当前位置:首页>文档>2025年高考生物真题(北京自主命题)(解析版)_全国卷+地方卷_6.生物_1.生物高考真题试卷_2025年高考-生物_2025年北京自主命题

2025年高考生物真题(北京自主命题)(解析版)_全国卷+地方卷_6.生物_1.生物高考真题试卷_2025年高考-生物_2025年北京自主命题

  • 2026-04-07 22:29:51 2026-03-07 03:19:56

文档预览

2025年高考生物真题(北京自主命题)(解析版)_全国卷+地方卷_6.生物_1.生物高考真题试卷_2025年高考-生物_2025年北京自主命题
2025年高考生物真题(北京自主命题)(解析版)_全国卷+地方卷_6.生物_1.生物高考真题试卷_2025年高考-生物_2025年北京自主命题
2025年高考生物真题(北京自主命题)(解析版)_全国卷+地方卷_6.生物_1.生物高考真题试卷_2025年高考-生物_2025年北京自主命题
2025年高考生物真题(北京自主命题)(解析版)_全国卷+地方卷_6.生物_1.生物高考真题试卷_2025年高考-生物_2025年北京自主命题
2025年高考生物真题(北京自主命题)(解析版)_全国卷+地方卷_6.生物_1.生物高考真题试卷_2025年高考-生物_2025年北京自主命题
2025年高考生物真题(北京自主命题)(解析版)_全国卷+地方卷_6.生物_1.生物高考真题试卷_2025年高考-生物_2025年北京自主命题
2025年高考生物真题(北京自主命题)(解析版)_全国卷+地方卷_6.生物_1.生物高考真题试卷_2025年高考-生物_2025年北京自主命题
2025年高考生物真题(北京自主命题)(解析版)_全国卷+地方卷_6.生物_1.生物高考真题试卷_2025年高考-生物_2025年北京自主命题
2025年高考生物真题(北京自主命题)(解析版)_全国卷+地方卷_6.生物_1.生物高考真题试卷_2025年高考-生物_2025年北京自主命题
2025年高考生物真题(北京自主命题)(解析版)_全国卷+地方卷_6.生物_1.生物高考真题试卷_2025年高考-生物_2025年北京自主命题
2025年高考生物真题(北京自主命题)(解析版)_全国卷+地方卷_6.生物_1.生物高考真题试卷_2025年高考-生物_2025年北京自主命题
2025年高考生物真题(北京自主命题)(解析版)_全国卷+地方卷_6.生物_1.生物高考真题试卷_2025年高考-生物_2025年北京自主命题
2025年高考生物真题(北京自主命题)(解析版)_全国卷+地方卷_6.生物_1.生物高考真题试卷_2025年高考-生物_2025年北京自主命题
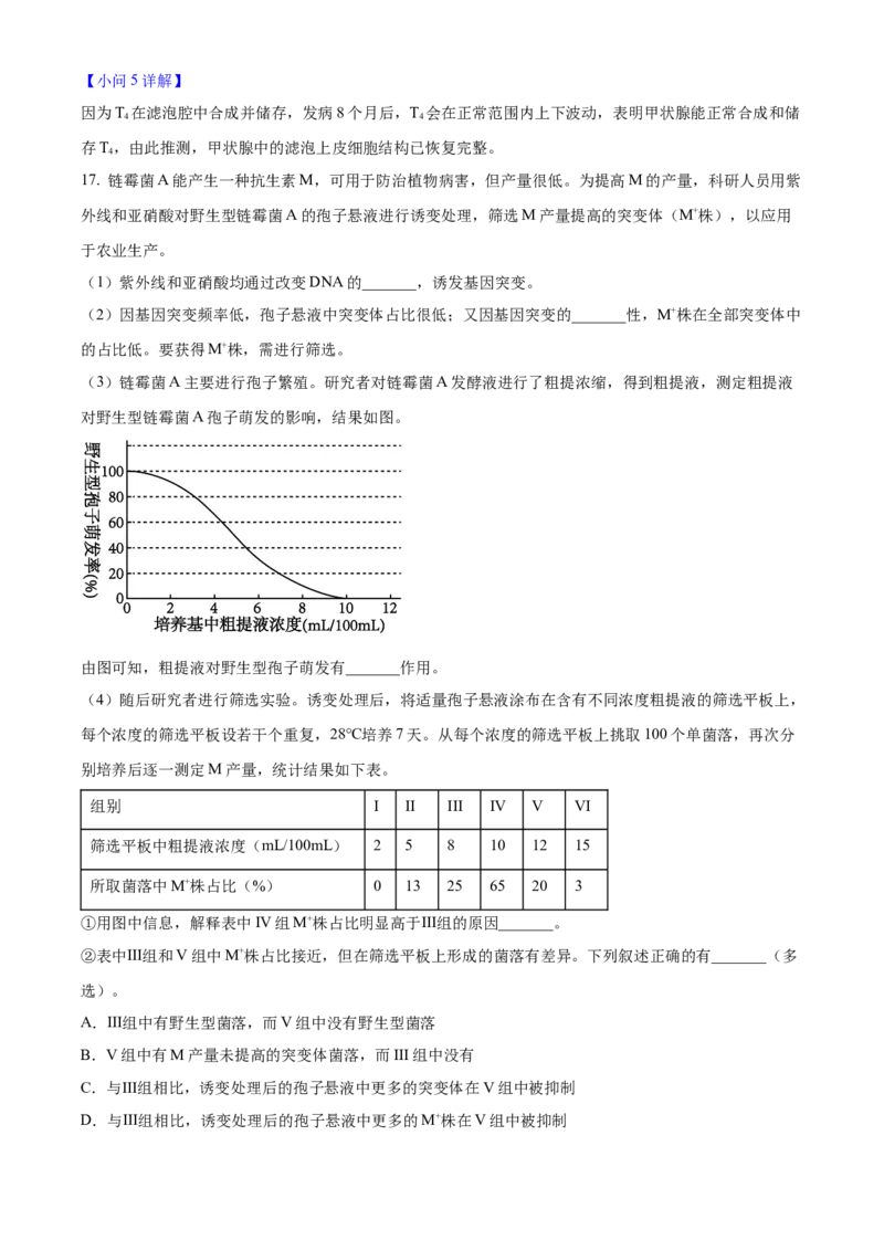
2025年高考生物真题(北京自主命题)(解析版)_全国卷+地方卷_6.生物_1.生物高考真题试卷_2025年高考-生物_2025年北京自主命题
2025年高考生物真题(北京自主命题)(解析版)_全国卷+地方卷_6.生物_1.生物高考真题试卷_2025年高考-生物_2025年北京自主命题
2025年高考生物真题(北京自主命题)(解析版)_全国卷+地方卷_6.生物_1.生物高考真题试卷_2025年高考-生物_2025年北京自主命题
2025年高考生物真题(北京自主命题)(解析版)_全国卷+地方卷_6.生物_1.生物高考真题试卷_2025年高考-生物_2025年北京自主命题
2025年高考生物真题(北京自主命题)(解析版)_全国卷+地方卷_6.生物_1.生物高考真题试卷_2025年高考-生物_2025年北京自主命题
2025年高考生物真题(北京自主命题)(解析版)_全国卷+地方卷_6.生物_1.生物高考真题试卷_2025年高考-生物_2025年北京自主命题
2025年高考生物真题(北京自主命题)(解析版)_全国卷+地方卷_6.生物_1.生物高考真题试卷_2025年高考-生物_2025年北京自主命题
2025年高考生物真题(北京自主命题)(解析版)_全国卷+地方卷_6.生物_1.生物高考真题试卷_2025年高考-生物_2025年北京自主命题

文档信息

文档格式
docx
文档大小
0.902 MB
文档页数
21 页
上传时间
2026-03-07 03:19:56

文档内容

机密★本科目考试启用前 北京市 2025 年普通高中学业水平等级性考试 生物 本试卷共10页,100分。考试时长90分钟。考生务必将答案答在答题卡上,在试卷上作答无 效。考试结束后,将本试卷和答题卡一并交回。 第一部分 本部分共15题,每题2分,共30分。在每题列出的四个选项中,选出最符合题目要求的一 项。 1. 2025年,国家持续推进“体重管理年”行动。为践行“健康饮食、科学运动”,应持有的正确认识是( ) A. 饮食中元素种类越多所含能量越高 B. 饮食中用糖代替脂肪即可控制体重 C. 无氧运动比有氧运动更有利于控制体重 在 D. 生活中既要均衡饮食又要适量运动 【答案】D 【解析】 “健康饮食、科学运动” 是保持身体健康和合理体重的重要方式。健康饮食强调营养均衡,包含各种营 养素;科学运动则要根据个人情况选择合适的运动类型和强度。 A、饮食中的能量主要取决于有机物(糖类、脂肪、蛋白质)的含量,而非元素种类。例如,脂肪仅含 C、H、O三种元素,但单位质量供能最高。元素种类多与能量无关,A错误; B、糖类和脂肪均可供能,但脂肪储能更高。若用糖代替脂肪但总热量未减少,反而可能因糖分解快导致 饥饿感增强,且过量糖会转化为脂肪储存,B错误; C、无氧运动(如短跑)主要消耗糖原,而有氧运动(如慢跑)能持续分解脂肪供能,更利于减脂和控制 体重,C错误; D、均衡饮食保证营养全面,适量运动促进能量消耗,二者结合是科学控制体重的关键,D正确; 故选D。 