当前位置:首页>文档>2024年高考生物真题(贵州自主命题)(原卷版)_全国卷+地方卷_6.生物_1.生物高考真题试卷_2024年高考-生物_2024年贵州自主命题-生物

2024年高考生物真题(贵州自主命题)(原卷版)_全国卷+地方卷_6.生物_1.生物高考真题试卷_2024年高考-生物_2024年贵州自主命题-生物

  • 2026-04-08 22:14:57 2026-03-07 01:57:34

文档预览

2024年高考生物真题(贵州自主命题)(原卷版)_全国卷+地方卷_6.生物_1.生物高考真题试卷_2024年高考-生物_2024年贵州自主命题-生物
2024年高考生物真题(贵州自主命题)(原卷版)_全国卷+地方卷_6.生物_1.生物高考真题试卷_2024年高考-生物_2024年贵州自主命题-生物
2024年高考生物真题(贵州自主命题)(原卷版)_全国卷+地方卷_6.生物_1.生物高考真题试卷_2024年高考-生物_2024年贵州自主命题-生物
2024年高考生物真题(贵州自主命题)(原卷版)_全国卷+地方卷_6.生物_1.生物高考真题试卷_2024年高考-生物_2024年贵州自主命题-生物
2024年高考生物真题(贵州自主命题)(原卷版)_全国卷+地方卷_6.生物_1.生物高考真题试卷_2024年高考-生物_2024年贵州自主命题-生物
2024年高考生物真题(贵州自主命题)(原卷版)_全国卷+地方卷_6.生物_1.生物高考真题试卷_2024年高考-生物_2024年贵州自主命题-生物
2024年高考生物真题(贵州自主命题)(原卷版)_全国卷+地方卷_6.生物_1.生物高考真题试卷_2024年高考-生物_2024年贵州自主命题-生物

