/filesystem.php ( 0.61 KB )
  40. /yingpanguazai/ssd/ssd1/www/wwww.yeyulingfeng.com/config/lang.php ( 0.91 KB )
  41. /yingpanguazai/ssd/ssd1/www/wwww.yeyulingfeng.com/config/log.php ( 1.35 KB )
  42. /yingpanguazai/ssd/ssd1/www/wwww.yeyulingfeng.com/config/middleware.php ( 0.19 KB )
  43. /yingpanguazai/ssd/ssd1/www/wwww.yeyulingfeng.com/config/route.php ( 1.89 KB )
  44. /yingpanguazai/ssd/ssd1/www/wwww.yeyulingfeng.com/config/session.php ( 0.57 KB )
  45. /yingpanguazai/ssd/ssd1/www/wwww.yeyulingfeng.com/config/trace.php ( 0.34 KB )
  46. /yingpanguazai/ssd/ssd1/www/wwww.yeyulingfeng.com/config/view.php ( 0.82 KB )
  47. /yingpanguazai/ssd/ssd1/www/wwww.yeyulingfeng.com/app/event.php ( 0.25 KB )
  48. /yingpanguazai/ssd/ssd1/www/wwww.yeyulingfeng.com/vendor/topthink/framework/src/think/Event.php ( 7.67 KB )
  49. /yingpanguazai/ssd/ssd1/www/wwww.yeyulingfeng.com/app/service.php ( 0.13 KB )
  50. /yingpanguazai/ssd/ssd1/www/wwww.yeyulingfeng.com/app/AppService.php ( 0.26 KB )
  51. /yingpanguazai/ssd/ssd1/www/wwww.yeyulingfeng.com/vendor/topthink/framework/src/think/Service.php ( 1.64 KB )
  52. /yingpanguazai/ssd/ssd1/www/wwww.yeyulingfeng.com/vendor/topthink/framework/src/think/Lang.php ( 7.35 KB )
  53. /yingpanguazai/ssd/ssd1/www/wwww.yeyulingfeng.com/vendor/topthink/framework/src/lang/zh-cn.php ( 13.70 KB )
  54. /yingpanguazai/ssd/ssd1/www/wwww.yeyulingfeng.com/vendor/topthink/framework/src/think/initializer/Error.php ( 3.31 KB )
  55. /yingpanguazai/ssd/ssd1/www/wwww.yeyulingfeng.com/vendor/topthink/framework/src/think/initializer/RegisterService.php ( 1.33 KB )
  56. /yingpanguazai/ssd/ssd1/www/wwww.yeyulingfeng.com/vendor/services.php ( 0.14 KB )
  57. /yingpanguazai/ssd/ssd1/www/wwww.yeyulingfeng.com/vendor/topthink/framework/src/think/service/PaginatorService.php ( 1.52 KB )
  58. /yingpanguazai/ssd/ssd1/www/wwww.yeyulingfeng.com/vendor/topthink/framework/src/think/service/ValidateService.php ( 0.99 KB )
  59. /yingpanguazai/ssd/ssd1/www/wwww.yeyulingfeng.com/vendor/topthink/framework/src/think/service/ModelService.php ( 2.04 KB )
  60. /yingpanguazai/ssd/ssd1/www/wwww.yeyulingfeng.com/vendor/topthink/think-trace/src/Service.php ( 0.77 KB )
  61. /yingpanguazai/ssd/ssd1/www/wwww.yeyulingfeng.com/vendor/topthink/framework/src/think/Middleware.php ( 6.72 KB )
  62. /yingpanguazai/ssd/ssd1/www/wwww.yeyulingfeng.com/vendor/topthink/framework/src/think/initializer/BootService.php ( 0.77 KB )
  63. /yingpanguazai/ssd/ssd1/www/wwww.yeyulingfeng.com/vendor/topthink/think-orm/src/Paginator.php ( 11.86 KB )
  64. /yingpanguazai/ssd/ssd1/www/wwww.yeyulingfeng.com/vendor/topthink/think-validate/src/Validate.php ( 63.20 KB )
