当前位置:首页>文档>2015年浙江省高考生物10月(解析版)_全国卷+地方卷_6.生物_1.生物高考真题试卷_2008-2020年_地方卷_浙江高考生物08-21_A4word版

2015年浙江省高考生物10月(解析版)_全国卷+地方卷_6.生物_1.生物高考真题试卷_2008-2020年_地方卷_浙江高考生物08-21_A4word版

  • 2026-04-18 10:56:35 2026-03-05 18:26:56

文档预览

2015年浙江省高考生物10月(解析版)_全国卷+地方卷_6.生物_1.生物高考真题试卷_2008-2020年_地方卷_浙江高考生物08-21_A4word版
2015年浙江省高考生物10月(解析版)_全国卷+地方卷_6.生物_1.生物高考真题试卷_2008-2020年_地方卷_浙江高考生物08-21_A4word版
2015年浙江省高考生物10月(解析版)_全国卷+地方卷_6.生物_1.生物高考真题试卷_2008-2020年_地方卷_浙江高考生物08-21_A4word版
2015年浙江省高考生物10月(解析版)_全国卷+地方卷_6.生物_1.生物高考真题试卷_2008-2020年_地方卷_浙江高考生物08-21_A4word版
2015年浙江省高考生物10月(解析版)_全国卷+地方卷_6.生物_1.生物高考真题试卷_2008-2020年_地方卷_浙江高考生物08-21_A4word版
2015年浙江省高考生物10月(解析版)_全国卷+地方卷_6.生物_1.生物高考真题试卷_2008-2020年_地方卷_浙江高考生物08-21_A4word版
2015年浙江省高考生物10月(解析版)_全国卷+地方卷_6.生物_1.生物高考真题试卷_2008-2020年_地方卷_浙江高考生物08-21_A4word版
2015年浙江省高考生物10月(解析版)_全国卷+地方卷_6.生物_1.生物高考真题试卷_2008-2020年_地方卷_浙江高考生物08-21_A4word版
2015年浙江省高考生物10月(解析版)_全国卷+地方卷_6.生物_1.生物高考真题试卷_2008-2020年_地方卷_浙江高考生物08-21_A4word版
2015年浙江省高考生物10月(解析版)_全国卷+地方卷_6.生物_1.生物高考真题试卷_2008-2020年_地方卷_浙江高考生物08-21_A4word版

文档信息

文档格式
doc
文档大小
0.247 MB
文档页数
10 页
上传时间
2026-03-05 18:26:56

文档内容

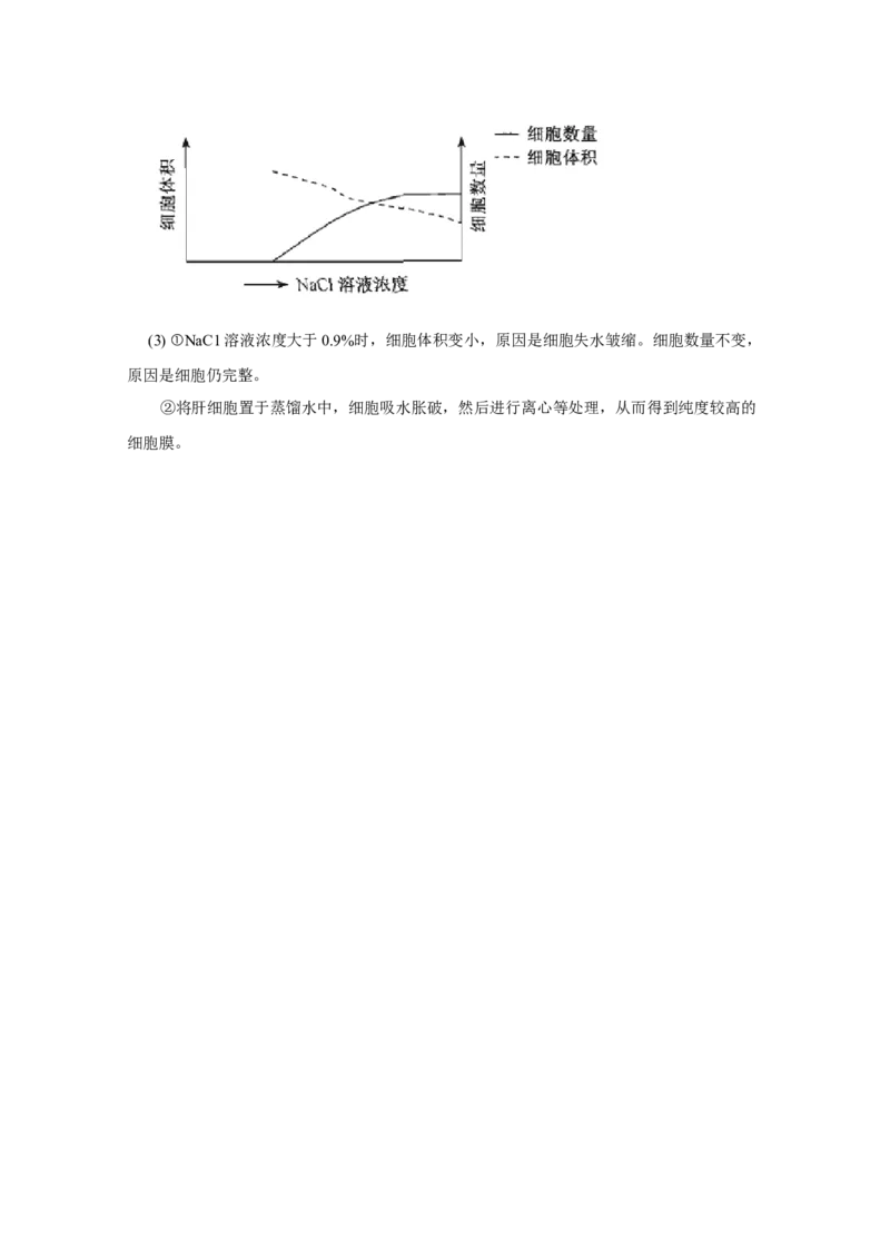
