当前位置:首页>文档>2009年高考安徽卷(文综历史部分)(答案)_全国卷+地方卷_7.历史_1.历史高考真题试卷_2008-2020年_地方卷_安徽高考历史08-20

2009年高考安徽卷(文综历史部分)(答案)_全国卷+地方卷_7.历史_1.历史高考真题试卷_2008-2020年_地方卷_安徽高考历史08-20

  • 2026-04-09 10:53:51 2026-03-04 20:09:10

文档预览

2009年高考安徽卷(文综历史部分)(答案)_全国卷+地方卷_7.历史_1.历史高考真题试卷_2008-2020年_地方卷_安徽高考历史08-20
2009年高考安徽卷(文综历史部分)(答案)_全国卷+地方卷_7.历史_1.历史高考真题试卷_2008-2020年_地方卷_安徽高考历史08-20
2009年高考安徽卷(文综历史部分)(答案)_全国卷+地方卷_7.历史_1.历史高考真题试卷_2008-2020年_地方卷_安徽高考历史08-20
2009年高考安徽卷(文综历史部分)(答案)_全国卷+地方卷_7.历史_1.历史高考真题试卷_2008-2020年_地方卷_安徽高考历史08-20
2009年高考安徽卷(文综历史部分)(答案)_全国卷+地方卷_7.历史_1.历史高考真题试卷_2008-2020年_地方卷_安徽高考历史08-20
2009年高考安徽卷(文综历史部分)(答案)_全国卷+地方卷_7.历史_1.历史高考真题试卷_2008-2020年_地方卷_安徽高考历史08-20