文档信息

文档格式
docx
文档大小
0.319 MB
文档页数
7 页
上传时间
2026-03-07 01:57:34

文档内容

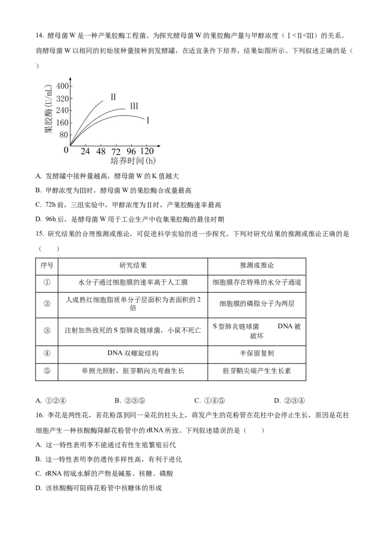
贵州省 2024 年普通高中学业水平选择性考试 生物学 注意事项: 1.答卷前,考生务必将自己的姓名、准考证号填写在答题卡上。 2.回答选择题时,选出每小题答案后,用2B铅笔把答题卡上对应题目的答案标号涂黑。如 需改动,用橡皮擦干净后,再选涂其他答案标号。回答非选择题时,将答案写在答题卡上。 写在本试卷上无效。 3.考试结束后,将本试卷和答题卡一并交回。 一、选择题:本题共16小题,每小题3分,共48分。在每小题给出的四个选项中,只有一 项符合题目要求。 1. 种子萌发形成幼苗离不开糖类等能源物质,也离不开水和无机盐。下列叙述正确的是( ) A. 种子吸收的水与多糖等物质结合后,水仍具有溶解性 B. 种子萌发过程中糖类含量逐渐下降,有机物种类不变 C. 幼苗细胞中的无机盐可参与细胞构建,水不参与 D. 幼苗中的水可参与形成NADPH,也可参与形成NADH 2. 蝌蚪长出四肢,尾巴消失,发育成蛙。下列叙述正确的是( ) A. 四肢细胞分裂时会发生同源染色体分离 B. 四肢的组织来自于干细胞的增殖分化 C. 蝌蚪尾巴逐渐消失是细胞坏死的结果 D. 蝌蚪发育成蛙是遗传物质改变的结果 3. 为探究不同光照强度对叶色的影响,取紫鸭跖草在不同光照强度下,其他条件相同且适宜,分组栽培, 一段时间后获取各组光合色素提取液,用分光光度法(一束单色光通过溶液时,溶液的吸光度与吸光物质 的浓度成正比)分别测定每组各种光合色素含量。下列叙述错误的是( ) A. 叶片研磨时加入碳酸钙可防止破坏色素 B. 分离提取液中的光合色素可采用纸层析法 C. 光合色素相对含量不同可使叶色出现差异 D. 测定叶绿素的含量时可使用蓝紫光波段 的 4. 茶树根细胞质膜上 硫酸盐转运蛋白可转运硒酸盐。硒酸盐被根细胞吸收后,随者植物的生长;吸 收的大部分硒与胞内蛋白结合形成硒蛋白,硒蛋白转移到细胞壁中储存。下列叙述错误的是( ) A. 硒酸盐以离子的形式才能被根细胞吸收 B. 硒酸盐与硫酸盐进入细胞可能存在竞争关系 C. 硒蛋白从细胞内转运到细胞壁需转运蛋白D. 利用呼吸抑制剂可推测硒酸盐的吸收方式 5. 大鼠脑垂体瘤细胞可分化成细胞Ⅰ和细胞Ⅱ两种类型,仅细胞Ⅰ能合成催乳素。细胞Ⅰ和细胞Ⅱ中催乳 素合成基因的碱基序列相同,但细胞Ⅱ中该基因多个碱基被甲基化。细胞Ⅱ经氮胞苷处理后,再培养可合 成催乳素。下列叙述错误的是( ) A. 甲基化可以抑制催乳素合成基因的转录 B. 氮胞苷可去除催乳素合成基因的甲基化 C. 处理后细胞Ⅱ的子代细胞能合成催乳素 D. 该基因甲基化不能用于细胞类型的区分 6. 人类的双眼皮基因对单眼皮基因是显性,位于常染色体上。一个色觉正常的单眼皮女性(甲),其父亲 是色盲:一个色觉正常的双眼皮男性(乙),其母亲是单眼皮。下列叙述错误的是( ) A. 甲的一个卵原细胞在有丝分裂中期含有两个色盲基因 B. 乙的一个精原细胞在减数分裂Ⅰ中期含四个单眼皮基因 C. 甲含有色盲基因并且一定是来源于她的父亲 D. 甲、乙婚配生出单眼皮色觉正常女儿的概率为1/4 7. 如图是某基因编码区部分碱基序列,在体内其指导合成肽链的氨基酸序列为:甲硫氨酸-组氨酸-脯氨酸- 赖氨酸……下列叙述正确的是( ) 注:AUG(起始密码子):甲硫氨酸 CAU、CNC:组氨酸 CCU:脯氨酸 AAG:赖氨酸 UCC:丝氨酸 UAA(终止密码子) A. ①链是转录的模板链,其左侧是5'端,右侧是3'端 B. 若在①链5~6号碱基间插入一个碱基G,合成的肽链变长 C. 若在①链1号碱基前插入一个碱基G,合成的肽链不变 D. 碱基序列不同的mRNA翻译得到的肽链不可能相同 8. 将台盼蓝染液注入健康家兔的血管,一段时间后,取不同器官制作切片观察,发现肝和淋巴结等被染成 蓝色,而脑和骨骼肌等未被染色。