2. 下图是植物细胞局部亚显微结构示意图。在有氧呼吸过程中,细胞不同部位产生ATP的量不同。以下 选项正确的是( )选项 部位1 部位2 部位3 部位4 A 大量 少量 少量 无 B 大量 大量 少量 无 C 少量 大量 无 少量 D 少量 无 大量 大量 A. A B. B C. C D. D 【答案】C 【解析】 有氧呼吸过程分为3个阶段: 第一阶段:在细胞质的基质中,一个分子的葡萄糖分解成两个分子的丙酮酸,同时脱下4个[H],释放出少 量的能量。 第二阶段:丙酮酸进入线粒体的基质中,两分子丙酮酸和6个水分子中的氢全部脱下,共脱下20个[H], 丙酮酸被氧化分解成二氧化碳;在此过程释放少量的能量。 第三阶段:在线粒体的内膜上,前两阶段脱下的共24个[H]与从外界吸收或叶绿体光合作用产生的6个 $O_2$结合成水;在此过程中释放大量的能量。 分析题图可知:1是线粒体基质,2是线粒体内膜,3是线粒体外膜,4是细胞质基质。1线粒体基质是进 行有氧呼吸第二阶段的场所,产生少量ATP;2线粒体内膜是进行有氧呼吸第三阶段的场所,可以产生大 量ATP;3线粒体外膜,没有ATP生成;4细胞质基质,可以进行有氧呼吸第一阶段的反应,可产生少量 ATP,故C正确,ABD错误。 故选C。 3. 某种加酶洗衣粉包装袋上注有下列信息:本品含有蛋白酶、脂肪酶和淀粉酶;洗涤前先浸泡15~ 20min,特别脏的衣物可减少浸泡用水量;请勿使用60℃以上热水。下列叙述错误的是( )A. 该洗衣粉含多种酶,不适合洗涤纯棉衣物 B. 洗涤前浸泡有利于酶与污渍结合催化其分解 C. 减少浸泡衣物的用水量可提高酶的浓度 D. 水温过高导致酶活性下降 【答案】A 【解析】 酶是活细胞产生的具有催化作用的有机物,其中绝大多数酶是蛋白质,少数是 RNA,具有高效性、专一 性和作用条件温和。 A、酶的特点之一是专一性,纯棉衣物中主要含有纤维素,适合洗涤纯棉衣物,A错误; B、洗涤前浸泡有利于酶与污渍结合催化其分解,B正确; C、减少浸泡衣物的用水量可适当提高酶的浓度,C正确; D、酶的作用条件较温和,过酸、过碱或温度过高,会使酶的空间结构遭到破坏,使酶永久失活。故水温 过高导致酶活性下降,D 正确。 故选A。 4. 科学家对线虫进行诱变,发现C3基因功能缺失突变体中本应凋亡的细胞存活,C9基因功能缺失突变体 中本不应凋亡的细胞发生凋亡。下列叙述错误的是( ) A. C3基因促进细胞凋亡 B. C9基因抑制细胞凋亡 C. 细胞凋亡不利于线虫发育 D. 细胞凋亡受基因的调控 【答案】C 【解析】 细胞凋亡是由基因所决定的细胞自动结束生命的过程;在成熟的生物体中,细胞的自然更新、被病原体感 染的细胞的清除,也是通过细胞凋亡完成的;细胞凋亡对于多细胞生物体完成正常发育,维持内部环境的 稳定,以及抵御外界各种因素的干扰都起着非常关键的作用。 A、C3基因功能缺失导致本应凋亡的细胞存活,说明正常C3基因促进细胞凋亡,A正确; B、C9基因功能缺失导致本不应凋亡的细胞凋亡,说明正常C9基因抑制细胞凋亡,B正确; C、细胞凋亡是生物体正常发育的基础,例如清除多余或受损细胞,若凋亡被抑制会导致发育异常,因此 细胞凋亡对线虫发育有利,C错误; D、细胞凋亡是由基因控制的程序性死亡,受基因调控,D正确; 故选C。 5. 1958年,Meselson和Stahl通过15N标记DNA的实验,证明了DNA的半保留复制。关于这一经典实验 的叙述正确的是( ) A. 因为15N有放射性,所以能够区分DNA的母链和子链B. 得到的DNA带的位置有三个,证明了DNA的半保留复制 C. 将DNA变成单链后再进行离心也能得到相同的实验结果 D. 选择大肠杆菌作为实验材料是因为它有环状质粒DNA 【答案】B 【解析】 DNA复制是以亲代DNA分子为模板合成子代DNA分子的过程。DNA复制条件:模板(DNA的双链)、 能量(ATP水解提供)、酶(解旋酶和聚合酶等)、原料(游离的脱氧核苷酸);DNA复制过程:边解旋 边复制;DNA复制特点:半保留复制。 A、15N没有放射性,可通过密度梯度离心技术区分含不同氮元素的DNA,进而区分DNA的母链和子链, A错误; B、在15N标记DNA的实验中,得到的DNA带的位置有三种情况:轻带(两条链都含14N)、中带(一条 链含14N,一条链含15N)、重带(两条链都含15N)三个。根据不同代DNA在离心后出现的这些带的位置 和比例,证明了DNA的半保留复制,B正确; C、若将DNA解链为单链后离心,无论是全保留还是半保留复制,都是只有两条条带,不能证明DNA的 半保留复制,C错误; D、选择大肠杆菌作为实验材料是因为大肠杆菌繁殖快,容易培养,能在短时间内获得大量的子代,便于 观察实验结果,而不是因为它有环状质粒DNA,D错误。 故选:B。 故选B。 6. 用于啤酒生产的酿酒酵母是真核生物,其生活史如图。 下列叙述错误的是( ) A. 子囊孢子都是单倍体 B. 营养细胞均无同源染色体 C. 芽殖过程中不发生染色体数目减半D. 酿酒酵母可进行有丝分裂,也可进行减数分裂 【答案】B 【解析】 的 1、减数分裂中染色体数目变化:减数分裂是进行有性生殖 生物,在产生成熟生殖细胞时进行的染色体 数目减半的细胞分裂。减数分裂中染色体数目的变化规律是:2n(减数第一次分裂)→n(减数第二次分 裂前期、中期)→2n(减数第二次分裂后期)→n(减数第二次分裂结束)。 2、有丝分裂中染色体数目变化规律:2n(分裂间期)→2n(前期、中期)→(2n→4n)(后期)→2n (末期有丝分裂结束)。 