  65. /yingpanguazai/ssd/ssd1/www/wwww.yeyulingfeng.com/vendor/topthink/think-orm/src/Model.php ( 23.55 KB )
  66. /yingpanguazai/ssd/ssd1/www/wwww.yeyulingfeng.com/vendor/topthink/think-orm/src/model/concern/Attribute.php ( 21.05 KB )
  67. /yingpanguazai/ssd/ssd1/www/wwww.yeyulingfeng.com/vendor/topthink/think-orm/src/model/concern/AutoWriteData.php ( 4.21 KB )
  68. /yingpanguazai/ssd/ssd1/www/wwww.yeyulingfeng.com/vendor/topthink/think-orm/src/model/concern/Conversion.php ( 6.44 KB )
  69. /yingpanguazai/ssd/ssd1/www/wwww.yeyulingfeng.com/vendor/topthink/think-orm/src/model/concern/DbConnect.php ( 5.16 KB )
  70. /yingpanguazai/ssd/ssd1/www/wwww.yeyulingfeng.com/vendor/topthink/think-orm/src/model/concern/ModelEvent.php ( 2.33 KB )
  71. /yingpanguazai/ssd/ssd1/www/wwww.yeyulingfeng.com/vendor/topthink/think-orm/src/model/concern/RelationShip.php ( 28.29 KB )
  72. /yingpanguazai/ssd/ssd1/www/wwww.yeyulingfeng.com/vendor/topthink/think-helper/src/contract/Arrayable.php ( 0.09 KB )
  73. /yingpanguazai/ssd/ssd1/www/wwww.yeyulingfeng.com/vendor/topthink/think-helper/src/contract/Jsonable.php ( 0.13 KB )
  74. /yingpanguazai/ssd/ssd1/www/wwww.yeyulingfeng.com/vendor/topthink/think-orm/src/model/contract/Modelable.php ( 0.09 KB )
  75. /yingpanguazai/ssd/ssd1/www/wwww.yeyulingfeng.com/vendor/topthink/framework/src/think/Db.php ( 2.88 KB )
  76. /yingpanguazai/ssd/ssd1/www/wwww.yeyulingfeng.com/vendor/topthink/think-orm/src/DbManager.php ( 8.52 KB )
  77. /yingpanguazai/ssd/ssd1/www/wwww.yeyulingfeng.com/vendor/topthink/framework/src/think/Log.php ( 6.28 KB )
  78. /yingpanguazai/ssd/ssd1/www/wwww.yeyulingfeng.com/vendor/topthink/framework/src/think/Manager.php ( 3.92 KB )
  79. /yingpanguazai/ssd/ssd1/www/wwww.yeyulingfeng.com/vendor/psr/log/src/LoggerTrait.php ( 2.69 KB )
  80. /yingpanguazai/ssd/ssd1/www/wwww.yeyulingfeng.com/vendor/psr/log/src/LoggerInterface.php ( 2.71 KB )
  81. /yingpanguazai/ssd/ssd1/www/wwww.yeyulingfeng.com/vendor/topthink/framework/src/think/Cache.php ( 4.92 KB )
  82. /yingpanguazai/ssd/ssd1/www/wwww.yeyulingfeng.com/vendor/psr/simple-cache/src/CacheInterface.php ( 4.71 KB )
  83. /yingpanguazai/ssd/ssd1/www/wwww.yeyulingfeng.com/vendor/topthink/think-helper/src/helper/Arr.php ( 16.63 KB )
  84. /yingpanguazai/ssd/ssd1/www/wwww.yeyulingfeng.com/vendor/topthink/framework/src/think/cache/driver/File.php ( 7.84 KB )
  85. /yingpanguazai/ssd/ssd1/www/wwww.yeyulingfeng.com/vendor/topthink/framework/src/think/cache/Driver.php ( 9.03 KB )
  86. /yingpanguazai/ssd/ssd1/www/wwww.yeyulingfeng.com/vendor/topthink/framework/src/think/contract/CacheHandlerInterface.php ( 1.99 KB )
  87. /yingpanguazai/ssd/ssd1/www/wwww.yeyulingfeng.com/app/Request.php ( 0.09 KB )