2015 年 10 月浙江省普通高校招生选考科目考试 生物试题 一、选择题(本大题共28小题,每小题2分,共56分。每小题列出的四个备选项中只有一个 是符合题目要求的,不选、多选、错选均不得分) 1.下列属于原核生物的是 A.乳酸细菌 B.小麦 C.家兔 D.蜜蜂 2.造成温室效应的主要因素是 A.泥石流频发 B.臭氧减少 C.酸雨普降 D.大气中CO 浓度增加 2 3.经大量家系调查发现,外耳道多毛症只发生于男性,女性无此症。该症属于 A. X连锁遗传 B. Y连锁遗传 C.多基因遗传 D.常染色体遗传 4.某生物种群由基因型为AA, Aa, as的个体组成,基因A的频率为70% ,则基因a的频率二 A. 30% B. 60% C. 35% D. 70% 5.人类的特纳氏综合征是由于缺少一条性染色体引起的变异。该变异的类型是 A.基因突变 B.染色体数目变异 C.基因重组 D.染色体结构变异 6.地球上最大的生态系统是 A一片草地 B.生物圈 C一个池塘 D一片森林 7.下列关于艾滋病的叙述,错误的是 A.艾滋病的病原体是HIV B.艾滋病病毒可通过血液传播 C.艾滋病患者晚期免疫功能增强 D.艾滋病病毒主要攻击辅助性T细胞 8.下列不属于人体细胞外液成分的是 A.水 B.红细胞 C.钠离子 D.氧气 9.下列激素中含碘的是 A.生长激素 B.雄激素 C.甲状腺激素 D.雌激素 10.受精卵经多次分裂产生形态、结构和功能不同的后代细胞,发生这种差异的过程称为 A.细胞分化 B.细胞癌变 C.细胞衰老 D.细胞凋亡 n.所有生物都用一套基本相同的遗传密码,这一事实说明生物具有 A.统一性 B.多样性 C.变异性 D.特异性 12.用不透光罩子罩住玉米幼苗尖端,然后给予单侧光照,如图所示。 一段时间后,幼苗将 A.向光弯曲生长 B.背光弯曲生长 C.向上直立生长 D.停止生长 13.下列属于诱变育种的是A.用γ射线处理籼稻种子,培育出早熟的新品种 B.将抗虫基因转人普通棉的体细胞中,培育出抗虫棉 C.用秋水仙素处理二倍体草莓幼苗,培育出多倍体草莓 D.将抗病黄果肉番茄与感病红果肉番茄杂交,培育出新品种 14.下列关于种群特征的叙述,正确的是 A.年龄结构不影响种群密度 B.不同种群的种群密度没有差异 C.性比率的改变不影响种群密度 D.出生率减去死亡率等于自然增长率 15.下列关于真核细胞中①~④结构与功能的叙述,正确的是 A.①是合成磷脂和氧化酒精的场所 B.②是分拣和转运蛋白质的场所 C.③是利用光能合成淀粉的场所 D.④是贮存和复制遗传物质的场所 16.下列关于高等动物细胞的细胞周期的叙述,错误的是 A.分裂间期进行DNA复制 B.前期开始出现染色体和纺锤体 C.中期是观察染色体形态的最佳时期 D.末期进行着丝粒的分裂 17.温度对甲、乙两种酶活性的影响如图所示。下列叙述正确的是 A.甲酶保持活性的温度范围大于乙酶 B.甲酶的活性始终高于乙酶 C.乙酶在55℃后完全失去活性 D.乙酶的最适温度高于甲酶 18.下列关于人体需氧呼吸的叙述,正确的是 A.电子传递链产生的ATP最多 B.柠檬酸循环中O 与结合生成水 2 C.与糖酵解有关的酶分布在线粒体的峙上 D.丙酮酸在细胞溶胶中分解产生二氧化碳 19.用质量浓度为0. 3g/mL的蔗糖溶液浸润紫色洋葱鳞片叶外表 皮,在显微镜下观察到如图所示的结果。