A、子囊孢子是营养细胞(2n)经减数分裂形成的,因而都是单倍体,A正确; B、营养细胞(2n)的含有同源染色体,营养细胞(n)的不含有同源染色体,B错误; C、芽殖过程的分裂方式是有丝分裂,不发生染色体数目减半,C正确; D、酿酒酵母的生活史包括无性繁殖(芽殖,属于有丝分裂)和有性繁殖(减数分裂形成子囊孢子),D 正确。 故选B。 7. 抗维生素D佝偻病是一种伴X染色体显性遗传病。正常女子与男患者所生子女患该病的概率是( ) A. 男孩100% B. 女孩100% C. 男孩50% D. 女孩50% 【答案】B 【解析】 抗维生素D佝偻病为伴X染色体显性遗传病,正常女子(XdXd)与男患者(XDY)婚配时,需分析子代的 基因型及表型。 AC、男孩的X染色体只能来自母亲(Xd),Y染色体来自父亲,基因型为XdY,因不携带显性致病基因 D,故男孩均正常,AC错误; BD、女儿的X染色体分别来自父母,基因型为XDXd,因显性致病基因D存在,所有女儿均患病,B正确, D错误。 故选B。 8. 蝴蝶幼虫取食植物叶片,萝藦类植物进化出产生CA的能力,CA抑制动物细胞膜上N酶的活性,对动 物产生毒性,从而阻止大部分蝴蝶幼虫取食。斑蝶类蝴蝶因N酶发生了一个氨基酸替换而对CA不敏感, 其幼虫可以取食萝藦。下列叙述错误的是( ) A. 斑蝶类蝴蝶对CA的适应主要源自基因突变和选择 B. 斑蝶类蝴蝶取食萝藦可减少与其他蝴蝶竞争食物C. N酶基因突变导致斑蝶类蝴蝶与其他蝴蝶发生生殖隔离 D. 萝藦类植物和斑蝶类蝴蝶的进化是一个协同进化的实例 【答案】C 【解析】 不同物种之间、生物与无机环境之间在相互影响中不断进化和发展,这就是协同进化。通过漫长的协同进 化过程,地球上不仅出现了千姿百态的物种,丰富多彩的基因库,而且形成了多种多样的生态系统。 A、斑蝶类蝴蝶的N酶发生氨基酸替换属于基因突变,自然选择保留有利变异,使其适应CA环境,A正 确; B、斑蝶取食萝藦后占据不同生态位,减少与其他蝴蝶的食物资源竞争,符合生态位分化原理,B正确; C、生殖隔离需物种间无法交配或后代不育,仅N酶基因突变未直接导致生殖隔离,C错误; D、萝藦与斑蝶相互影响、共同进化,体现协同进化,D正确。 故选C。 9. 油菜素内酯可促进Z蛋白进入细胞核调节基因表达,进而促进下胚轴生长。用生长素分别处理野生型和 Z基因功能缺失突变体的拟南芥幼苗,结果如图。综合以上信息,不能得出的是( ) A. Z蛋白是油菜素内酯信号途径的组成成分 B. 生长素和油菜素内酯都能调控下胚轴生长 C. 生长素促进下胚轴生长依赖于Z蛋白 D. 油菜素内酯促进下胚轴生长依赖于生长素 【答案】D 【解析】 在植物个体生长发育和适应环境的过程中,各种植物激素不是孤立地起作用,而是相互协调、共同调节, 植物激素的合成受基因的控制,也对基因的程序性表达具有调节作用。植物的生命活动由基因表达调控、 激素调节和环境因素调节共同完成。 A、根据题干信息,油菜素内酯可促进Z蛋白进入细胞核调节基因表达,说明Z蛋白参与了油菜素内酯的信号传导,Z蛋白是油菜素内酯信号途径的组成成分,A正确; B、分析题图,添加生长素的野生型拟南芥幼苗的下胚轴长度大于未添加生长素的,说明生长素处理能促 进野生型下胚轴生长,结合题目信息,油菜素内酯可促进下胚轴生长,即生长素和油菜素内酯都能调控下 胚轴生长,B正确; C、分析题图,生长素处理野生型(有Z蛋白)能促进生长,但在Z基因功能缺失突变体中生长素不能促 进生长,说明生长素的作用需要Z蛋白,C正确; D、题目信息并无油菜素内酯的作用需要生长素参与的相关信息,D错误。 故选D。 10. 外科医生给足外伤患者缝合伤口时,先在伤口附近注射局部麻醉约,以减轻患者疼痛。局部麻醉药的 作用原理是( ) A. 降低伤口处效应器的功能 B. 降低脊髓中枢的反射能力 C. 阻断相关传出神经纤维的传导 D. 阻断相关传入神经纤维的传导 【答案】D 【解析】 神经调节的基本方式是反射,反射的结构基础是反射弧,其通常由感受器、传入神经、神经中枢、传出神 经和效应器(传出神经末梢和它所支配的肌肉或腺体等)组成。 局部麻醉药的作用原理是通过阻断神经冲动的传导来防止疼痛信号到达大脑,从而减轻患者的疼痛感。当 局部麻醉药注射到伤口附近时,它会作用于神经纤维,特别是传入神经纤维,这些纤维负责将疼痛信号从 伤口传递到中枢神经系统。 故选D。 11. 为了解甲基苯丙胺(MA,俗称冰毒)对心脏功能的影响,研究者比较了吸食与不吸食MA人群左心室 的泵血能力,结果如图。下列叙述正确的是( ) A. 滥用MA会导致左心室收缩能力下降 B. 左心室功能的显著下降导致吸食MA成瘾C. MA可以阻断神经对心脏活动的调节 D. MA通过破坏血管影响左心室泵血功能 【答案】A 【解析】 兴奋在神经元之间需要通过突触结构进行传递,突触包括突触前膜、突触间隙、突触后膜,其具体的传递 过程为:兴奋以电信号的形式传导到轴突末梢时,突触小泡释放神经递质(化学信号),神经递质作用于 突触后膜,引起突触后膜产生膜电位(电信号),从而将兴奋传递到下一个神经元。 A、题目提到研究者比较了左心室泵血能力,并给出了结果图,实验结果表明滥用MA会导致左心室收缩 能力下降,A正确; B、心脏功能下降是MA滥用的后果,而非成瘾的原因,B错误; C、MA并没有阻断神经对心脏的调节,心脏依旧在行使功能,C错误; D、本题的实验结果无法推测MA通过破坏血管影响左心室泵血功能,D错误。 故选A。 12. 塞罕坝曾森林茂密,后来由于人类活动破坏而逐渐变成荒原。上世纪60年代以来,林业工人不断努力, 种植了华北落叶松等多种树木,如今已将森林覆盖率提高到75%以上,成为人类改善自然环境的典范。下 列叙述错误的是( ) A. 