当前位置:首页>文档>2020年全国统一高考地理试卷(新课标Ⅰ)(原卷版)_全国卷+地方卷_8.地理_1.地理高考真题试卷_2008-2020年_全国卷_全国统一高考地理(新课标ⅰ)08-21_A3word版_PDF版(赠送)

2020年全国统一高考地理试卷(新课标Ⅰ)(原卷版)_全国卷+地方卷_8.地理_1.地理高考真题试卷_2008-2020年_全国卷_全国统一高考地理(新课标ⅰ)08-21_A3word版_PDF版(赠送)

  • 2026-03-23 04:53:11 2026-03-06 11:42:37

文档预览

2020年全国统一高考地理试卷(新课标Ⅰ)(原卷版)_全国卷+地方卷_8.地理_1.地理高考真题试卷_2008-2020年_全国卷_全国统一高考地理(新课标ⅰ)08-21_A3word版_PDF版(赠送)
2020年全国统一高考地理试卷(新课标Ⅰ)(原卷版)_全国卷+地方卷_8.地理_1.地理高考真题试卷_2008-2020年_全国卷_全国统一高考地理(新课标ⅰ)08-21_A3word版_PDF版(赠送)
2020年全国统一高考地理试卷(新课标Ⅰ)(原卷版)_全国卷+地方卷_8.地理_1.地理高考真题试卷_2008-2020年_全国卷_全国统一高考地理(新课标ⅰ)08-21_A3word版_PDF版(赠送)