文档信息

文档格式
doc
文档大小
0.754 MB
文档页数
6 页
上传时间
2026-03-04 20:09:10

文档内容

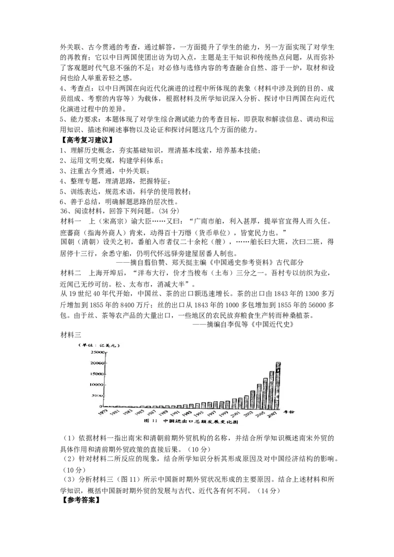
2009 年高考安徽卷文综历史部分【解析】 12、下列四图反应了安徽省在不同历史时期所属行政区划的沿革状况,按时间先后顺序排 列,正确的是 A.③④②① B.②④③① C.④③①② D.①③②④ 答案:A 【解析】立意:考查历史主干知识。 考点:中国古代政治制度史,分封制、中央集权制。 能力目标:再认再现历史史实的识记能力,识图能力;归纳中国古代地方行政制度 的纵向演变过程。 特点:凸显安徽省自主命题地方特色,史地结合。 启示:重视地图教学,进行小专题归纳。 13、儒家思想经过不断发展,逐渐成为中国传统文化的主流。一下言论最能体现其适应加 强中央集权需要的是 A.“为政以德,譬如北辰,居其所而众星共(拱)之。” B.“以德兼人者王,以力兼人者弱,以富兼人者贫。” C.“诸不在六艺之科、孔子之术者,皆绝其道,勿使并进。” D.“我之出而仕也,为天下,非为君也。 答案:C 【解析】: 立意:全球化下依然要重视中国的传统文化,民族的才是世界的。 考点:中国古代传统文化主流思想的演变,孔子、荀子、董仲舒、黄宗羲思想。 能力目标:再认再现思想家的主张,理解其思想内涵。 特点:小切入点,考查古文的理解能力。文史结合。 启示:教学中着重引导学生理解思想家思想的内涵,进行小专题归纳。 14、西方学者查尔斯·默里在《文明的【解析】》一书中以下图表示公园 600~1800年中 国绘画的发展状况。约每200年间出现一个高峰。处于该图第一个高峰期的著名画家是 A.顾恺之 B.吴道子 C.张择端 D.郑板桥 答案:B【解析】:立意:设置新情境考查美术史。 考点:中国古代主要的画家。 能力目标:历史的识记能力,读图能力。 特点:以图表的形式考查文化史,开拓思路,颇具新意。 启示:教学中引导学生关注文化史中的美术史。 15、下列图片反映了清末民初社会生活的变化,其中具有反清革命色彩的是 答案:B 【解析】:立意:考查新课课标增加的内容,社会生活的变化与政治的关系。 考点:清末民国初社会生活的变迁。 能力目标:读图能力、理解时代特征的能力。 特点:思维力度较大,提高了选择题的难度。 启示:教学中重视解读历史图片,指导学生进行横向联系,掌握社会政治、经济、思想文 化与社会生活的关系。 16.抗日战争期间,延安“吸引了一个美国军事观察团、一些美国国务院外交官和一个美 国总统特使前来访问,另外还有大批外国记者前来采访”。其主要原因是 A.中共领袖人物的个人魅力 B.中共的抗日主张得到了普遍认同 C.中共坚持抗战赢得了国际友人的广泛同情 D.中共领导的抗日力量在抗战中的地位日显重要 答案D。 【解析】:立意:考查中共在抗日战争中的地位 考点:考查近代中国的民主革命中的中国军民的抗日斗争内容。 能力目标:考查学生论证和探讨问题的能力,并在此基础上调动、运用所学知识的能力。 特点:,引用了新材料,设置了新情境,符合新课标的要求。 启示:教学中应加强历史材料方面的教学,培养学生阅读、整理、理解材料的能力。 17.公元前453年,由三名贵族组成的罗马考察团前往希腊,经过近一年的考察,认为雅 典的政治制度是“外观的民主,实质的独裁”。这种说法的主要理由是 A.雅典的民主制度是一种直接民主制 B.广大妇女不能参加城邦的公民大会 C.向雅典城邦纳税的外邦人无选举权 D.城邦的实权掌握在少数奴隶主手中 答案:D 【解析】:立意:新史观的引入。 考点:主要考查古代雅典的民主政治的内容。 能力目标:考查学生获取和解读有效信息的能力,并在此基础上调动、运用所学知识的能 力。 特点:新史观与传统史观的综合运用,兼有传统的阶级斗争史观与文明史观。 启示:教学中注意引入新的史学观:如文明史观、现代化史观、全球史观、社会史观等,拓宽学生的视野。 18.美国独立战争期间,托马斯·潘恩在《常识》中告诫民众:“君主政体意味着我们自 身的堕落和失势,同样地,被人当作权利来争夺的世袭,则是对我们子孙的侮辱和欺 骗。”这一观点的理论依据是 A. 人文主义 B.民族主义 C.天赋人权说 D.三权分立学说 答案C。 【解析】:立意:考查西方资产阶级民主思想。 考点:考查美国独立战争时期的启蒙思想及对美国政体的影响。 能力目标:考查学生获取和解读有效信息的能力,并在此基础上调动、运用所学知识的能 力。 特点:引用了新材料,设置了新情境,符合新课标的要求。 启示:加强历史材料方面的教学,培养学生获取和解读有效信息的能力。 19.被西方教会势力指责为“意在扰乱对神的信仰,企图毁灭上帝”,而中国启蒙思想家 严复则认为“其彰人耳目,改易思理,甚于奈端(牛顿)氏之天算格致”的学说是 A.