塞罕坝造林经验可推广到各类荒原的治理,以提高森林覆盖率 B. 植树造林时要尽量种植多种树木,以利于提高生态系统稳定性 C. 塞罕坝的变化说明,人类活动可以影响群落演替的进程和方向 D. 与上世纪60年代相比,现在塞罕坝生态系统的固碳量大幅增加 【答案】A 【解析】 生态系统的稳定性是生态系统所具有的保持或恢复自身结构和功能相对稳定的能力,原因:生态系统具有 一定的自我调节能力;调节基础:负反馈调节。群落是一个动态系统,是不断发展变化的;随着时间的推 移一个群落被另一个群落代替的过程称为群落演替;人类活动往往会使群落演替按照不同于自然演替的速 度和方向进行。 A、不同荒原的生态环境是不同的,不能单一的“复制”塞罕坝造林经验,A错误; B、植树造林时要尽量种植多种树木,使营养结构变得复杂,自我调节能力增强,提高生态系统的稳定性, B正确; C、人类活动会使群落演替按照不同于自然演替的方向和速度进行,C正确; D、现在塞罕坝生态系统森林覆盖率提高到75%以上,固碳量必然大幅增加,D正确; 故选A。13. 近年来,北京建设了许多大型湿地公园,对于生态环境的改善产生了积极作用。以下关于湿地公园生 态功能的叙述错误的是( ) A. 调蓄洪水,减缓水旱灾害 B. 改变温带季风气候 C. 自然净化污水 D. 为野生动物提供栖息地 【答案】B 【解析】 湿地是地球上具有多种独特功能的生态系统,它不仅为人类提供大量食物、原料和水资源,而且在维持生 态平衡、保持生物多样性和珍稀物种资源以及涵养水源、蓄洪防旱、降解污染、调节气候、补充地下水、 控制土壤侵蚀等方面均起到重要作用。。 A、湿地能蓄存大量水分,调节区域水量,有效减缓洪水和干旱,A正确; B、湿地公园的面积相对整个地区的气候影响范围较小,不能改变温带季风气候这种大尺度的气候类型, 只能在局部小范围对气候起到一定的调节作用,如增加空气湿度等,B错误; C、湿地通过物理沉降、微生物分解等作用净化污染物,C正确; D、湿地为鸟类、鱼类等提供生存和繁殖场所,D正确; 故选B。 14. 动物细胞培养基一般呈淡红色。某次实验时,调控pH的CO 耗尽,培养基转为黄色。由此推断使培养 2 基呈淡红色的是( ) A. 必需氨基酸 B. 抗生素 C. 酸碱指示剂 D. 血清 【答案】C 【解析】 培养基颜色变化与pH相关,CO₂耗尽导致pH下降,指示剂显黄色。 A、必需氨基酸是细胞生长的营养成分,不直接导致颜色变化,A错误; B、抗生素用于抑制微生物生长,避免培养基被杂菌污染,与培养基颜色变化无关,B错误; C、酸碱指示剂(如酚红)在培养基中用于显示pH变化,中性或弱碱性时呈淡红色,酸性时pH降低,培 养基转为黄色,C正确; D、血清提供生长因子,不直接导致颜色变化,D错误。 故选C。 15. “探究植物细胞的吸水和失水”实验中,在清水和0.3g/mL蔗糖溶液中处于稳定状态的细胞如图。以下 叙述错误的是( )A. 图1,水分子通过渗透作用进出细胞 B. 图1,细胞壁限制过多的水进入细胞 C. 图2,细胞失去的水分子是自由水 D. 与图1相比,图2中细胞液浓度小 【答案】D 【解析】 植物细胞的原生质层相当于一层半透膜,当外界溶液的浓度大于细胞液浓度时,植物细胞失水,由于原生 质层比细胞壁的伸缩性大,原生质层就会与细胞壁逐渐分离开来,也就是逐渐发生了质壁分离。 A、植物细胞同动物细胞一样,也是通过渗透作用吸水和失水,A正确; B、植物细胞置于清水中,由于细胞壁的限制,细胞不会吸收而涨破,B正确; C、水在细胞中的存在方式:自由水和结合水,绝大部分的水呈游离状态,可以自由流动,叫作自由水,C 正确; D、图2中细胞失水,细胞液浓度高于图1,D错误。 故选D。 第二部分 本部分共6题,共70分。 16. 某同学因颈前部疼痛,伴有发热、心慌、多汗而就医。医生发现其甲状腺有触痛,血液中甲状腺激素 T 水平升高,诊断为亚急性甲状腺炎。该同学查阅有关资料,了解到甲状腺由许多滤泡构成,每个滤泡由 4 一层滤泡上皮细胞围成(图1),T 在滤泡腔中合成并储存;发病之初,甲状腺滤泡上皮细胞受损;多数 4 患者发病后,甲状腺摄碘率和血液中相关激素水平的变化如图2。 (1)在人体各系统中,甲状腺属于_______系统。(2)在滤泡上皮细胞内的碘浓度远高于组织液的情况下,细胞依然能摄取碘,这种吸收方式是_______。 的 (3)发病后 2个月内,血液中T 水平高于正常的原因是:甲状腺滤泡上皮细胞受损导致_______。 4 (4)发病7个月时,该同学复查结果显示:T 水平恢复正常,但摄碘率高于正常。家长担心摄碘率会居高 4 不下。请根据T 分泌的调节过程向家长做出解释以打消其顾虑_______。 4 (5)发病8个月后,T 会在正常范围内上下波动,表明甲状腺功能恢复正常。由此推测,甲状腺中的 4 _______结构已恢复完整。 【答案】 (1)内分泌 (2)主动运输 (3)滤泡腔内储存的T 释放进入血液 4 (4)当血液中T 水平恢复正常后,会通过负反馈调节抑制下丘脑和垂体分泌相关激素,使甲状腺的摄碘 4 率逐渐下降,不会居高不下 (5)滤泡上皮细胞 【解析】 1、甲状腺激素的作用:促进新陈代谢,促进物质的氧化分解,促进生长发育,提高神经系统的兴奋性; 促进神经系统的发育。 2、激素的作用具有特异性,它有选择性地作用于靶器官、靶腺体或靶细胞。 【小问1详解】 人体的内分泌系统由内分泌腺和内分泌细胞组成,甲状腺作为人体重要的内分泌腺,能够分泌甲状腺激素 等,参与调节人体的新陈代谢、生长发育等生理过程,所以在人体各系统中,甲状腺属于内分泌系统。 【小问2详解】 物质从低浓度一侧运输到高浓度一侧,需要载体蛋白的协助,同时还需要消耗能量,这种方式叫做主动运 输。