文档信息

文档格式
pdf
文档大小
1.013 MB
文档页数
3 页
上传时间
2026-03-06 11:42:37

文档内容

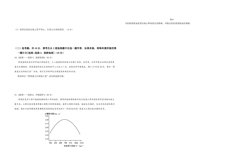
2020 年全国统一高考地理试卷(新课标Ⅰ) 一、选择题:本题共 4小题,每小题 12分,共 44 分.在每小题给出的四个选项中,只有一项是 符合题目要求的. 治沟造地是陕西省延安市对黄土高原的丘陵沟壑区,在传统打坝淤地的基础上,集耕地营造、坝系修复、 生态建设和新农村发展为一体的“田水路林村”综合整治模式,实现了乡村生产、生活、生态协调发展(图 图2 1)。据此完成1~3题。 4.下列建筑布局中,适合居住片区II的是 ①并列排布 ②横向错列排布 ③自由排布 ④纵向错列排布 A.① B.② C.③ D.④ 图1 5.相对居住片区II,居住片区I的建筑布局宜 1.与传统的打坝淤地工程相比,治沟造地更加关注 ①建筑密度大 ②建筑密度小 ③以高层建筑为主 ④以多层建筑为主 A.增加耕地面积 B.防治水土流失 C.改善人居环境 D.提高作物产量 A.①③ B.①④ C.②③ D.②④ 2.治沟造地对当地生产条件的改善主要体现在 6.该居住区出入口的设计主要是为了避开 A.优化农业结构 B.方便田间耕作 C.健全公共服务 D.提高耕地肥力 A.春季盛行风 B.夏季盛行风 C.秋季盛行风 D.冬季盛行风 3.推测开展治沟造地的地方 利用大型挖泥船将海底岩石搅碎,并将碎石和泥沙一起吹填造地,成为在海中建设人工岛的主要方式。图 ①居住用地紧张 ②生态环境脆弱 ③坡耕地比例大 ④农业生产精耕细作 3示意人工岛地下淡水分布。据此完成7~8题。 A.①③ B.①④ C.②③ D.②④ 为获得冬季防风、夏季通风的效果,我国东北平原的某城市对一居住区进行了相应的建筑布局规划,规划 建筑物为高层(7层以上)和多层(7层或以下)。图2示意在该居住区内规划的两个居住片区、道路、出入口 及当地盛行风向。据此完成4~6题。 图3 7.参照图3,在造岛物质满足水渗透的前提下,人工岛形成并保持相对稳定的地下淡水区的条件是 ①降水充沛且季节分配均匀 ②降水充沛且季节集中 ③人工岛足够长 ④人工岛足够宽 A.①③ B.①④ C.②③ D.②④8.人工岛的地下淡水一般不作为日常生产生活水源,主要因为其 A.取水难度大 B.开采周期长 C.水质较差 D.储量较少 岳桦林带是长白山海拔最高的森林带。岳桦林带气候寒冷,生长季短,只有其下部的岳桦才结实(种 (2)指出该地种植葡萄宜选择的坡向,并分析与梯田相比,顺坡垄利用光照的优势。(8分) 子)。岳桦结实的海拔上限称为岳桦结实线,岳桦林分布上限即长白山林线。监测表明,20世纪90年代以 来,长白山北坡气候持续变暖,岳桦结实线基本稳定;林线的海拔快速提升了70~80米,但近年趋于稳定。据 此完成9~11题。 9.目前,长白山北坡林线附近的岳桦多为 A.幼树 B.中龄结实树 C.老树 D.各树龄组混生 (3)说明温带半干旱地区坡地耕作不宜采用顺坡垄的理由。(6分) 10.推测20世纪90年代以来,长白山北坡岳桦林带 A.冬季升温幅度小,生长季稳定 B.冬季升温幅度大,生长季延长 C.冬季升温幅度大,生长季稳定 D.冬季升温幅度小,生长季延长 11.在气候变暖背景下,长白山北坡林线近年却趋于稳定,原因可能是 A.降水稳定 B.水土流失量稳定 C.土壤肥力稳定 D.岳桦结实线稳定 二、非选择题:共 56分。第 12~13题为必考题,每个试题考生都必须作答.第 14~15题为选 13.阅读图文材料,完成下列要求。(24分) 考题,考生根据要求作答(一)必考题:共 46分。 形成玄武岩的岩浆流动性好,喷出冷凝后,形成平坦的地形单元。如图6所示,某海拔500米左右的玄武 12.阅读图文材料,完成下列要求。(22分) 岩台地上,有较多海拔700米左右的玄武岩平顶山,及少量海拔900米左右的玄武岩尖顶山。调查发现,构成 葡萄喜光,耐旱。图5为某坡度较大的地方采用顺坡垄方式种植葡萄的景观。该地位于52°N附近,气候 台地、平顶山、尖顶山的玄武岩分别形成于不同喷发时期。 湿润。 (1)指出玄武岩台地形成以来因流水侵蚀而发生的变化。(6分) (2)根据侵蚀程度,指出构成台地、平顶山、尖顶山的玄武岩形成的先后次序,并说明判断理由。(12分) 图5 (1)当地采用顺坡垄种植葡萄,据此分析该地区的降水特点。(8分)图8 分析高原鼠兔密度对高山草甸退化的影响,并提出防控高原鼠兔的策略。 (3)说明玄武岩台地上有平顶山、尖顶山分布的原因。(6分) (二)选考题:共 10分.请考生从 2道地理题中任选一题作答.如果多做,则每科搜所做的第 一题计分[地理--选修 3:旅游地理](10分) 14.[地理——选修3:旅游地理](10分) 景泰蓝制作是北京市地方传统技艺,已入选国家非物质文化遗产名录。近年来,北京市某企业依托其景泰 蓝艺术博物馆、景泰蓝制作技艺互动体验中心以及工厂店,在夏秋季节每周五、周六17时至22时,举办“景 泰蓝文化体验之夜”活动,吸引众多的市民与游客前来观光和互动。 简述举办“景泰蓝文化体验之夜”活动的旅游价值。 15.[地理——选修6:环境保护](10分) 高原鼠兔多穴居于植被低矮的高山草甸地区,因啃食植物曾被看作是引起高山草向退化的有害动物而被大 量灭杀。土壤全氮含量是衡量土壤肥力的重要指标。通常土壤肥力越高,植被生长越好,生态系统抗退化能力 越强。图8示意青藏高原某典型区域高原鼠兔有效洞口(有鼠兔活动)密度与土壤全氮含量的关系。