当前位置:首页>文档>2023年高考押题预测卷01(甲卷文科)(参考答案)_2.2025数学总复习_2023年新高考资料_42023年高考数学押题预测卷

2023年高考押题预测卷01(甲卷文科)(参考答案)_2.2025数学总复习_2023年新高考资料_42023年高考数学押题预测卷

  • 2026-03-23 15:29:16 2026-03-09 14:02:26

文档预览

2023年高考押题预测卷01(甲卷文科)(参考答案)_2.2025数学总复习_2023年新高考资料_42023年高考数学押题预测卷
2023年高考押题预测卷01(甲卷文科)(参考答案)_2.2025数学总复习_2023年新高考资料_42023年高考数学押题预测卷
2023年高考押题预测卷01(甲卷文科)(参考答案)_2.2025数学总复习_2023年新高考资料_42023年高考数学押题预测卷
2023年高考押题预测卷01(甲卷文科)(参考答案)_2.2025数学总复习_2023年新高考资料_42023年高考数学押题预测卷
2023年高考押题预测卷01(甲卷文科)(参考答案)_2.2025数学总复习_2023年新高考资料_42023年高考数学押题预测卷
2023年高考押题预测卷01(甲卷文科)(参考答案)_2.2025数学总复习_2023年新高考资料_42023年高考数学押题预测卷
2023年高考押题预测卷01(甲卷文科)(参考答案)_2.2025数学总复习_2023年新高考资料_42023年高考数学押题预测卷
2023年高考押题预测卷01(甲卷文科)(参考答案)_2.2025数学总复习_2023年新高考资料_42023年高考数学押题预测卷
2023年高考押题预测卷01(甲卷文科)(参考答案)_2.2025数学总复习_2023年新高考资料_42023年高考数学押题预测卷
2023年高考押题预测卷01(甲卷文科)(参考答案)_2.2025数学总复习_2023年新高考资料_42023年高考数学押题预测卷
2023年高考押题预测卷01(甲卷文科)(参考答案)_2.2025数学总复习_2023年新高考资料_42023年高考数学押题预测卷
2023年高考押题预测卷01(甲卷文科)(参考答案)_2.2025数学总复习_2023年新高考资料_42023年高考数学押题预测卷
2023年高考押题预测卷01(甲卷文科)(参考答案)_2.2025数学总复习_2023年新高考资料_42023年高考数学押题预测卷
2023年高考押题预测卷01(甲卷文科)(参考答案)_2.2025数学总复习_2023年新高考资料_42023年高考数学押题预测卷
2023年高考押题预测卷01(甲卷文科)(参考答案)_2.2025数学总复习_2023年新高考资料_42023年高考数学押题预测卷
2023年高考押题预测卷01(甲卷文科)(参考答案)_2.2025数学总复习_2023年新高考资料_42023年高考数学押题预测卷
2023年高考押题预测卷01(甲卷文科)(参考答案)_2.2025数学总复习_2023年新高考资料_42023年高考数学押题预测卷
2023年高考押题预测卷01(甲卷文科)(参考答案)_2.2025数学总复习_2023年新高考资料_42023年高考数学押题预测卷
2023年高考押题预测卷01(甲卷文科)(参考答案)_2.2025数学总复习_2023年新高考资料_42023年高考数学押题预测卷