在滤泡上皮细胞内的碘浓度远高于组织液的情况下,细胞依然能摄取碘,说明是逆浓度梯度运输,这 种吸收方式是主动运输。 【小问3详解】 已知T 在滤泡腔中合成并储存,发病之初,甲状腺滤泡上皮细胞受损。当甲状腺滤泡上皮细胞受损时,滤 4 泡腔中储存的T 会释放到血液中,从而导致发病后的2个月内,血液中T 水平高于正常。 4 4 【小问4详解】 T 分泌的调节过程是一个负反馈调节,当血液中T 水平恢复正常后,会通过负反馈调节抑制下丘脑分泌促 4 4 甲状腺激素释放激素(TRH)和垂体分泌促甲状腺激素(TSH),TSH能促进甲状腺摄取碘等功能,当 TSH分泌受到抑制,其含量下降,会使甲状腺的摄碘率逐渐下降,不会居高不下,所以家长不必担心摄碘 率会居高不下。【小问5详解】 因为T 在滤泡腔中合成并储存,发病8个月后,T 会在正常范围内上下波动,表明甲状腺能正常合成和储 4 4 存T,由此推测,甲状腺中的滤泡上皮细胞结构已恢复完整。 4 17. 链霉菌A能产生一种抗生素M,可用于防治植物病害,但产量很低。为提高M的产量,科研人员用紫 外线和亚硝酸对野生型链霉菌A的孢子悬液进行诱变处理,筛选M产量提高的突变体(M+株),以应用 于农业生产。 (1)紫外线和亚硝酸均通过改变DNA的_______,诱发基因突变。 (2)因基因突变频率低,孢子悬液中突变体占比很低;又因基因突变的_______性,M+株在全部突变体中 的占比低。要获得M+株,需进行筛选。 (3)链霉菌A主要进行孢子繁殖。研究者对链霉菌A发酵液进行了粗提浓缩,得到粗提液,测定粗提液 对野生型链霉菌A孢子萌发的影响,结果如图。 由图可知,粗提液对野生型孢子萌发有_______作用。 (4)随后研究者进行筛选实验。诱变处理后,将适量孢子悬液涂布在含有不同浓度粗提液的筛选平板上, 每个浓度的筛选平板设若干个重复,28℃培养7天。从每个浓度的筛选平板上挑取100个单菌落,再次分 别培养后逐一测定M产量,统计结果如下表。 组别 I II III IV V VI 筛选平板中粗提液浓度(mL/100mL) 2 5 8 10 12 15 所取菌落中M+株占比(%) 0 13 25 65 20 3 ①用图中信息,解释表中IV组M+株占比明显高于Ⅲ组的原因_______。 ②表中Ⅲ组和V组中M+株占比接近,但在筛选平板上形成的菌落有差异。下列叙述正确的有_______(多 选)。 A.Ⅲ组中有野生型菌落,而V组中没有野生型菌落 B.V组中有M产量未提高的突变体菌落,而III组中没有 C.与Ⅲ组相比,诱变处理后的孢子悬液中更多的突变体在V组中被抑制 D.与Ⅲ组相比,诱变处理后的孢子悬液中更多的M+株在V组中被抑制综上所述,用粗提液筛选是获得M+株的有效方法。 【答案】 (1)碱基序列(或脱氧核苷酸序列) (2)不定向 (3)抑制 (4)①. IV 组粗提液浓度高于 Ⅲ 组,更多的野生型孢子萌发受抑制,M+株相对更容易存活; ②. CD 【解析】 基因突变的原因主要有以下两类: 外因: 物理因素:如紫外线、X 射线及其他辐射,这些射线能损伤细 胞内的 DNA,改变其碱基序列引发突变。 化学因素:像亚硝酸、碱基类似物等,可改变核酸的碱基,从 而导致基因突变。 生物因素:某些病毒的遗传物质能影响宿主细胞的 DNA,引发突变。 内因:DNA 复 制过程中,偶尔会发生碱基对的增添、缺失或替换,导致基因结构改变,引发基因突变 。 【小问1详解】 紫外线和亚硝酸均通过改变 DNA 的碱基序列(或脱氧核苷酸序列),诱发基因突变。因为基因突变是指 DNA 分子中发生碱基对的替换、增添和缺失,而这些处理会影响 DNA 的碱基组成和排列顺序。 紫外线和亚硝酸均通过改变DNA的碱基序列(或脱氧核苷酸序列),诱发基因突变。因为基因突变是指 DNA分子中发生碱基对的替换、增添和缺失,而这些处理会影响DNA的碱基组成和排列顺序。 【小问2详解】 因基因突变频率低,孢子悬液中突变体占比很低;又因基因突变的不定向性,M+株在全部突变体中的占 比低。要获得 M+株,需进行筛选。基因突变具有不定向性,即一个基因可以向不同的方向发生突变,产 生一个以上的等位基因,所以即使发生了基因突变,也不一定是我们想要的 M+株。 基因突变具有不定向性,即一个基因可以向不同的方向发生突变,产生一个以上的等位基因,所以即使发 生了基因突变,也不一定是我们想要的M+株。 【小问3详解】 由图可知,随着培养基中粗提液浓度的升高,野生型孢子萌发率下降,所以粗提液对野生型孢子萌发有抑 制作用。 由图可知,随着培养基中粗提液浓度的升高,野生型孢子萌发率下降,所以粗提液对野生型孢子萌发有抑 制作用。 【小问4详解】 ①IV组粗提液浓度高于Ⅲ组,结合前面得出粗提液对孢子萌发有抑制作用,且M+株可能对粗提液有更强 的耐受性,所以在较高浓度的粗提液下,更多的野生型孢子萌发受抑制,而M+株相对更容易存活,导致 IV组M+株占比明显高于Ⅲ组。②A、V组中也可能有野生型菌落,只是可能由于粗提液浓度更高,其生长受到了更强的抑制,A 错误; B、Ⅲ组和V组中都可能有M+产量未提高的突变体菌落,B 错误; C、V组粗提液浓度高于Ⅲ组,与Ⅲ组相比,所取菌落中M+株占比也降低,诱变处理后的孢子悬液中更多 的突变体(包括非M+株的突变体)在V组中被抑制,C 正确; D、从结果看,V组M+株占比低,是因为更多的M+株在V组中被抑制,D 正确。 故选CD。 18. 植物的光合作用效率与叶绿体的发育(形态结构建成)密切相关。叶绿体发育受基因的精细调控,以 适应环境。科学家对光响应基因BG在此过程中的作用进行了研究。 (1)实验中发现一株叶绿素含量升高的拟南芥突变体。经鉴定,其BG基因功能缺失,命名为bg。