当前位置:首页>文档>2020年江苏省高考地理试卷_全国卷+地方卷_8.地理_1.地理高考真题试卷_2008-2020年_地方卷_江苏高考地理08-21_A3word版_PDF版(赠送)

2020年江苏省高考地理试卷_全国卷+地方卷_8.地理_1.地理高考真题试卷_2008-2020年_地方卷_江苏高考地理08-21_A3word版_PDF版(赠送)

  • 2026-03-18 06:40:26 2026-03-06 13:22:16

文档预览

2020年江苏省高考地理试卷_全国卷+地方卷_8.地理_1.地理高考真题试卷_2008-2020年_地方卷_江苏高考地理08-21_A3word版_PDF版(赠送)
2020年江苏省高考地理试卷_全国卷+地方卷_8.地理_1.地理高考真题试卷_2008-2020年_地方卷_江苏高考地理08-21_A3word版_PDF版(赠送)
2020年江苏省高考地理试卷_全国卷+地方卷_8.地理_1.地理高考真题试卷_2008-2020年_地方卷_江苏高考地理08-21_A3word版_PDF版(赠送)
2020年江苏省高考地理试卷_全国卷+地方卷_8.地理_1.地理高考真题试卷_2008-2020年_地方卷_江苏高考地理08-21_A3word版_PDF版(赠送)
2020年江苏省高考地理试卷_全国卷+地方卷_8.地理_1.地理高考真题试卷_2008-2020年_地方卷_江苏高考地理08-21_A3word版_PDF版(赠送)
2020年江苏省高考地理试卷_全国卷+地方卷_8.地理_1.地理高考真题试卷_2008-2020年_地方卷_江苏高考地理08-21_A3word版_PDF版(赠送)