  88. /yingpanguazai/ssd/ssd1/www/wwww.yeyulingfeng.com/vendor/topthink/framework/src/think/Request.php ( 55.78 KB )
  89. /yingpanguazai/ssd/ssd1/www/wwww.yeyulingfeng.com/app/middleware.php ( 0.25 KB )
  90. /yingpanguazai/ssd/ssd1/www/wwww.yeyulingfeng.com/vendor/topthink/framework/src/think/Pipeline.php ( 2.61 KB )
  91. /yingpanguazai/ssd/ssd1/www/wwww.yeyulingfeng.com/vendor/topthink/think-trace/src/TraceDebug.php ( 3.40 KB )
  92. /yingpanguazai/ssd/ssd1/www/wwww.yeyulingfeng.com/vendor/topthink/framework/src/think/middleware/SessionInit.php ( 1.94 KB )
  93. /yingpanguazai/ssd/ssd1/www/wwww.yeyulingfeng.com/vendor/topthink/framework/src/think/Session.php ( 1.80 KB )
  94. /yingpanguazai/ssd/ssd1/www/wwww.yeyulingfeng.com/vendor/topthink/framework/src/think/session/driver/File.php ( 6.27 KB )
  95. /yingpanguazai/ssd/ssd1/www/wwww.yeyulingfeng.com/vendor/topthink/framework/src/think/contract/SessionHandlerInterface.php ( 0.87 KB )
  96. /yingpanguazai/ssd/ssd1/www/wwww.yeyulingfeng.com/vendor/topthink/framework/src/think/session/Store.php ( 7.12 KB )
  97. /yingpanguazai/ssd/ssd1/www/wwww.yeyulingfeng.com/vendor/topthink/framework/src/think/Route.php ( 23.73 KB )
  98. /yingpanguazai/ssd/ssd1/www/wwww.yeyulingfeng.com/vendor/topthink/framework/src/think/route/RuleName.php ( 5.75 KB )
  99. /yingpanguazai/ssd/ssd1/www/wwww.yeyulingfeng.com/vendor/topthink/framework/src/think/route/Domain.php ( 2.53 KB )
  100. /yingpanguazai/ssd/ssd1/www/wwww.yeyulingfeng.com/vendor/topthink/framework/src/think/route/RuleGroup.php ( 22.43 KB )
  101. /yingpanguazai/ssd/ssd1/www/wwww.yeyulingfeng.com/vendor/topthink/framework/src/think/route/Rule.php ( 26.95 KB )
  102. /yingpanguazai/ssd/ssd1/www/wwww.yeyulingfeng.com/vendor/topthink/framework/src/think/route/RuleItem.php ( 9.78 KB )
  103. /yingpanguazai/ssd/ssd1/www/wwww.yeyulingfeng.com/route/app.php ( 3.52 KB )
  104. /yingpanguazai/ssd/ssd1/www/wwww.yeyulingfeng.com/vendor/topthink/framework/src/think/facade/Route.php ( 4.70 KB )
  105. /yingpanguazai/ssd/ssd1/www/wwww.yeyulingfeng.com/vendor/topthink/framework/src/think/route/dispatch/Controller.php ( 4.74 KB )
  106. /yingpanguazai/ssd/ssd1/www/wwww.yeyulingfeng.com/vendor/topthink/framework/src/think/route/Dispatch.php ( 10.44 KB )
  107. /yingpanguazai/ssd/ssd1/www/wwww.yeyulingfeng.com/app/controller/Index.php ( 10.53 KB )
  108. /yingpanguazai/ssd/ssd1/www/wwww.yeyulingfeng.com/app/BaseController.php ( 2.05 KB )
  109. /yingpanguazai/ssd/ssd1/www/wwww.yeyulingfeng.com/vendor/topthink/think-orm/src/facade/Db.php ( 0.93 KB )
  110. /yingpanguazai/ssd/ssd1/www/wwww.yeyulingfeng.com/vendor/topthink/think-orm/src/db/connector/Mysql.php ( 5.44 KB )