图1是 使用_________观察到的叶绿体亚显微结构。与野生型相比,可见突变体基粒(“[”所示)中的_________增 多。 (2)已知GK蛋白促进叶绿体发育相关基因的转录,BG蛋白可以与GK蛋白结合。研究者构建了GK功 能缺失突变体gk(叶绿素含量降低)及双突变体bggk。对三种突变体进行观察,发现双突变体的表型与突 变体__________相同,由此推测BG通过抑制GK的功能影响叶绿体发育。 (3)为进一步证明BG对GK的抑制作用并探索其作用机制,将一定浓度的GK蛋白与系列浓度BG蛋白 混合后,再加入GK蛋白靶基因CAO的启动子DNA片段,反应一段时间后,经电泳检测DNA所在位置, 结果如图2。分析实验结果可得出BG抑制GK功能的机制是___________。 (4)基于突变体bg的表型,从进化与适应的角度推测光响应基因BG存在的意义_______。【答案】 (1) ①. 电子显微镜 ②. 类囊体 (2)gk (3)BG 通过与 CAO 启动子 DNA 片段竞争结合 GK 蛋白,从而抑制 GK 与 CAO 启动子 DNA 片 段的结合 (4)使植物能够更好地响应光信号,调节自身生理过程,以适应不同光照环境,提高生存和繁殖能力 【解析】 叶绿体是进行光合作用的场所,叶绿体是双层膜结构,其内部含有基粒,基粒是类囊体堆叠而成,类囊体 膜上含有光合作用有关的色素和酶。 【小问1详解】 观察叶绿体亚显微结构需要使用电子显微镜。因为光学显微镜的分辨率有限,无法观察到叶绿体内部的精 细结构,而电子显微镜能够提供更高的分辨率,从而清晰地看到叶绿体的亚显微结构。基粒是由类囊体堆 叠而成的结构。与野生型相比,突变体叶绿素含量升高,且 BG 基因功能缺失,观察可知突变体基粒中的 类囊体(片层)增多。因为叶绿素主要分布在类囊体薄膜上,类囊体增多可能是导致叶绿素含量升高的原 因之一。 【小问2详解】 已知 GK 蛋白促进叶绿体发育相关基因的转录,BG 蛋白可以与 GK 蛋白结合。GK 功能缺失突变体 gk 叶绿素含量降低,若 BG 通过抑制 GK 的功能影响叶绿体发育,那么双突变体 bggk 中,由于 GK 本身 功能缺失,BG 也无法发挥抑制 GK 的作用,此时双突变体的表型应该与 gk 突变体相同。 【小问3详解】 观察图 2 可知,随着 BG 蛋白与 GK 蛋白浓度比的增大,与 GK 蛋白结合的 DNA 片段逐渐减少,游 离 DNA 片段逐渐增多。 这表明 BG 蛋白的存在阻碍了 GK 蛋白与 CAO 启动子 DNA 片段的结合 。 因为 GK 蛋白要发挥功能,需要与靶基因 CAO 的启动子 DNA 片段结合来调控基因表达,而 BG 蛋白 浓度越高,这种结合就越少。所以,BG 抑制 GK 功能的机制是 BG 通过与 CAO 启动子 DNA 片段竞 争结合 GK 蛋白,从而抑制 GK 与 CAO 启动子 DNA 片段的结合。 【小问4详解】 从进化与适应的角度来看,生物体内的基因存在必然是对生物的生存和繁衍有积极意义的。突变体 bg 由 于缺乏光响应基因 BG,其表型可能在某些环境条件下不利于生存。而正常存在光响应基因 BG 时,植物 可以通过 BG 对光信号做出响应,从而更好地调节自身的生理过程,例如,在光照过强时,BG 基因表达 产物可能通过抑制 GK 功能,调节相关基因表达,避免植物因光照过强而受到伤害;在光照较弱时,可 能通过调节使植物更好地利用有限的光能进行光合作用等。这使得植物在不同的光照环境中能够更有效地 进行光合作用,获取能量,提高自身的生存和繁殖能力,以适应复杂多变的环境。19. 食物过敏在人群中常见、多发,会反复发生,且可能逐渐加重。卵清蛋白(OVA)作为过敏原可激发 机体产生特异性抗体(OVA-Ab),引发过敏反应。研究者将野生型小鼠(供体)的脾细胞转移给缺失T、 B淋巴细胞的免疫缺陷小鼠(受体),通过系列实验,探究OVA引起过敏反应的机制。 (1)脾脏是_______细胞集中分布和特异性免疫发生的场所。 (2)用混有免疫增强剂的OVA给供体鼠灌胃,B细胞受刺激后活化、分裂并_______。3个月后,通过静 脉注射将供体鼠的脾细胞转移给受体鼠,然后仅用OVA对受体鼠进行灌胃,数天后,检测受体鼠血清中 的OVA-Ab水平(图中Ⅰ组)。IV组供体鼠不经灌胃处理,其他处理同Ⅰ组。比较Ⅰ、Ⅳ组结果可知,只用 OVA不能引起初次免疫,Ⅰ组受体鼠产生的OVA-Ab是_______免疫的结果。 (3)如图所示,脾细胞转移后,II组受体鼠未进行OVA灌胃,III组供体鼠在脾细胞转移前已清除了辅助 性T细胞,其他处理同1组。在脾细胞转移前,各组供体鼠均检测不到OVA特异的浆细胞和OVA-Ab。分 析各组结果,在Ⅰ组受体鼠快速产生大量OVA-Ab的过程中,三种免疫细胞的关系是_______。 (4)某些个体发生食物过敏后,即使很多年没有接触过敏原,再次接触时仍会很快发生过敏。结合文中 信息可知,导致长时间后过敏反应复发的关键细胞及其特点是_______。 【答案】(1)淋巴 (2) ①. 分化为浆细胞和记忆B细胞 ②. 二次 (3)辅助性T细胞识别抗原并分泌细胞因子,B细胞增殖分化为浆细胞,浆细胞分泌OVA-Ab (4)记忆B细胞;记忆B细胞可以在抗原消失后 存活几年甚至几十年,当再接触这种抗原时,能迅速增 殖 分化分新的记忆B细胞和浆细胞,浆细胞会快速产生大量抗体 【解析】 过敏反应:指已免疫的机体在再次接受相同物质的刺激时所发生的反应。引起过敏反应的物质叫做过敏原。 如花粉、油漆、鱼虾等海鲜、青霉素、磺胺类药物等(因人而异)。 【小问1详解】脾脏属于免疫器官,呈椭圆形,在胃的左侧,内含大量淋巴细胞,即脾脏是淋巴细胞集中分布和特异性免 疫发生的场所。 