当前位置:首页>文档>专题01三角函数的图象与性质(典型题型归类训练)(解析版)_2.2025数学总复习_2024年新高考资料_3.2024专项复习_解题思路训练2024年高考数学复习解答题提优秘籍(新高考专用)

专题01三角函数的图象与性质(典型题型归类训练)(解析版)_2.2025数学总复习_2024年新高考资料_3.2024专项复习_解题思路训练2024年高考数学复习解答题提优秘籍(新高考专用)

  • 2026-04-15 05:29:56 2026-03-11 01:22:38

文档预览

专题01三角函数的图象与性质(典型题型归类训练)(解析版)_2.2025数学总复习_2024年新高考资料_3.2024专项复习_解题思路训练2024年高考数学复习解答题提优秘籍(新高考专用)
专题01三角函数的图象与性质(典型题型归类训练)(解析版)_2.2025数学总复习_2024年新高考资料_3.2024专项复习_解题思路训练2024年高考数学复习解答题提优秘籍(新高考专用)
专题01三角函数的图象与性质(典型题型归类训练)(解析版)_2.2025数学总复习_2024年新高考资料_3.2024专项复习_解题思路训练2024年高考数学复习解答题提优秘籍(新高考专用)
专题01三角函数的图象与性质(典型题型归类训练)(解析版)_2.2025数学总复习_2024年新高考资料_3.2024专项复习_解题思路训练2024年高考数学复习解答题提优秘籍(新高考专用)
专题01三角函数的图象与性质(典型题型归类训练)(解析版)_2.2025数学总复习_2024年新高考资料_3.2024专项复习_解题思路训练2024年高考数学复习解答题提优秘籍(新高考专用)
专题01三角函数的图象与性质(典型题型归类训练)(解析版)_2.2025数学总复习_2024年新高考资料_3.2024专项复习_解题思路训练2024年高考数学复习解答题提优秘籍(新高考专用)
专题01三角函数的图象与性质(典型题型归类训练)(解析版)_2.2025数学总复习_2024年新高考资料_3.2024专项复习_解题思路训练2024年高考数学复习解答题提优秘籍(新高考专用)
专题01三角函数的图象与性质(典型题型归类训练)(解析版)_2.2025数学总复习_2024年新高考资料_3.2024专项复习_解题思路训练2024年高考数学复习解答题提优秘籍(新高考专用)
专题01三角函数的图象与性质(典型题型归类训练)(解析版)_2.2025数学总复习_2024年新高考资料_3.2024专项复习_解题思路训练2024年高考数学复习解答题提优秘籍(新高考专用)
专题01三角函数的图象与性质(典型题型归类训练)(解析版)_2.2025数学总复习_2024年新高考资料_3.2024专项复习_解题思路训练2024年高考数学复习解答题提优秘籍(新高考专用)
专题01三角函数的图象与性质(典型题型归类训练)(解析版)_2.2025数学总复习_2024年新高考资料_3.2024专项复习_解题思路训练2024年高考数学复习解答题提优秘籍(新高考专用)
专题01三角函数的图象与性质(典型题型归类训练)(解析版)_2.2025数学总复习_2024年新高考资料_3.2024专项复习_解题思路训练2024年高考数学复习解答题提优秘籍(新高考专用)
专题01三角函数的图象与性质(典型题型归类训练)(解析版)_2.2025数学总复习_2024年新高考资料_3.2024专项复习_解题思路训练2024年高考数学复习解答题提优秘籍(新高考专用)
专题01三角函数的图象与性质(典型题型归类训练)(解析版)_2.2025数学总复习_2024年新高考资料_3.2024专项复习_解题思路训练2024年高考数学复习解答题提优秘籍(新高考专用)