文档信息

文档格式
docx
文档大小
1.980 MB
文档页数
19 页
上传时间
2026-03-09 14:02:26

文档内容

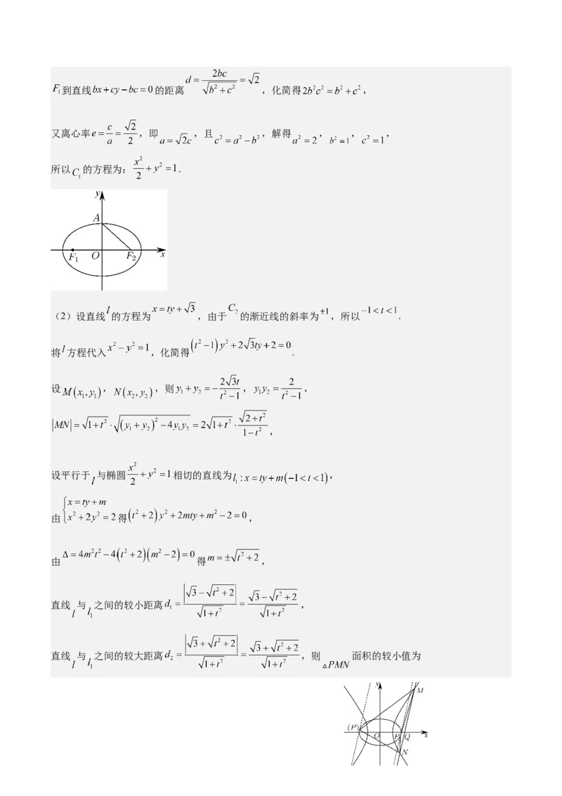
2023年高考押题预测卷03【全国卷甲卷文科】 文科数学·参考答案 1 2 3 4 5 6 7 8 9 10 11 12 D B C A B C A C D C D B 1.D 【分析】利用偶数和交集的定义即可求解. 【详解】因为在集合 中,-2,0,2是偶数,所以 . 故选:D. 2.B 【分析】根据复数的运算求出 ,即可得出 在复平面内所对应的点. 【详解】由 ,得 , 所以 在复平面内所对应的点是 . 故选:B. 3.C 【分析】利用特殊值及极限思想即可分析得出. 【详解】由 ,故D错误, 当 时, ,A,B错误. 故选:C. 4.A 【分析】由平面向量的坐标运算求得 , ,结合平面向量的夹角公式即可求得答案. 【详解】由题意,得 , ,则 与 的夹角的余弦值为 . 故选:A. 5.B 【分析】不妨设双曲线方程为 ,表示出双曲线的渐近线方程,根据双曲线的定义得 到 ,再利用点到直线的距离公式求出 ,从而求出 ,即可得解. 【详解】解:不妨设双曲线方程为 ,则双曲线的渐近线方程为 ,即 , 由双曲线的定义知, ,所以 , 由双曲线 的焦点到其渐近线的距离为 ,即 , 所以 , 所以 的离心率 . 故选:B 6.C 【分析】根据折线图数据,结合中位数、极差的定义依次判断各个选项即可. 【详解】对于A,平均高温不低于 的月份有 年 月和 年 月,共 个,A错误; 对于B,将各个月份数据按照从小到大顺序排序后,可得中位数为 ,B错误; 对于C,平均高温的极差为 ,平均低温的极差为 , 则平均高温的极差大于平均低温的极差,C正确; 对于D,月平均高温与低温之差不超过 的月份有 年 月和 年 月,共 个,D错误. 故选:C. 7.A 【分析】目标函数 的几何意义是可行域内的点到直线l: 的距离的 倍.由约束条件作出可行域,找到可行域内到直线l的距离最大的点,求解即可. 【详解】由约束条件作出可行域,如图中阴影部分所示.由点到直线的距离公可知, 目标函数 的几何意义是可行域内的点到直线l: 的距离的 倍. 数形结合可知,可行域内到直线l的距离最大的点为 , 且点A到直线l的距离 , 则 的最大值为4. 故选:A. 8.C 【分析】列举出每次算法步骤,即可得出输出结果. 【详解】执行第一次循环, , , , ; 执行第二次循环, , , , ; 执行第三次循环, , , , ;执行第四次循环, , , , ,退出循环,输出 . 故选:C. 9.D 【分析】由 , ,求出等比数列 的公比 及 ,数列 也是等比数 列,利用等比数列求和公式可求出答案. 【详解】因为 , , 所以等比数列 的公比 ,所以 ,则 , 由 ,可知数列 是以 为首项, 为公比的等比数列, 所以 . 故选:D. 10.C 【分析】连接 ,即可得到 ,再由正三棱柱的性质得到 平面 ,即可得到 ,从而得到 平面 ,再由线面垂直的性质得到 ,即可说明 ,即可 判断①、②、③,连接 ,通过证明平面 平面 ,即可说明④. 【详解】解:连接 ,因为正三棱柱 的所有棱长都相等,所以 , . 又 , 分别是 , 的中点,所以 ,所以 .因为 , , , 平面 ,所以 平面 . 又 平面 ,所以 .又 , , 平面 ,所以 平面 . 又 平面 ,所以 . 由题意知 且 ,所以四边形 是平行四边形, 所以 ,所以 ,故①、③正确; 与 是异面直线,故②错误; 连接 ,因为 , 平面 , 平面 ,所以 平面 又 ,同理可证 平面 , 又 , 平面 , 所以平面 平面 . 因为 是线段 上的动点,所以 平面 ,所以 平面 ,故④正确. 故选:C 11.D 【分析】由商数关系化简函数,结合导数法可得函数性质及图象,即可逐个判断. 