下列叙述错误的是 A.①表示细胞壁 B.②的体积比实验初期大 C.③处充满着蔗糖溶液D.④的颜色比实验初期深 20.下列关于检测生物组织中化合物实验的叙述,正确的是 A.向淀粉溶液中加人碘一碘化钾溶液,反应后呈橙黄色 B.向葡萄糖溶液中加人本尼迪特试剂,加热后呈红黄色 C.向蛋清液中加人双缩脉试剂A液,加热后溶液呈紫色 D.用苏丹III染液处理花生子叶切片,观察到油滴呈蓝色 21.种群的数量变化曲线如图中a,b;所示。下列叙述正确的是 A.当种群数量达到K值时出生率等于零 B.当某害虫种群数量达到K/2时,进行杀虫效果最佳 C.若空间充足,种群数量增长一定如曲线a所示 D.若曲线b1变成曲线b2,说明该种群生存环境变得恶劣 22.下列关于用32P标记的T2噬菌体侵染35S标记的大肠杆菌 实验的叙述,错误的是 A.子代噬菌体的DNA控制子代噬菌体的蛋白质合成 B.合成子代噬菌体外壳的原料来自大肠杆菌,子代噬菌体外壳都含35S C.合成子代噬菌体DNA的原料来自大肠杆菌,子代噬菌体DNA都不含32P D.大肠杆菌的DNA中嘌呤碱基之和与嘧啶碱基之和的比值与噬菌体的相同 23.右图表示某同学制作的DNA双螺旋结构模型的一个片段。其中存在的错误有 A. 3处 B.5处 C.7处 D.8处 24.下列关于免疫的叙述,正确的是 A.巨噬细胞能特异性识别进人体内的抗原 B.当相同的抗原再次进人机体后会产生更多数 量的抗体 C.皮肤破损出现局部炎症反应属于人体对抗病原体的第一道防线 D.效应细胞毒性T细胞识别被病原体感染的体细胞并消灭病原体 25.某基因型为AaBb的雄性动物,其精原细胞形成精细胞过程中某个时期的示意图如下。 下列叙述正确的是 A.该细胞是次级精母细胞B.细胞中有1个四分体、4条染色体 C.该细胞分裂后最终形成2种类型的精细胞 D.细胞中A与A,A与a分别在MⅠ,MⅡ期分离 26.【加试题】某小组进行了低温弱光对番茄幼苗光合作用影响的实验,对照组:25℃, 600μmol·m-2s-1(光强单位),处理16天;实验组:5℃,600μmol·m-2s-1,先处理8天,再恢复到 对照组条件处理8天。实验结果如图所示。下列叙述正确的是 A.实验组植株光合速率与气孔导度呈负相关 B.实验组植株第16天的光饱和点比第8天的高 C. 5℃低温处理番茄幼苗,对其光合作用造成的影响是不可恢复的 D.若在第4天给实验组植株提供对照组条件,则瞬间叶肉细胞中核酮糖二磷酸的含量上 升 27. 【加试题】以蛙坐骨神经排肠肌标本为材料,在适宜条件下进行实验。下列叙述正确 的是 A.电刺激坐骨神经,腓肠肌不收缩 B.电刺激坐骨神经,同时腓肠肌收缩 C.电刺激腓肠肌,腓肠肌收缩 D.电刺激腓肠肌,肌膜上测不到动作电位 28.【加试题】人类红细胞ABO血型的基因表达及血型的形成过程如图所示。下列叙述正 确的是 A. H基因正常表达时,一种血型对应一种基因型B.