专题01三角函数的图象与性质(典型题型归类训练)(解析版)_2.2025数学总复习_2024年新高考资料_3.2024专项复习_解题思路训练2024年高考数学复习解答题提优秘籍(新高考专用)
专题01三角函数的图象与性质(典型题型归类训练)(解析版)_2.2025数学总复习_2024年新高考资料_3.2024专项复习_解题思路训练2024年高考数学复习解答题提优秘籍(新高考专用)
专题01三角函数的图象与性质(典型题型归类训练)(解析版)_2.2025数学总复习_2024年新高考资料_3.2024专项复习_解题思路训练2024年高考数学复习解答题提优秘籍(新高考专用)
专题01三角函数的图象与性质(典型题型归类训练)(解析版)_2.2025数学总复习_2024年新高考资料_3.2024专项复习_解题思路训练2024年高考数学复习解答题提优秘籍(新高考专用)
专题01三角函数的图象与性质(典型题型归类训练)(解析版)_2.2025数学总复习_2024年新高考资料_3.2024专项复习_解题思路训练2024年高考数学复习解答题提优秘籍(新高考专用)
专题01三角函数的图象与性质(典型题型归类训练)(解析版)_2.2025数学总复习_2024年新高考资料_3.2024专项复习_解题思路训练2024年高考数学复习解答题提优秘籍(新高考专用)
专题01三角函数的图象与性质(典型题型归类训练)(解析版)_2.2025数学总复习_2024年新高考资料_3.2024专项复习_解题思路训练2024年高考数学复习解答题提优秘籍(新高考专用)
专题01三角函数的图象与性质(典型题型归类训练)(解析版)_2.2025数学总复习_2024年新高考资料_3.2024专项复习_解题思路训练2024年高考数学复习解答题提优秘籍(新高考专用)
专题01三角函数的图象与性质(典型题型归类训练)(解析版)_2.2025数学总复习_2024年新高考资料_3.2024专项复习_解题思路训练2024年高考数学复习解答题提优秘籍(新高考专用)
专题01三角函数的图象与性质(典型题型归类训练)(解析版)_2.2025数学总复习_2024年新高考资料_3.2024专项复习_解题思路训练2024年高考数学复习解答题提优秘籍(新高考专用)
专题01三角函数的图象与性质(典型题型归类训练)(解析版)_2.2025数学总复习_2024年新高考资料_3.2024专项复习_解题思路训练2024年高考数学复习解答题提优秘籍(新高考专用)
专题01三角函数的图象与性质(典型题型归类训练)(解析版)_2.2025数学总复习_2024年新高考资料_3.2024专项复习_解题思路训练2024年高考数学复习解答题提优秘籍(新高考专用)
专题01三角函数的图象与性质(典型题型归类训练)(解析版)_2.2025数学总复习_2024年新高考资料_3.2024专项复习_解题思路训练2024年高考数学复习解答题提优秘籍(新高考专用)
专题01三角函数的图象与性质(典型题型归类训练)(解析版)_2.2025数学总复习_2024年新高考资料_3.2024专项复习_解题思路训练2024年高考数学复习解答题提优秘籍(新高考专用)
专题01三角函数的图象与性质(典型题型归类训练)(解析版)_2.2025数学总复习_2024年新高考资料_3.2024专项复习_解题思路训练2024年高考数学复习解答题提优秘籍(新高考专用)
专题01三角函数的图象与性质(典型题型归类训练)(解析版)_2.2025数学总复习_2024年新高考资料_3.2024专项复习_解题思路训练2024年高考数学复习解答题提优秘籍(新高考专用)
专题01三角函数的图象与性质(典型题型归类训练)(解析版)_2.2025数学总复习_2024年新高考资料_3.2024专项复习_解题思路训练2024年高考数学复习解答题提优秘籍(新高考专用)