【详解】因为 ,所以 . 当 时,令 ,解得 ,则当x变化时, , 的变化情况如下表所示. x - 0 + 0 - 单调递 单调递减 单调递减 增 所以 在区间 上的图象如图所示. 对A, 在区间 上单调递增,A错; 对B, 在区间 上有极大值,无极小值,B错; 对C, 在区间 上的最大值为 ,最小值为 , , C错; 对D, 在区间 内有且只有一个零点,D对. 故选:D. 12.B【分析】设底面 的中心为Q,根据题意可知,当三棱锥P-ABC的体积取得最大值时, 底面 ABC,求出体积的最大值,再利用等体积法求出内切球的半径即可. 【详解】设底面 的中心为Q,连接BQ,OQ, 则 ,且 底面ABC, 如图,延长QO交球面于点P,连接OB,此时三棱锥P-ABC的体积取得最大值, 因为球O的半径为2,所以 , 在 中, , 所以三棱锥P-ABC的体积的最大值为 , 此时 , 所以 , 所以 ,解得 . 故选:B. 13.9 【分析】先根据点数求解概率,再结合几何概型求解黑色部分的面积 【详解】由题设可估计落入黑色部分的概率设黑色部分的面积为 ,由几何概型计算公式可得 解得 故答案为:9 14. 【分析】由奇、偶函数和周期函数的定义,可得 的最小正周期,结合对数的运算性质可得答案. 【详解】解:由 是定义在 上的奇函数, 为偶函数, 可得 , ,即 , 所以 ,可得 , 则 的最小正周期为4, 当 时, , 则 . 故答案为: . 15.【答案】 【分析】求出平移后所得函数的解析式,根据题意可得出关于 的不等式,解之即可. 【详解】函数 的最小正周期为 , 将函数 向右平移 后的解析式为 , 由 ,可得 , 要使得平移后的图象有 个最高点和 个最低点,则需: ,解得 . 故答案为: .16. 【分析】设 ,进而根据点差法得 ,再根据 得 ,进而得 ,再求渐近线的斜率之积即可得答案. 【详解】解:设 , 因为 是 上的两点, 是 的中点, 为坐标原点,直线 的斜率为 , 所以 ①, ②, ③, ④, 所以,② ③得 ,整理得 所以 , 因为双曲线 的右焦点为 ,虚轴的上端点为 , 所以 , , 因为 , 所以 ,即 ,整理得: , 所以 ,整理得 , 所以 ,即 , 所以 ,整理得 , 因为 的两条浙近线分别为 , 所以, 的两条浙近线的斜率之积为故答案为: 17.(1) (2) 【分析】(1)由正弦定理边角互化得 ,再结合正弦和角公式得 ,进 而可得答案; (2)根据余弦定理,结合 得 ,进而根据余弦定理得 ,再计 算面积即可. 【详解】(1)解:因为 ,所以 ,即 , 因为 , 所以 ,即 , 因为 ,所以 , 因为 ,所以 . (2)解:如图,因为 为边 的中点,且 , 所以 , , 因为 ,所以 ,即 ,整理得 , 因为 ,即 ,解得 , 所以, 的面积为 . 18.(1)有99%的把握认为学生的数学竞赛成绩与是否参加“强基培优”拓展培训有关. (2) 【分析】(1)根据表中数据和参考公式代入计算并与 比较即可得出结论;(2)由分层抽样可知参 加过培训的有4人,未参加过的有2人,列举出6人中随机抽取2人的所有基本事件,再选出符合条件的 事件数即可求得结果. 【详解】(1))根据列联表代入计算可得: , 所以有99%的把握认为学生的数学竞赛成绩与是否参加“强基培优”拓展培训有关. (2)由题意可知,所抽取的6名学生中参加过“强基培优”拓展培训的有4人,记为 , , , , 未参加过“强基培优”拓展培训的有2人,设为甲、乙. 从这6人中随机抽取2人的所有基本事件有 , , , , , , , , , , , , , , ,共15个, 其中至少有一人未参加过培训的基本事件有 , , , , , , , , ,共9个.故至少有一人未参加过培训的概率 . 19.(1)存在, 时, 平面 (2) 【分析】(1)作出辅助线,得到当 时,四边形 为平行四边形,从而证明出线面平行; (2)分割为两个棱锥,求出 ,相加后得到结果. 