下列叙述错误的是( ) A. 实验结果说明,不同器官中毛细血管通透性有差异 B. 脑和骨骼肌等未被染色,是因为细胞膜能控制物质进出C. 肝、淋巴结等被染成蓝色,说明台盼蓝染液进入了细胞 D. 靶向治疗时,需要考虑药物分子大小与毛细血管通透性 9. 矮壮素可使草莓植株矮化,提高草莓的产量。科研人员探究了不同浓度的矮壮素对草莓幼苗的矮化和地 上部鲜重,以及对果实总产量的影响,实验结果如图所示。下列叙述正确的是( ) A. 矮壮素是从植物体提取的具有调节作用的物质 B. 种植草莓时,施用矮壮素的最适浓度为400mg/L C. 一定范围内,随浓度增加,矮壮素对草莓幼苗的矮化作用减弱 . D 一定浓度范围内,果实总产量与幼苗地上部鲜重变化趋势相近 10. 接种疫苗是预防传染病的重要手段,下列疾病中可通过接种疾苗预防的是( ) ①肺结核 ②白化病 ③缺铁性贫血 ④流行性感冒 ⑤尿毒症 A. ①④ B. ②③ C. ①⑤ D. ③④ 11. 在公路边坡修复过程中,常选用“豆科-禾本科”植物进行搭配种植。下列叙述错误的是( ) A. 边坡修复优先筛选本地植物是因为其适应性强 B. “豆科-禾本科”搭配种植可减少氮肥的施用 C. 人类对边坡的修复加快了群落演替的速度 D. 与豆科植物共生的根瘤菌属于分解者 12. 孑遗植物杪椤,在贵州数量多、分布面积大。调查发现,常有害虫啃食杪椤嫩叶,影响杪椤的生长、 发育和繁殖。下列叙述正确的是( ) A. 杪椤的植株高度不属于生态位的研究范畴 B. 建立孑遗植物杪椤的基因库属于易地保护 C. 杪椤有观赏性属于生物多样性的潜在价值 D. 能量从杪椤流向害虫的最大传递效率为20% 13. 生物学实验中合理选择材料和研究方法是顺利完成实验的前提条件。下列叙述错误的是( ) A. 稀释涂布平板法既可分离菌株又可用于计数 B. 进行胚胎分割时通常是在原肠胚期进行分割 C. 获取马铃薯脱毒苗常选取茎尖进行组织培养 D. 使用不同的限制酶也能产生相同的黏性末端14. 酵母菌W是一种产果胶酶工程菌。为探究酵母菌W的果胶酶产量与甲醇浓度(Ⅰ<Ⅱ<Ⅲ)的关系。 将酵母菌W以相同的初始接种量接种到发酵罐,在适宜条件下培养,结果如图所示。下列叙述正确的是( ) A. 发酵罐中接种量越高,酵母菌W的K值越大 B. 甲醇浓度为Ⅲ时,酵母菌W的果胶酶合成量最高 C. 72h前,三组实验中,甲醇浓度为Ⅱ时,产果胶酶速率最高 D. 96h后,是酵母菌W用于工业生产中收集果胶酶的最佳时期 15. 研究结果的合理推测或推论,可促进科学实验的进一步探究。下列对研究结果的推测或推论正确的是 ( ) 序号 研究结果 推测成推论 ① 水分子通过细胞膜的速率高于人工膜 细胞膜存在特殊的水分子通道 人成熟红细胞脂质单分子层面积为表面积的2 ② 细胞膜的磷脂分子为两层 倍 S型肺炎链球菌 的DNA被 ③ 注射加热致死的S型肺炎链球菌,小鼠不死亡 破坏 ④ DNA双螺旋结构 半保留复制 ⑤ 单侧光照射,胚芽鞘向光弯曲生长 胚芽鞘尖端产生生长素 A. ①②④ B. ②③⑤ C. ①④⑤ D. ②③④ 16. 李花是两性花,若花粉落到同一朵花的柱头上,萌发产生的花粉管在花柱中会停止生长,原因是花柱 细胞产生一种核酸酶降解花粉管中的rRNA所致。下列叙述错误的是( ) A. 这一特性表明李不能通过有性生殖繁殖后代 B. 这一特性表明李的遗传多样性高,有利于进化 C. rRNA彻底水解的产物是碱基、核糖、磷酸 D. 该核酸酶可阻碍花粉管中核糖体的形成二、非选择题:本题共5小题,共52分。 17. 农业生产中,旱粮地低洼处易积水,影响作物根细胞的呼吸作用。据研究,某作物根细胞的呼吸作用 与甲、乙两种酶相关,水淹过程中其活性变化如图所示。 回答下列问题。 (1)正常情况下,作物根细胞的呼吸方式主要是有氧呼吸,从物质和能量的角度分析,其代谢特点有 ___________;参与有氧呼吸的酶是___________(选填“甲”或“乙”)。 (2)在水淹0~3d阶段,影响呼吸作用强度的主要环境因素是___________;水淹第3d时,经检测,作物 根的CO 释放量为0.4μnol·g-1·min-1,O 吸收量为0.2μmol·g-1·min-1,若不考虑乳酸发酵,无氧呼吸强 2 2 度是有氧呼吸强度的___________倍。 (3)若水淹3d后排水、稍染长势可在一定程度上得到恢复,从代谢角度分析,原因是___________(答出 2点即可)。 18. 每当中午放学时、同学们结伴而行,有说有笑走进食堂排队就餐。回答下列问题。 (1)同学们看到喜欢吃的食物时、唾液的分泌就会增加,这一现象属于___________(选填“条件”或 “非条件”)反射。完成反射的条件有___________。 (2)食糜进入小肠后,可刺激小肠黏膜释放的激素是___________,使胰液大量分泌。为验证该激素能促 进胰腺大量分泌胰液,以健康狗为实验对象设计实验。写出实验思路___________。 19. 贵州地势西高东低,地形复杂、地貌多样,孕育着森林、湿地、高山草甸等多种多样的生态系统。回 答下列问题。 (1)若随海拔的升高,生态系统的类型发生相应改变,导致这种改变的非生物因素主要是___________。 在一个生态系统中,影响种群密度的直接因素有___________。 的 (2)除了非生物环境外,不同生态系统 差别是群落的___________不同(答出2点即可)。在不同 的群落中,由于地形变化、土壤湿度的差异等,不同种群呈镶嵌分布,这属于群落的___________结构。 (3)一般情况下,与非交错区相比,两种生态系统交错区物种之间的竞争___________(选填“较强”或 “较弱”),原因是___________。 20. 已知小鼠毛皮的颜色由一组位于常染色体上的复等位基因B (黄色)、B (鼠色)、B (黑色)控制。 1 2 3现有甲(黄色短尾)、乙(黄色正常尾)、丙(鼠色短尾)、丁(黑色正常尾)4种基因型的雌雄小鼠若 干,某研究小组对其开展了系列实验,结果如图所示。 回答下列问题。 (1)基因B 、B 、B 之间的显隐性关系是___________。实验③中的子代比例说明了___________,其黄 1 2 3 色子代的基因型是___________。 (2)小鼠群体中与毛皮颜色有关的基因型共有___________种,其中基因型组合为___________的小鼠相 互交配产生的子代毛皮颜色种类最多。 (3)小鼠短尾(D)和正常尾(d)是一对相对性状,短尾基因纯合时会导致小鼠在胚胎期死亡。小鼠毛 皮颜色基因和尾形基因 的遗传符合自由组合定律,若甲雌雄个体相互交配,则子代表型及比例为 ___________;为测定丙产生的配子类型及比例,可选择丁个体与其杂交,选择丁的理由是___________。 21. 研究者用以蔗糖为唯一碳源的液体培养基,培养真菌A的野生型(含NV基因)、突变体(NV基因突 变)和转基因菌株(转入NV基因),检测三种菌株NV酶的生成与培养液中的葡萄糖含量,结果如表所 示(表中“+”表示有,“—”表示无)。 NV 检测用菌株 蔗糖 葡萄糖(培养液中) 酶 野生型 + + + 野生型 — — — 突变体 + — — 转基因菌株 + + + 回答下列问题。 (1)据表可推测___________诱导了NV基因表达。NV酶的作用是___________。检测NV酶活性时,需 测定的指标是___________(答出1点即可)。 (2)表中突变体由T-DNA随机插入野生型菌株基因组DNA筛选获得。从野生型与突变体中分别提取基 因组DNA作为模板,用与___________(选填“T-DNA”或“NV基因”)配对的引物进行PCR扩增。若 突变体扩增片段长度___________(选填“>”“=”或“<”)野生型扩增片段长度,则表明突变体构建成 功,从基因序列分析其原因是___________。(3)为进一步验证NV基因的功能,表中的转基因菌株是将NV基因导入___________细胞获得的。在构 建NV基因表达载体时,需要添加新的标记基因,原因是___________。