文档信息

文档格式
pdf
文档大小
1.938 MB
文档页数
6 页
上传时间
2026-03-06 13:22:16

文档内容

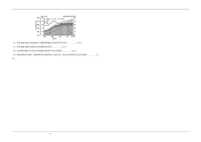
2020 年江苏省高考地理试卷 图3为“亚欧大陆某时刻海平面等压线分布示意图”。读图回答5~6题。 一、选择题(共60分) (一)单项选择题:本大题共18小题,每小题2分,共计36分。在每小题给出的四个选项中,只有一项是符 合题目要求的。 2020年 4月 8日 22时,小明在上海观赏了“超级月亮”。图 1为“月亮视直径最大与最小时的对比示意 图”。据此回答1~2题。 5.下列四地中,吹偏南风的是( ) A.① B.② C.③ D.④ 6.此时①地最可能( ) A.暴雨倾盆水难排 B.细雨蒙蒙衣难干 C.烈日炎炎似火烧 D.黄沙满天车难行 1.从天体运动位置看,此时( ) 选择大洋航线时,应在确保航行安全的前提下,充分考虑气象、海况条件和岛礁等因素,尽可能沿地球表 A.月球位于远地点附近 B.月球位于近地点附近 面大圆(以地心为圆心过地表两点的圆)航行。图4为“巽他海峡西行好望角的大洋航线示意图”。据此回答 C.地月系位于远日点附近 D.地月系位于近日点附近 7~8题。 2.与此时全球昼夜分布状况相符的是( ) A. B. C. D. 图2为“某地地质剖面示意图”。读图回答3~4题。 7.60°E以东航线的选择,主要考虑的是( ) A.航程最短 B.风阻最小 C.逆水最短 D.岛礁最少 8.7月航线西段明显北移,主要是为了( ) A.避开南极冰山 B.减少西风带影响 C.远离热带风暴 D.便于沿途补给 3.最有可能发现溶洞的河谷是( ) 《中巴经济走廊远景规划(2017~2030年》将中国“一带一路”倡议与巴基斯坦“愿景2025”深入对接, A.① B.② C.③ D.④ 为中巴合作带来新机遇。图5为“我国企业在中巴经济走廊重大投资项目分布示意图”。读图回答9~10题。 4.图中断层( ) A.形成后一直在活动 B.比花岗岩形成时间晚 C.导致现代河谷下切 D.比侵蚀面形成时间早 - 1 -13.两山地属于( ) A.昆仑山脉 B.秦岭 C.祁连山脉 D.横断山脉 14.两山地的基带植被类型不同,原因是乙山地( ) 9.我国企业投资的项目主要集中于( ) A.基带更高,热量不足 B.海拔更高,山谷风强 A.采矿和制造业 B.金融和零售业 C.交通和能源 D.教育和医疗 C.基带受焚风作用更强 D.基带原生植被遭破坏 10.影响我国企业投资项目地域分布的最主要因素是( ) 城市群在参与国际竞争与合作,支撑全国经济增长,推进区域协调发展等方面具有重要作用。目前我国已 A.市场规模和劳动力数量 B.区位和资源禀赋 建设19个国家级城市群。图8为“我国城市群空间分布示意图”。读图回答15~16题。 C.基础设施和生态环境 D.政策和文化传统 图6为“某小镇空间格局演化过程示意图”。读图回答11~12题。 11.影响该小镇空间格局演化的主要因素是( ) 15.我国城市群空间分布的主要特点是( ) A.产业结构 B.人口素质 C.环境质量 D.交通方式 A.成熟型城市群分布于东部沿海 B.成长型城市群分布于中部地区 12.“现代拓展区”的建立有利于( ) C.培育型城市群分布于西部地区 D.主要分布于胡焕庸线以东地区 A.减轻自然灾害 B.提高环境容量 C.保护传统地域文化 D.减少温室气体排放 16.符合天山北坡城市群发展定位的是( ) 图7为“甲、乙两山地同纬度的山地垂直带谱示意图”。读图回答13~14题。 A.推动国家经济发展的新引擎 B.“一带一路”重要的综合性枢纽 C.联系各大城市群的重要节点 D.国家高新技术产业的先行高地 我国粮食产量自2004年以来连续16年增长,有效保障了国家粮食安全。图9为“我国不同区域三个年份 粮食产量占比图”。读图回答17~18题。 - 2 -21~22题。 17.下列区域中,对我国粮食安全贡献不断增大的是( ) A.华北平原 B.东北区 C.西南区 D.东南沿海区 21.广西发展桑蚕业得益于( ) 18.制约蒙新区粮食生产地位进一步提升的主要因素是( ) A.土壤肥力高,桑叶生长快 B.热量条件好,结茧次数多 A.土地资源 B.水资源 C.经营规模 D.机械化水平 C.地表水资源多,桑枝萌叶多 D.土地资源丰富,宜桑面积广 (二)双项选择题:本大题共8小题,每小题3分,共计24分。在每小题给出的四个选项中,有两项是符合题 22.广西桑蚕业平怀模式的优势有( ) 目要求的。每小题选两项且全选对者得3分,选错、少选或不选均不得分。 A.桑下种薯,延长了产业链 B.桑枝育菇,发展多种经营 研究人员在调查青藏高原地理环境时,利用遥感技术获得了20世纪80年代以来青藏高原上一千多个湖泊 C.薯、丝加工,增加附加值 D.菌基回田,提高土地利用率 面积的年际变化数据。图 10为“青藏高原色林错地区 1984年和 2015年同期卫星影像图”。据此回答 19~20 图12为“1982年以来我国流动人口总量与分区比例图”。读图回答23~24题。 题。 23.1982年以来,我国流动人口变化的主要特点有( ) 19.下列四地中,地势较低平的两地是( ) A.东部地区占比先升后降 A.① B.② C.③ D.④ B.中西部地区占比持续下降 20.青藏高原环境调查应用遥感技术的优势有( ) C.全国流动人口总量2014年前增加,之后减少 A.遥感光学成像不受天气状况的影响 B.能够获取地面调查人员难以到达地区的信息 D.全国流动人口增长率2014年前增大,之后减小 C.能够快速获取大范围的影像信息 D.可以取代研究人员的地面调查 24.造成三大区域人口流动趋势变化的原因有( ) 随着工业化、城市化推进,桑蚕产业由长江中下游和珠三角地区逐渐西移。2005年以来,广西蚕茧产量稳 A.全国交通条件改善,人口流动的规模进一步加大 居全国首位,桑蚕业助推 35个石漠化贫困县脱贫致富。