若IA基因缺失一个碱基对,表达形成的多肤链就会发生一个氨基酸的改变 C. H基因正常表达时,IA基因以任一链为模板转录和翻译产生A酶,表现为A型 D. H酶缺乏者(罕见的O型)生育了一个AB型的子代,说明子代H基因表达形成了H酶 二、非选择题(本大题共5小题,共44分) 29. (6分)某农田生态系统的食物网如图所示,请回答: (1)该农田生态系统中的生产者是 。写出该食物网中最短的一条食物链 。 (2)黑鸢在最长的食物链中处于第 个营养级。从能量流动角度看,处于食物链顶位 的黑鸢种群数量最少、能量也最少,原因是能量流动是单向的且 。 (3)为控制农田鼠害提供依据,可用 法调查黑线姬鼠的种群密度。 (4)若施用某农药控制三化螟的数量,会导致该农药在黑莺体内积累并对其造成危害。这种 现象称为 。 30. (7分)图甲是探究光对黑藻光合作用影响的实验装置,光源位置固定,且光照时间一定, 反应室的溶液中含有适量'NaHC03。图乙为黑藻叶绿体中的某生理过程。请回答:(1)本实验中黑藻的光合速率可用单位时间的 表示。 (2)若变换图甲中的光源,可改变光的 或 。 (3)图乙所示的生理过程为 循环,该循环从一个 开始,每形成1分子 三碳糖磷酸需经过 轮该循环。三碳糖磷酸大部分运至叶绿体外转变成 ,供植物细胞利用。 31. (7分)某雌雄异株植物的紫花与白花(设基因为A,a)、宽叶与窄叶(设基因为B,b)是两对 相对性状。将紫花宽叶雌株与白花窄叶 雄株杂交,F1无论雌雄全部为紫花宽 叶,F1雌、雄植株相互杂交后得到的 F2如图所示。 请回答: (1)宽叶与窄叶这对相对性状中, 是显性性状。A,a和B,b这两对基因位 于 对染色体上。 (2)只考虑花色,F1全为紫花,F2出现图中不同表现型的现象称为 。 (3) F2中紫花宽叶雄株的基因型为 ,其中杂合子占 。 (4)欲测定F2中白花宽叶雌株的基因型,可将其与基因型为 的雄株测交,若后 代表现型及其比例为 ___________________________ _ ,则白花宽叶雌株为杂合子。 32.【加试题](14分)科研人员拟将已知的花色基因(目的基因)转人矮牵牛的核基因组中,培 育新花色的矮牵牛。请回答: (1)为了获得大量的目的基因,将其与含有抗生素抗性基因的质粒DNA形成重组DNA,再 与经 (A.氯化钙B.氯化钠C.蔗糖D.葡萄糖)处理的大肠杆菌液混合,使重组DNA进人大肠杆菌。用 的玻璃刮刀将稀释后的大肠杆菌液 接种到含有抗生素 的固体培养基上,经培养形成 ,再进行鉴定和扩大培养。 (2)从扩大培养的大肠杆菌中提取含有目的基因的DNA,用 分别切割 含目的基因的 DNA和农杆菌的Ti质粒,然后用DNA连接酶连接,形成重组DNA并导入农 杆菌。 (3)取田间矮牵牛的幼嫩叶片,经自来水冲洗,先用70% 浸泡,再用5%次氯酸钠浸 泡,最后用 清洗,作为转基因的受体材料。 (4)将消毒后的矮牵牛叶片剪成小片,在含有目的基因的农杆菌溶液中浸泡后,取出并转移 至加有适当配比生长调节剂的MS培养基(含蔗糖、琼脂和抗生素,下同)上,使叶小叶先脱 分化形成 。