文档信息

文档格式
docx
文档大小
1.950 MB
文档页数
31 页
上传时间
2026-03-11 01:22:38

文档内容

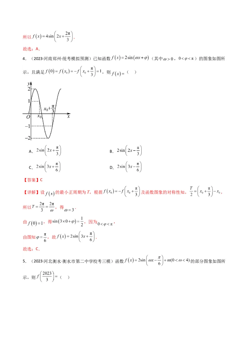
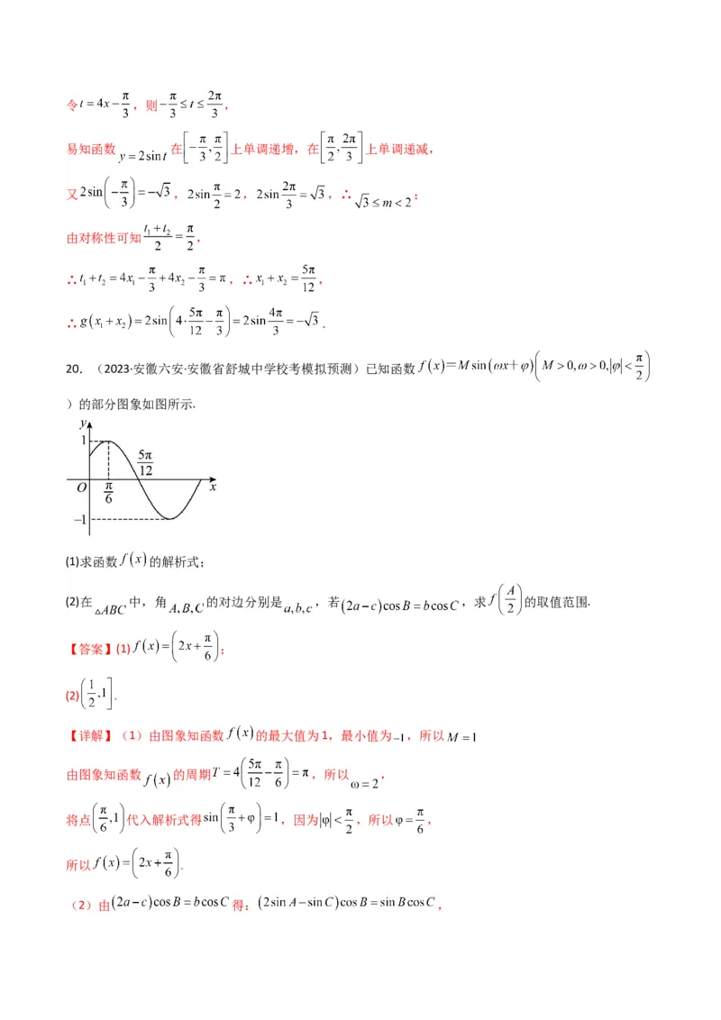
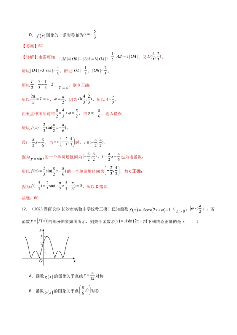
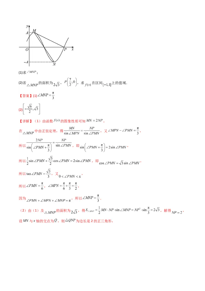
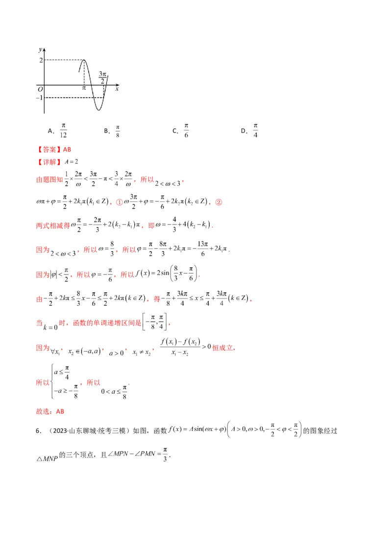
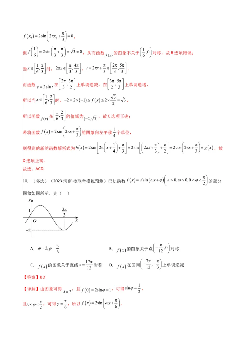
专题 01 三角函数的图象与性质(根据图象求解析式) (典型题型归类训练) 目录 一、必备秘籍........................................................1 二、典型题型........................................................1 三、专项训练........................................................8 一、必备秘籍 必备公式 ,(其中 ); 辅助角公式 求 解析式 求法 方法一:代数法 方法二:读图法 表示平衡位置; 表示振幅 求法 方法一:图中读出周期 ,利用 求解; 方法二:若无法读出周期,使用特殊点代入解析式但需注意根据具体题意取舍答案. 求法 方法一:将最高(低)点代入 求解; 方法二:若无最高(低)点,可使用其他特殊点代入 求解;但需 注意根据具体题意取舍答案. 二、典型题型 1.(2023·陕西西安·校考一模)函数 的部分图象如图所示,则下 列结论正确的是( )A.点 是 的对称中心 B.直线 是 的对称轴 C. 的图象向右平移 个单位得 的图象 D. 在区间 上单调递减 【答案】D 【详解】由题意可知, , ,解得 , 所以 ,解得 , 将 代入 中,得 ,解得 , , 因为 ,所以 , 当 时, , 所以 的解析式为 . 对于A, ,所以点 不是 的对称中心,故A错误; 对于B, ,所以直线 不是 的对称轴,故B错误; 对于C, 的图象向右平移 个单位得 的图象,故C错误; 对于D,当 时, ,所以 在区间 上单调递减,故D正确. 故选:D. 2.(2023·陕西咸阳·武功县普集高级中学校考模拟预测)函数 的部分 图象如图所示,则( )A. B. 图象的一条对称轴方程是 C. 图象的对称中心是 , D.函数 是奇函数 【答案】B 【详解】由函数 的图象知 ,可得 ; 即 ,解得 ,即 , 又因为 ,可得 , ,即 , , 又 ,可得 , ,故A错误. 对选项B, 取到最小值,故B正确. 对选项C,令 , ,解得 , , 因此 的对称中心是 , ,故C错误. 对选项D,设 , 则 的定义域为 , ,所以 为偶函数,即D错误. 故选:B. 3.