【小问2详解】 B细胞的活化和分化:当B细胞受到抗原(如OVA)和免疫增强剂的刺激后,会活化并分裂、分化,大部 分细胞分化为浆细胞,负责产生特异性抗体(如OVA-Ab),另一部分细胞分化为记忆B细胞,长期存在 于机体内。 实验设计和结果分析:I组和IV组的处理差异:I组:供体鼠用混有免疫增强剂的OVA灌胃处理后,B细 胞被激活并分化为浆细胞和记忆B细胞。3个月后,脾细胞(包含记忆B细胞)被转移至受体鼠。受体鼠 再用OVA灌胃,记忆B细胞快速增殖分化为浆细胞,产生大量OVA-Ab。IV组:供体鼠未经过OVA灌胃 处理,因此供体鼠体内没有OVA特异性的记忆B细胞。转移的脾细胞中也没有针对OVA的记忆细胞,受 体鼠无法产生OVA-Ab。结论:只有经过OVA胃处理的供体鼠脾细胞转移后,受体鼠才能产生OVA-Ab, 说明I组受体鼠的OVA-Ab产生是二次免疫的结果。因为二次免疫反应迅速且抗体产量高,这与记忆细胞 的作用有关。 【小问3详解】 分析题意,脾细胞转移后,II组受体鼠未进行OVA灌胃,III组供体鼠在脾细胞转移前已清除了辅助性T 细胞,其他处理同1组,据图可知,清除辅助性T细胞的Ⅲ组OVA-Ab水平极低(对比Ⅰ组),说明辅助 性T细胞对B细胞活化不可或缺,而抗体是由浆细胞分泌的,故据此推测,三种免疫细胞的关系 是:辅 助性T细胞识别抗原并分泌细胞因子,B细胞增殖分化为浆细胞,浆细胞分泌OVA-Ab。 【小问4详解】 过敏反应是指已免疫的机体在再次接受相同物质的刺激时所发生的反应,某些个体发生食物过敏后,即使 很多年没有接触过敏原,再次接触时仍会很快发生过敏,导致长时间后过敏反应复发的关键细胞是记忆B 细胞,其特点是记忆细胞可以在抗原消失后 存活几年甚至几十年,当再接触这种抗原时,能迅速增殖分 化分新的记忆B细胞和浆细胞,浆细胞能快速产生大量抗体,这些抗体吸附在皮肤等位置,当相同过敏原 再次进入机体后,就会与吸附在细胞表面的抗体结合,使这些细胞释放出组胺等物质,引发过敏反应。 20. Usher综合征(USH)是一种听力和视力受损的常染色体隐性遗传病,分为α型、β型和γ型。已经发 现至少有10个不同基因的突变都可分别导致USH。在小鼠中也存在相同情况。 (1)两个由单基因突变引起的α型USH的家系如图。①家系1的II-2是携带者的概率为_______。 ②家系1的II-1与家系2的II-2之间婚配,所生子女均正常,原因是______。 (2)基因间的相互作用会使表型复杂化。例如,小鼠在单基因G或R突变的情况下,gg表现为α型,rr 表现为γ型,而双突变体小鼠ggrr表现为α型。表型正常的GgRr小鼠间杂交,F 表型及占比为:正常 1 9/16、α型3/8、γ型1/16。F 的α型个体中杂合子的基因型有______。 1 (3)r基因编码的RN蛋白比野生型R蛋白易于降解,导致USH。因此,抑制RN降解是治疗USH的一种 思路。已知RN通过蛋白酶体降解,但抑制蛋白酶体的功能会导致细胞凋亡,因而用于治疗的药物需在增强 RN稳定性的同时,不抑制蛋白酶体功能。红色荧光蛋白与某蛋白的融合蛋白以及绿色荧光蛋白与RN的融 合蛋白都通过蛋白酶体降解,研究者制备了同时表达这两种融合蛋白的细胞,在不加入和加入某种药物时 均分别测定两种荧光强度。如果该药物符合要求,则加药后的检测结果是_______。 (4)将野生型R基因连接到病毒载体上,再导入患者内耳或视网膜细胞,是治疗USH的另一种思路。为 避免对患者的潜在伤害,保证治疗的安全性,用作载体的病毒必须满足一些条件。请写出其中两个条件并 分别加以解释_______。 【答案】 (1)①. 2/3 ②. 家系 1 和家系 2 的 USH 是由不同基因突变引起的 (2)ggRr、Ggrr (3)绿色荧光强度增强,红色荧光强度不变 (4)条件 1:病毒不能具有致病性。解释:如果病毒具有致病性,会对患者的健康造成额外的伤害,无法 保证治疗的安全性。条件 2:病毒不能在宿主细胞内自主复制。解释:若病毒能自主复制,可能会在患者 体内大量增殖,引发不可控的反应,对患者造成潜在伤害 【解析】 人类遗传病分为单基因遗传病、多基因遗传病和染色体异常遗传病:(1)单基因遗传病包括常染色体显 性遗传病(如并指)、常染色体隐性遗传病(如白化病)、伴X染色体隐性遗传病(如血友病、色盲)、 伴X染色体显性遗传病(如抗维生素D佝偻病)。 【小问1详解】 ①由于ⅡI2的父母(Ⅰ和Ⅱ)都是正常的,但是有一个患病的女儿(ⅢⅢ),这意味着Ⅰ和Ⅱ都是携带者 (杂合子)。ⅡⅡ是正常的,因此ⅡⅡ有2/3的概率是携带者。②如果两个家系的致病基因相同,家系Ⅰ中的ⅢⅠ和家系Ⅱ中的ⅡⅡ都是患者,他们的子女应该全为患者。 【小问2详解】 基因间的相互作用会使表型表现复杂化。依据题干,小鼠在单基因G或R突变的情况下,gg表现为a型, rr表现为y型,而双突变体grr表现为B型。表型正常的Gggr小鼠间杂交,F1表型及占比为:正常9/16、 a型3/8、y型1/16。两对基因遵循基因的自由组合定律,F1的表型个体的基因型有GgRr、Ggrr、ggRr,其 中杂合子的基因型有Ggrr、ggRr。 【小问3详解】 加入药物后,如果RN蛋白的稳定性增强,那么绿色荧光蛋白与R^N的融合蛋白降解减少,绿色荧光强度 增强,红色荧光蛋白与某蛋白的融合蛋白仍正常通过蛋白酶体降解,红色荧光强度不变。 【小问4详解】 将野生型R基因直接到病毒载体上,再导入患者内耳或视网膜细胞,是治疗USH的另一种思路。为避免 对患者的潜在伤害,保证治疗的安全性,用作载体的病毒必须满足一些条件:1:病毒必须是复制缺陷型 的,以避免在宿主细胞中复制和引发疾病。