图 11为“广西桑蚕业平怀模式示意图”。据此回答 - 3 -B.各地户籍政策放开,流动人口逐渐向大城市集中 C.东部地区就业机会多,对流动人口具有持续吸引力 D.中西部地区经济发展,对流动人口吸引力有所增强 斯里兰卡农民依托小流域(平均面积20km2)建设的梯级蓄水池农田系统,被列为“全球重要农业文化遗 产”。图13为“梯级蓄水池农田系统主要分布地区及其模式示意图”。据此回答25~26题。 表1 水文站 马西纳 迪雷 尼亚美 洛科贾 奥尼查 年径流量(km3) 41 30 27 73 182 25.斯里兰卡东北部地区建梯级蓄水池农田系统的主要原因有( ) 年输沙量(万吨) 177 100 350 1290 5800 A.旱、雨季分明,水量分配不均 B.水源不足,需跨流域调配 (1)富塔贾隆高原被称为尼日尔河“水塔”,请分析原因。________(3分) C.水位变化大,航运发展受制约 D.河流短小,调蓄能力有限 (2)说明尼日尔河流经内陆三角洲前后径流量和输沙量发生的变化,并分析其原因。________(4分) 26.梯级蓄水池农田系统可以( ) (3)概述尼日尔河迪雷-洛科贾河段水文特征的变化。________(2分) A.调节小气候 B.扩大土地资源 C.维护生物多样性 D.增加径流总量 (4)简析河口三角洲地区的自然地理环境特征。________(4分) 二、综合题:本大题分必做题(第27题~第29题)和选做题(第30题),共计60分。 28.阅读材料,回答下列问题。(13分) 27.阅读材料,回答下列问题。(13分) 材料一 湖北省黄石市是武汉都市圈的副中心城市,有“青铜古都”“钢铁摇篮”“水泥故乡”之称。图15 材料一 尼日尔河源于富塔贾隆高原,注入几内亚湾,全长约4200km,流域面积210万km2,在塞古-迪雷 为“黄石市区位示意图”。 间的盆地形成大型内陆三角洲,在几内亚湾发育了巨型河口三角洲。 材料二 黄石市2008年被定为资源枯竭转型试点城市,2015年年底关闭第一批露天矿山,采掘业产值明 材料二 图14为“尼日尔河流域及降水分布示意图”,表1为“尼日尔河部分水文站年径流量与年输沙量 显下降。图16为“2008~2017年黄石市GDP和三次产业结构统计图”,图17为“2008~2017年黄石市轻重工业 统计表”。 产值统计图”。 - 4 -(1)简述当前黄石市产业结构的特点。________(3分) (1)说出甲、乙两海域海底地形类型,并描述乙海域海底地形的主要特点。________(4分) (2)说明目前黄石市第二产业发展的有利条件。________(4分) (2)与甲海域相比,说明乙海域海水盐度的特点。________(3分) (3)简析黄石市第二产业转型升级的主要方向。________(2分) (3)与乙海域相比,分析甲海域表、底层海水温度的特点,并说明影响因素。________(3分) (4)要实现黄石市可持续发展,你认为可采取哪些有效措施?________(4分) B.[城乡规划]图22为“某城市中心城区空间结构规划示意图”。回答下列问题。(10分) 29.阅读材料,回答下列问题。(14分) 材料一 咖啡原产于非洲,现在我国云南、四川、海南、福建和台湾等地均有种植,但90%以上种植面积 集中于云南。图18为“咖啡原产地非洲某地的咖啡种植分布示意图”。 材料二 咖啡种植已成为我国云南部分地区支柱产业、出口创汇产业和农村扶贫产业,2014年被农业部列 入重点支持发展的特色产业。目前我国咖啡生豆产量位列全球第13位,但人均咖啡消费水平低,产业利润丰厚 的加工、流通环节多为外国品牌控制。图19为“我国咖啡种植面积和生豆产量、出口量、消费量统计图”。 (1)简述该城市空间形态类型及其影响因素。________(3分) (2)你认为①~④地中,最宜布局高品质住宅区的地点并说明理由。________(3分) (3)简析该城市规划可能对市民生活产生的影响。________(4分) C.[旅游地理]呼伦贝尔大草原是世界四大草原之一。呼伦贝尔市拥有5A级景区1家、4A级景区16家、国家 (1)结合咖啡原产地和我国的种植状况,概述适宜种植咖啡的地区应具备的自然条件。________(3分) 级非物质文化遗产17项,及呼伦湖世界生物圈保护区。图23为“呼伦贝尔草原景观图”,图24为“呼伦贝尔 (2)简述近十年来我国咖啡生豆生产和消费的主要特点。________(4分) 主要旅游资源分布示意图”。回答下列问题。(10分) (3)简析我国发展咖啡种植的有利社会经济条件。________(3分) (4)为提升我国咖啡产业水平,你认为可采取哪些措施?________(4分) 30.【选做题】本题包括A、B、C、D四小题,请选定其中两题,并在相应的答题区域内作答。若多做,则按作 答的前两题评分。 A.[海洋地理]图20为“我国东部部分海域等深线分布图”,图21为“沿30°N海域甲~乙的冬季表、底层海 水多年平均温度和盐度空间分布图”。回答下列问题。(10分) (1)简述呼伦贝尔草原风光所属旅游资源类型及宜选用的观赏方法。________(3分) (2)评价该市旅游资源开发的条件。________(3分) (3)分别说明冬、夏两季在呼伦贝尔大草原旅游,个人应做好的安全防护工作。________(4分) D.[环境保护]图25为“2000~2018年我国GDP、能源消费、SO 排放量统计图”。回答下列问题。(10分) 2 - 5 -(1)简述2000~2018年我国GDP与能源消费量变化的相同点和不同点。________(3分) (2)说明2000~2018年我国SO 排放量的变化特点。________(2分) 2 (3)分析我国2006年以来SO 排放量变化趋势产生的主要原因。________(4分) 2 (4)依据我国经济发展、能源消费和污染物排放之间的关系,说出其中体现的人地关系思想。________(1 分) - 6 -