  111. /yingpanguazai/ssd/ssd1/www/wwww.yeyulingfeng.com/vendor/topthink/think-orm/src/db/PDOConnection.php ( 52.47 KB )
  112. /yingpanguazai/ssd/ssd1/www/wwww.yeyulingfeng.com/vendor/topthink/think-orm/src/db/Connection.php ( 8.39 KB )
  113. /yingpanguazai/ssd/ssd1/www/wwww.yeyulingfeng.com/vendor/topthink/think-orm/src/db/ConnectionInterface.php ( 4.57 KB )
  114. /yingpanguazai/ssd/ssd1/www/wwww.yeyulingfeng.com/vendor/topthink/think-orm/src/db/builder/Mysql.php ( 16.58 KB )
  115. /yingpanguazai/ssd/ssd1/www/wwww.yeyulingfeng.com/vendor/topthink/think-orm/src/db/Builder.php ( 24.06 KB )
  116. /yingpanguazai/ssd/ssd1/www/wwww.yeyulingfeng.com/vendor/topthink/think-orm/src/db/BaseBuilder.php ( 27.50 KB )
  117. /yingpanguazai/ssd/ssd1/www/wwww.yeyulingfeng.com/vendor/topthink/think-orm/src/db/Query.php ( 15.71 KB )
  118. /yingpanguazai/ssd/ssd1/www/wwww.yeyulingfeng.com/vendor/topthink/think-orm/src/db/BaseQuery.php ( 45.13 KB )
  119. /yingpanguazai/ssd/ssd1/www/wwww.yeyulingfeng.com/vendor/topthink/think-orm/src/db/concern/TimeFieldQuery.php ( 7.43 KB )
  120. /yingpanguazai/ssd/ssd1/www/wwww.yeyulingfeng.com/vendor/topthink/think-orm/src/db/concern/AggregateQuery.php ( 3.26 KB )
  121. /yingpanguazai/ssd/ssd1/www/wwww.yeyulingfeng.com/vendor/topthink/think-orm/src/db/concern/ModelRelationQuery.php ( 20.07 KB )
  122. /yingpanguazai/ssd/ssd1/www/wwww.yeyulingfeng.com/vendor/topthink/think-orm/src/db/concern/ParamsBind.php ( 3.66 KB )
  123. /yingpanguazai/ssd/ssd1/www/wwww.yeyulingfeng.com/vendor/topthink/think-orm/src/db/concern/ResultOperation.php ( 7.01 KB )
  124. /yingpanguazai/ssd/ssd1/www/wwww.yeyulingfeng.com/vendor/topthink/think-orm/src/db/concern/WhereQuery.php ( 19.37 KB )
  125. /yingpanguazai/ssd/ssd1/www/wwww.yeyulingfeng.com/vendor/topthink/think-orm/src/db/concern/JoinAndViewQuery.php ( 7.11 KB )
  126. /yingpanguazai/ssd/ssd1/www/wwww.yeyulingfeng.com/vendor/topthink/think-orm/src/db/concern/TableFieldInfo.php ( 2.63 KB )
  127. /yingpanguazai/ssd/ssd1/www/wwww.yeyulingfeng.com/vendor/topthink/think-orm/src/db/concern/Transaction.php ( 2.77 KB )
  128. /yingpanguazai/ssd/ssd1/www/wwww.yeyulingfeng.com/vendor/topthink/framework/src/think/log/driver/File.php ( 5.96 KB )
  129. /yingpanguazai/ssd/ssd1/www/wwww.yeyulingfeng.com/vendor/topthink/framework/src/think/contract/LogHandlerInterface.php ( 0.86 KB )
  130. /yingpanguazai/ssd/ssd1/www/wwww.yeyulingfeng.com/vendor/topthink/framework/src/think/log/Channel.php ( 3.89 KB )
  131. /yingpanguazai/ssd/ssd1/www/wwww.yeyulingfeng.com/vendor/topthink/framework/src/think/event/LogRecord.php ( 1.02 KB )
  132. /yingpanguazai/ssd/ssd1/www/wwww.yeyulingfeng.com/vendor/topthink/think-helper/src/Collection.php ( 16.47 KB )