日心说 B.进化论 C.量子论 D.相对论 答案:B 【解析】:立意:考查概念“进化论”和严复在推动中国思想近现代化方面的贡献。 考点:考查近现代的科学技术内容,以及对它们的准确理解。 能力目标:考查学生获取和解读有效信息的能力,并在此基础上调动、运用所学知识的能 力,注重在历史情境中考查学生知识运用能力。 特点:新材料、新情境的设置,中外关联。 启示:加强历史概念教学,注重中外对比。 20.1961年第一次不结盟国家和政府首脑会议通过的宣言指出:“现有的军事集团正在 发展成为越来越强大的军事、经济和政治集团,根据逻辑和它们的相互关系的性质看来, 必然不时引起国际关系恶化。”这句话中“它们的相互关系的性质”是 A.互相妥协 B.互相竞争 C.互相合作 D.互相对峙 答案:D 【解析】:立意:战后初期以美苏两大国为首的北约和华约两大军事集团相互关系的性质。 考点:考查第二次世界大战后世界政治格局的演变中的多极化趋势在曲折中发展的内容, 重点是美苏两极格局的关系实质. 能力目标:考查学生获取和解读有效信息的能力,在此基础上考查对两大军事集团相互关 系内涵的理解。 特点: 在材料中考查对历史概念的理解 启示:加强历史概念的教学,注重引导学生对历史概念内涵和外延的分析和理解。 21.图4是20世纪60年代后期在越南发表的反映当时战争的漫画, 能直接体现作者意图的标题是 A.“怎么会这样?” B.“糟糕的战争!” C.美国侵略者的命运 D.法国侵略者的下场 答案:C 【解析】:立意:创设新情景,考查对必修一“冷战”阴影下的 国际关系中的越南战争的理解。 考点:考查必修一“冷战”阴影下的国际关系中的越南战争这个考 点。 能力目标:考查学生审题能力(题干中的在越南发表)获取和解读 有效信息的能力(图片中的飞机坠毁,士兵陷入泥潭)。特点:以漫画的形式考查获取和解读有效信息的能力,设计新颖。 启示:加强审题能力的培养,教学中注重引导学生对漫画中有效信息的获取和解读。 22.19世纪30年代以后,欧美文学的主流着力于表现社会生活、关注社会问题、揭示社 会矛盾、批判社会罪恶。属于这一文学主流的名著是 A.《大卫·科波菲尔》 B.《老人与海》 C.《巴黎圣母院》 D.《等待戈多》 答案:A 【解析】: 立意:考查是现实主义文学的特点和典型代表作品。 考点:考查19世纪以来的世界文学艺术中的文学的主要成就:不同时期的主要文学流派的 特点及代表作品。 能力目标:考查学生审题能力,并在此基础上调动、运用所学知识的能力。 特点:重视对课本基础知识的记忆考查。 启示:引导学生多多看书,加强基础知识的记忆,注重基础知识的积累。 35.(22分)19世纪中期,中日两国相继走上近代化道路,而在甲午战争中,中国却败于 日本。阅读材料,回答下列问题。 为了劝阻西方列强以“修约”为借口要换中国,清政府聘用卸任美国驻华公使蒲安臣率使 团于1868年2月至1870年10月访问了欧美11个国家。该使团以记名海关道志刚、礼部朗 中孙家谷为办理中外交涉事务大臣,英国使馆翻译柏卓安、法籍海关税务司德善为左右协 理,经蒲安臣使团交涉,美英等国表示对华将采取“节制和温和”的政策。志刚等人还记 载了出访的行程和外国的风土人情。使团回国以后,由于人微言轻,对政府决策没有产生 会么影响。 1871年12月至1873年9月。日本政府为了修改不平等条约。“求知识于世界”派岩仓使 节团访问欧美12个国家。该使团以右大臣岩仓具视为特命全权大使,参议木户孝允、大藏 卿大久保利通、工部大辅伊藤博文、外务少辅山口尚芳国副使。岩仓使节团在修约方面虽 然没服得进展,却考察了政府机构、议会、法院、公司、交易所、工厂、矿山、港口、农 牧场、兵营、学校、报社和福利设施,从各个方面加深了对西方近代文明的认识和理解。 --摘编自王绍坊《中国外交史》、伊文成等主编《明治维新史》等 (1)中日两国使团的出使目的、成员组成有何不同?由此分析两国统治集团对近代化的态 度。(10分) (2)联系两国使团出访的史实,运用所学知识,比较这一时期中日两国近代化的主要差异。 (12分) 【参考答案】(1)中国为了劝阻列强“修约”,防止其扩大侵略权益;日本为了与列强修 改不平等条约,向西方学习。中国聘用外国人为团长,主要成员为中下级官员;日本以本 国人为团长,主要成员为明治政府要员。晚清政府重视不够,被动应付西方工业文明的冲 击;明治政府高度重视,主动适应近代化要求。 (2)中国学习西方主要限于器物层面;日本全面学习西方。中国近代化的倡导者是洋务派; 日本的近代化以明治政府为主导。中国未实现预期目标;日本基本完成了向近代社会的转 型。 【试题点评】 1、命题立意:本题充分体现了高考命题的指导思想,即现代化史观,较好地体现了中外关 联的命题指向。 