【详解】(1)当 时,满足 平面 , 过点 作 AD交AF于点G,连接BG,则 , 因为 , ,所以 且 , 所以四边形 为平行四边形, 故 , 因为 平面 , 平面 , 所以 平面 ,此时 ; (2)连接AE,DE, 四边形ABCD为直角梯形,过点B作BN⊥AD于点N,则四边形BCDN为正方形, 故BC=DN=1,BN=CD=1,故AN=AD-DN=3-1=2, 由勾股定理得: , 面积为 ,平面 平面 ,交线为AB, 因为四边形 为正方形,所以 , 平面ABEF, 故 平面ABCD,且 则四棱锥 , 过点N作NH⊥AB于点H,则 , 则点D到AB的距离为 , 因为平面 平面 ,交线为AB,NH⊥AB,且 平面ABCD, 所以NH⊥平面ABEF, 则点D到平面ABEF的距离为 , 正方形ABEF的面积为 ,则 , 多面体ABCDEF的体积为 . 20.【答案】(1) (2) 【详解】(1)直线 方程为 ,即 ,到直线 的距离 ,化简得 , 又离心率 ,即 ,且 ,解得 , , , 所以 的方程为: . (2)设直线 的方程为 ,由于 的渐近线的斜率为 ,所以 . 将 方程代入 ,化简得 . 设 , ,则 , , , 设平行于 与椭圆 相切的直线为 , 由 得 , 由 得 , 直线 与 之间的较小距离 , 直线 与 之间的较大距离 ,则 面积的较小值为, 面积的较大值为 ,设 , , ,则 , , ,∴ , 所以 面积的取值范围为 . 21.(1)极大值为 ,无极小值 (2) (3)证明见解析 【分析】(1)当 时,利用导数分析函数 的单调性,即可求得函数 的极值; (2)分 、 、 三种情况讨论,利用导数分析函数 的单调性,在前两种情况下,直接验 证即可,在 时,利用导数求得 ,令 ,其中 ,利用导数 分析函数 的单调性,可得出 ,即可求得实数 的取值范围; (3)当 时,由(2)可得出 ,可得出 ,利用不等式的基本性质、等比数列的 求和公式以及对数函数的单调性可证得结论成立. 【详解】(1)解:当 时, ,该函数的定义域为 , . 当 时, ,此时函数 单调递增, 当 时, ,此时函数 单调递减,此时,函数 在 处取得极大值,且极大值为 . (2)解:当 时, ,此时函数 在 上为增函数, 因为 ,不合乎题意; 当 时, ,当 时, ,不合乎题意; 当 时,由 可得 . 当 时, ,此时函数 单调递增, 当 时, ,此时函数 单调递减, 所以, , 令 ,其中 ,则 , 所以,函数 在 上单调递减,由 可得 . 综上所述,实数 的取值范围是 . (3)证明:当 时, 对任意的 恒成立,所以, , 所以, , 所以, , 因此, . 【点睛】方法点睛:利用导数证明不等式问题,方法如下:(1)直接构造函数法:证明不等式 (或 )转化为证明 (或 ),进而构造辅助函数 ; (2)适当放缩构造法:一是根据已知条件适当放缩;二是利用常见放缩结论; (3)构造“形似”函数,稍作变形再构造,对原不等式同解变形,根据相似结构构造辅助函数. 22.(1) ; (2) . 【分析】(1)利用两角和与差的正弦公式展开,再结合 , 即可得到直线方程; (2)将参数方程代入(1)中的直线方程得 ,则转化为 有解, 令 , ,则设 ,求出其值域即可. 【详解】(1)因为 ,所以 , 又因为 , ,得 , 即 的直角坐标方程为 . (2)将 ,代入 ,得 , 所以 ,即 , 要使 与 有公共点,则 有解, 即 有解,令 ,则 , 令 , ,则对称轴为 ,所以 在 上单调递减,在 上单调递增, 所以 , 又 , , 所以 , 解得 ,即 的取值范围是 . 23.(1) (2) 【分析】(1)移项,两边平方即可获解; (2)利用绝对值不等式即可. 【详解】(1) 即 即 ,即 即 ,即 或 所以不等式的解集为 (2)由题知 对 恒成立 因为 . 所以 ,解得 即 或 ,所以实数 的取值范围为