  133. /yingpanguazai/ssd/ssd1/www/wwww.yeyulingfeng.com/vendor/topthink/framework/src/think/facade/View.php ( 1.70 KB )
  134. /yingpanguazai/ssd/ssd1/www/wwww.yeyulingfeng.com/vendor/topthink/framework/src/think/View.php ( 4.39 KB )
  135. /yingpanguazai/ssd/ssd1/www/wwww.yeyulingfeng.com/vendor/topthink/framework/src/think/Response.php ( 8.81 KB )
  136. /yingpanguazai/ssd/ssd1/www/wwww.yeyulingfeng.com/vendor/topthink/framework/src/think/response/View.php ( 3.29 KB )
  137. /yingpanguazai/ssd/ssd1/www/wwww.yeyulingfeng.com/vendor/topthink/framework/src/think/Cookie.php ( 6.06 KB )
  138. /yingpanguazai/ssd/ssd1/www/wwww.yeyulingfeng.com/vendor/topthink/think-view/src/Think.php ( 8.38 KB )
  139. /yingpanguazai/ssd/ssd1/www/wwww.yeyulingfeng.com/vendor/topthink/framework/src/think/contract/TemplateHandlerInterface.php ( 1.60 KB )
  140. /yingpanguazai/ssd/ssd1/www/wwww.yeyulingfeng.com/vendor/topthink/think-template/src/Template.php ( 46.61 KB )
  141. /yingpanguazai/ssd/ssd1/www/wwww.yeyulingfeng.com/vendor/topthink/think-template/src/template/driver/File.php ( 2.41 KB )
  142. /yingpanguazai/ssd/ssd1/www/wwww.yeyulingfeng.com/vendor/topthink/think-template/src/template/contract/DriverInterface.php ( 0.86 KB )
  143. /yingpanguazai/ssd/ssd1/www/wwww.yeyulingfeng.com/runtime/temp/10a0c909b6afa23b5a52a2e2d58c3c0f.php ( 21.70 KB )
  144. /yingpanguazai/ssd/ssd1/www/wwww.yeyulingfeng.com/vendor/topthink/think-trace/src/Html.php ( 4.42 KB )
  1. CONNECT:[ UseTime:0.000867s ] mysql:host=127.0.0.1;port=3306;dbname=wenku;charset=utf8mb4
  2. SHOW FULL COLUMNS FROM `fenlei` [ RunTime:0.001467s ]
  3. SELECT * FROM `fenlei` WHERE `fid` = 0 [ RunTime:0.000804s ]
  4. SELECT * FROM `fenlei` WHERE `fid` = 63 [ RunTime:0.000626s ]
  5. SHOW FULL COLUMNS FROM `set` [ RunTime:0.001345s ]
  6. SELECT * FROM `set` [ RunTime:0.000591s ]
  7. SHOW FULL COLUMNS FROM `wendang` [ RunTime:0.001856s ]
  8. SELECT * FROM `wendang` WHERE `id` = 329863 LIMIT 1 [ RunTime:0.001135s ]
  9. UPDATE `wendang` SET `liulancishu` = 2 WHERE `id` = 329863 [ RunTime:0.004382s ]
  10. UPDATE `wendang` SET `lasttime` = 1772323538 WHERE `id` = 329863 [ RunTime:0.001116s ]
  11. SELECT * FROM `wendang` WHERE `id` < 329863 ORDER BY `id` DESC LIMIT 1 [ RunTime:0.001275s ]
  12. SELECT * FROM `wendang` WHERE `id` > 329863 ORDER BY `id` ASC LIMIT 1 [ RunTime:0.000984s ]
  13. SELECT * FROM `wendang` WHERE `id` <> 329863 ORDER BY `id` DESC LIMIT 10 [ RunTime:0.003744s ]
  14. SELECT * FROM `wendang` WHERE `id` <> 329863 ORDER BY `id` DESC LIMIT 10,10 [ RunTime:0.006771s ]
  15. SELECT * FROM `wendang` WHERE `id` <> 329863 ORDER BY `id` DESC LIMIT 20,10 [ RunTime:0.003581s ]
0.206331s