再将其转移至另一培养基诱导形成芽,芽切割后转移至 ( A. LB培养基 B. MS培养基+适宜浓度NAA C. MS培养基+适宜浓度BA D. NAA/BA小 于1的MS培养基)上生根,形成完整植株。 (5)取出试管苗,在适宜的光照、温度和80%以上的 等条件下进行炼苗。提取 叶片组织的DN A,采用PCR技术 目的基因,鉴定目的基因是否成功导入。 (6)为判断本研究是否达到预期目的,可比较转基因植株和非转基因植株的 性状。 33.【加试题】(10分)欲进行小鼠肝细胞在不同浓度NaCI溶液中发生体积和数量变化的实 验, 请根据以下提供的实验材料与用具,提出实验思路,预测实验结果并进行分析。 材料与用具:小鼠肝细胞悬液(用质量分数为0. 9%NaCI溶液配制)、质量分数为1. 3% NaCI溶液、蒸馏水、试管若干支、血细胞计数板、显微镜(具有测距功能)等。 (要求与说明:对NaCI溶液的具体稀释过程、细胞计数的具体操作过程不作要求。不考虑 细胞体积变化对计数的影响。绘制曲线时的细胞体积指细胞的平均体积。) 请回答: (1)实验思路: ① (2)预测实验结果(在以下坐标系中,绘制细胞体积和细胞数量变化示意曲线):(3)分析与讨论: ①当NaCI溶液浓度大于0. 9%时,细胞体积与数量发生的变化及其原因是什么? ②基于上述实验,怎样才能用肝细胞分离得到纯度较高的细胞膜? 生物试题参考答案一、选择题(本大题共28小题,每小题2分,共56分) 1. A 2. D 3. B 4, A 5. B 6. B 7. C 8, B 9. C 10. A 11.A 12.C 13.A 14.D 15.B 16.D 17.D 18.A 19. B 20. B 21.D 22.C 23.C 24.B 25.C 26.B 27.C 28.D 二、非选择题(本大题共5小题,共44分) 29. (6分) (1)水稻水稻→黑线姬鼠→黑鸢 (2)五 传递效率约10%(逐级递减) (3)标志重捕 (4)生物放大 30. (7分) (1)氧气释放量 (2)强度 波长 (3)卡尔文 RuBP 3 蔗糖 31. (7分) (1)宽叶 两 (2)性状分离 (3)AAXBY或AaXBY 2/3 (4)aaXbY 白花宽叶♀,白花窄叶♀,白花宽叶♂,白花窄叶♂=1:1:1:1 32. (14分) (1)A 灭菌 涂布 菌落 (2)限制性核酸内切酶 (3)酒精 无菌水 (4)愈伤组织 B (5)湿度 扩增 (6)花色 33. (10分) (1)①取试管若干支,将质量分数为1. 3 %NaCl溶液由高到低进行浓度梯度稀释。 ②向各支试管中分别加入肝细胞悬液,放置一定时间。 ③取各试管中的肝细胞悬液,分别滴加到血细胞计数板上,在显微镜下计数并测量 细胞直径,记录实验结果。 ④对实验数据进行统计分析。(3) ①NaC1溶液浓度大于0.9%时,细胞体积变小,原因是细胞失水皱缩。细胞数量不变, 原因是细胞仍完整。 ②将肝细胞置于蒸馏水中,细胞吸水胀破,然后进行离心等处理,从而得到纯度较高的 细胞膜。