2:病毒载体应具有特定的启动子,以确保R基因只在内耳或 视网膜细胞中表达,而不在其他组织中表达,从而减少副作用。 21. 学习以下材料,回答(1)~(4)题。 野生动物个体识别的新方法 识别野生动物个体有助于野外生态学的研究。近年,人们发现可以从动物粪便中提取该动物的DNA,PCR 扩增特定的DNA片段,测定产物的长度或序列,据此可识别个体,在此基础上可以获得野生动物的多种 生态学信息。 微卫星DNA是一种常用于个体识别的DNA片段,广泛分布于核基因组中。每个微卫星DNA是一段串联 重复序列,每个重复单位长度为2~6bp(碱基对),重复数可以达到几十个(图1).基因组中有很多个 微卫星DNA,分布在不同位置。每个位置的微卫星DNA可视为一个“基因”,由于重复单位的数目不同, 同一位置的微卫星“基因”可以有多个“等位基因”,能组成多种“基因型”.分析多个微卫星“基因”,可得到 个体特异的“基因型”组合,由此区分开不同的个体。 依据微卫星“基因”两侧的旁邻序列(图1),设计并合成特异性引物,PCR扩增后,检测扩增片段长度, 即可得知所测个体的“等位基因”(以片段长度命名),进而获得该个体的“基因型”。例如,图2是对某种 哺乳动物个体A和B的一个微卫星“基因”进行扩增后电泳分析的结果示意图,个体A的“基因型”为 177/183。有一个远离大陆的孤岛,陆生哺乳动物几乎无法到达,人类活动将食肉动物貉带到该岛上。科学家在岛上 采集貉的新鲜粪便,提取DNA,扩增并分析了10个微卫星“基因”,结果在30份样品中成功鉴定出个体 (如表)。几个月后再次采集貉的新鲜粪便,进行同样的分析,在40份样品中成功鉴定出个体(如表)。 据此,科学家估算出该岛上貉的种群数量。 两次采样所鉴定出的貉的个体编号 第一次采集的30份粪便样品所对应的个体编号 N0 N0 N0 N0 N0 N0 N0 N0 N0 N0 N1 N1 N1 N1 N1 1 2 3 4 5 6 7 8 8 9 0 1 2 2 3 N1 N1 N1 N1 N1 N1 N1 N1 N2 N2 N2 N2 N2 N2 N2 4 4 5 6 7 8 8 9 0 1 2 2 3 4 4 第二次采集的40份粪便样品所对应的个体编号 N0 N0 N0 N0 N0 N0 N1 N1 N1 N2 N2 N2 N2 N2 N2 3 4 5 8 9 9 2 4 8 3 4 5 6 6 6 N2 N2 N2 N3 N3 N3 N3 N3 N3 N3 N3 N3 N3 N3 N3 7 8 9 0 0 1 2 2 3 3 3 4 5 6 7 N3 N3 N4 N4 N4 N4 N4 N4 N4 N4 8 9 0 1 2 3 4 4 5 6 (1)图2中个体B的“基因型”为______。 (2)使用微卫星DNA鉴定个体时,能区分的个体数是由微卫星“基因”的数目和______的数目决定的。 (3)科学家根据表1信息,使用了______法的原理来估算这个岛上貉的种群数量,计算过程及结果为 ______。 (4)在上述研究基础上,利用现有DNA样品,设计一个实验方案,了解该岛貉种群的性别比例______。 【答案】 (1)174/174 (2)等位基因 (3)①. 标记重捕 ②. 根据标记重捕法的计算公式 N=(M×n)/m,则该岛上豹的种群数量N=(24×32)/10≈77(只)。 (4)从现有 DNA 样品中,选择 Y 染色体上特有的微卫星 DNA 序列,设计特异性引物;对所有 DNA 样品进行 PCR 扩增;对扩增产物进行电泳分析,若能扩增出相应条带,则该个体为雄性,若不能扩增出 相应条带,则该个体为雌性;统计雄性和雌性个体的数量,从而计算出该岛豹种群的性别比例。 【解析】 标志重捕法是一种用于估算动物种群数量的常用方法。其原理是在被调查种群的活动范围内,捕获一部分 个体,做上标记后再放回原来的环境,经过一段时间后进行重捕,根据重捕到的动物中标记个体数占总个 体数的比例,来估计种群密度。标志重捕法适用于活动能力强、活动范围大的动物,使用时需要满足一定 条件,比如标记个体与未标记个体在重捕时被捕获的概率相等,在调查期间没有个体迁入、迁出、出生、 死亡等。 【小问1详解】 从图 2 中可知,个体 B 扩增后的电泳条带对应的片段只有长度为 174 ,根据 “以片段长度命名” 等 位基因进而确定基因型的规则,个体 B 的 “基因型” 为 174/174。 【小问2详解】 根据题干信息 “每个位置的微卫星 DNA 可视为一个‘基因’,由于重复单位的数目不同,同一位置的 微卫星‘基因’可以有多个‘等位基因’,能组成多种‘基因型’,分析多个微卫星‘基因’,可得到个 体特异的‘基因型’组合,由此区分开不同的个体” 可知,使用微卫星 DNA 鉴定个体时,能区分的个 体数是由微卫星 “基因” 的数目和等位基因的数目决定的。因为微卫星 “基因” 数目越多,等位基因 组合的可能性就越多,能区分的个体数也就越多。 【小问3详解】 科学家采用了标记重捕法的原理来估算种群数量。第一次采集 30 份粪便样品鉴定出 24 个不同个体(相 当于标记数M=24),第二次采集 40 份粪便样品鉴定出 32 个不同个体(相当于重捕数n=32),其中两 次都有的个体数为 10 个(相当于重捕中被标记的个体数m=10)。根据标记重捕法的计算公式N= (M×n)/m,则该岛上豹的种群数量N=(24×32)/10≈77(只)。 【小问4详解】 从现有 DNA 样品中,选择 Y 染色体上特有的微卫星 DNA 序列,设计特异性引物。 对所有 DNA 样 品进行 PCR 扩增。 对扩增产物进行电泳分析,若能扩增出相应条带,则该个体为雄性;若不能扩增出相 应条带,则该个体为雌性。 统计雄性和雌性个体的数量,从而计算出该岛豹种群的性别比例。