2、试题形式:材料型问答题,主要是文字材料 3、试题特色:本题属于中日近代化比较题,试题不拘泥于历史教科书编排的顺序,而是中外关联、古今贯通的考查,通过解答,一方面提升了学生的能力,另一方面实现了对学生 的再教育;它以中日两国使团出访为切入点,主题是主干知识和传统热点问题,从而弥补 了客观题时代气息不强的不足;对必修与选修内容的考查融合自然、溶于一炉,取材和设 问也给人举重若轻之感。 4、考查点:以中日两国在向近代化演进的过程中所体现的表象(材料中涉及到的目的、成 员组成、考察的内容等)为载体,根据材料及所学知识深入分析、探讨中日两国在向近代 化演进过程中的差异。 5、能力要求:本题体现了对学生综合测试能力的考查目标,即获取和解读信息、调动和运 用知识、描述和阐述事物以及论证和探讨问题这几个方面的能力。 【高考复习建议】 1、理解历史概念,夯实基础知识,理清基本线索,培养基本技能; 2、运用文明史观,构建学科体系; 3、注重古今贯通,中外关联; 4、整理专题,理清思路,把握特征; 5、训练表达,规范术语,科学的使用教材; 6、善于总结,明确解题思路的层次性。 36、阅读材料,回答下列问题。(34分) 材料一 上(宋高宗)谕大臣……又曰:“广南市舶,利入甚厚,提举官宜得人而久任。 庶蕃商(指海外商人)肯来,动得百十万缗(货币单位),皆宽民力也。” 国朝(清朝)设关之初,番舶入市者仅二十余柁(艘),……舶长曰大班,次曰二班,得 居停十三行,余悉守舶,仍明代怀远驿旁建屋居番人制也。 ——摘自翦伯赞、郑天挺主编《中国通史参考资料》古代部分 材料二 上海开埠后,“洋布大行,价才当梭布(土布)三分之一。吾村专以纺织为业, 近闻已无纱可纺。松、太布市,消减大半”。 从19世纪40年代开始,中国丝、茶的出口额迅速增长。茶的出口由1843年的1300多万 斤增加到1855年的8400万斤;丝的出口从1843年的1000多包增加到1855年的56000多 包。由于丝、茶等农产品的大量出口,一些地区的农民放弃粮食生产转而种桑植茶。 ——摘编自李侃等《中国近代史》 材料三 (1)依据材料一指出南宋和清朝前期外贸机构的名称,并结合所学知识概述南宋外贸的 具体作用和清前期外贸政策的直接后果。(10分) (2)针对材料二所反应的现象,结合所学知识分析其形成原因及对中国经济结构的影响。 (10分) (3)分析材料三(图11)所示中国新时期外贸状况形成的主要原因。结合上述材料和所 学知识,概括中国新时期外贸的发展与古代、近代各有何不同。(14分) 【参考答案】(1)南宋:市舶司 清朝:十三行。 作用:南宋外贸税收丰厚,成为政府的重要财源之一,可减轻百姓负担。 直接后果:清朝前期对外贸易因受到严格限制而渐趋萎缩;阻碍了中外经济文化交流。 (2)原因:由于西方列强侵略,清政府被迫签订了一系列不平等条约而开埠通商;中国 在经济上落后于西方。 影响:中国传统的农业与家庭手工业相结合的自然经济开始解体;逐步沦为资本主义国家 的商品倾销市场和原料产地;客观上有利于商品经济的发展和民族资本主义的产生。 (3)十一届三中全会确立了以经济建设为中心和改革开放的政策;计划经济体制逐步过 渡到社会主义市场经济体制;中国加入世界贸易组织;新时期政府积极推动,外贸持续快 速增长;古代外贸受官府控制,不同时期发展不平衡。新时期外贸从社会发展的内在需要 出发,顺应了经济全球化趋势,具有主动性;近代外贸在半殖民地半封建社会环境中扭曲 发展,具有被动性。 【试题点评】 1、命题: 立意:于重现中国历史中对外交往的经济贸易基本事实,中国古代、近代、现代的对外贸 易情况以及出现的原因和影响,认识新中国对外交往中贸易立国的开放事实,体会改革开 放30年的伟大成就,坚定中国特色社会主义道路的信心。 形式:材料型问答题,呈现文字和图表。 考查考点:古代中国的经济中商业的发展;近代中国经济结构的变化;现代中国特色社会 主义建设的道路;第二次世界大战后世界经济的全球化趋势中世界贸易组织和中国的加入 等内容。 考查能力:识记再现;阅读归纳;综合分析;纵向比较分析。 视野:全球史观 2、命题的基本特点:从隐性热点“软性”切入,时间大跨度的命题方式;命题围绕一个中 心“经济贸易”,由局部解决(时段)再到整体认知,设问指向明确,以时代为顺序,依 次展开,抓住主干知识和课程标准,争取历史知识全面性考察,从而奠定整体分析的基础 典型体现目前高考试卷命题的一个基本规则:热点介入,局部阶段分析,整体认知,兼顾 三维目标。 【高考复习建议】 (1)依据课程标准,不仅注重章节明确的目标要求还要注意模块的整体要求。. (2)教材知识整理工作,不图省快,应把知识体系建立在扎实的知识点上,注意宏观整体 中的阶段性历史特征。 (3)认真应对热点,合理调整复习的角度和层次。 (4)做好习题特点分析和应对策略的复习指导。