(2023·辽宁大连·大连八中校考三模)如图,函数 的图象与坐标轴交于点 ,直线 交 的图象于点 , 坐标原点 为 的重心 三条边中线的交点 ,其 中 ,则 ( ) A. B. C. D. 【答案】C 【详解】根据题意可知,点 是 的一个对称中心, 又直线 交 的图象于点 ,利用对称性可知 两点关于 点对称; 不妨设 , 由重心坐标公式可得 ,又 ,即可得 ; 由最小正周期公式可得 ,解得 ,即 ; 将 代入 可得 ,又 ,所以 ; 即 , 所以 . 故选:C 4.(2023·山东泰安·统考模拟预测)已知函数 的部分 图象如图,则( )A. B. C.点 为曲线 的一个对称中心 D.将曲线 向右平移 个单位长度得到曲线 【答案】D 【详解】由图象知: ,解得 , 将点 的坐标代入 得 , 由图象可知,点 在 的下降部分上,且 , 所以 ,所以A不正确; 将点 的坐标代入 ,得 , 即 ,所以 , 所以 ,所以B不正确; 令 ,解得 , 取 ,则 ,所以对称中心为 ,所以C不正确; 将曲线向右平移 个单位长度得到曲线 ,所以D正确; 故选:D. 5.(多选)(2023·广东梅州·统考三模)函数 的部分图象如图所 示,若 , , , , 恒成立,则实数 的值可以为( )A. B. C. D. 【答案】AB 【详解】 由题图知 ,所以 , ,① ,② 两式相减得 ,即 . 因为 ,所以 ,所以 . 因为 ,所以 ,所以 . 由 ,得 , 当 时,函数的单调递增区间是 , 因为 , , , , 恒成立, 所以 ,所以 . 故选:AB 6.(2023·山东聊城·统考三模)如图,函数 的图象经过 的三个顶点,且 .(1)求 ; (2)若 的面积为 , ,求 在区间 上的值域. 【答案】(1) (2) 【详解】(1)由函数 的图象性质可知 , 在 中由正弦定理,得 ,又 , 所以 ,即 , 所以 ,即 , 所以 ,又 , 所以 , , 因为 ,所以 . (2)由(1)及 的面积为 ,得 ,解得 , 设 与 轴的交点为 ,则 为边长是2的正三角形,所以 , ,所以 . 又 ,所以 ,即 又 ,解得 ,即 . 因为 ,所以 ,所以 , 所以 , 即 在区间 上的值域为 . 三、专项训练 1.(2023·四川眉山·仁寿一中校考模拟预测).函数 的部分图 象如图所示,则下列说法正确的是( ) A. 的最小正周期为 B. C. 在 上单调递增D.将函数 的图象向左平移 个单位,得到函数 的图象 【答案】D 【详解】对于A,由图象得函数 的周期 ,A错误; 对于B,由图象得 , ,即有 , 又图象过点 ,则 ,即 , 又 ,于是 ,因此 ,B错误; 对于C,因为 ,所以 , , 而 ,即有 ,即 ,则 , 在 上不单调,C错误; 对于D,因为 ,将函数 的图象向左平移 个单位, 得 的图象,D正确. 故选:D 2.(2023·江苏徐州·校考模拟预测)函数 ( , )的部分图象如图所示, 若 在 上有且仅有3个零点,则 的最小值为( ) A. B. C. D. 【答案】A 【详解】由图可知 ,由于 ,所以 , 令 , 得 ,由 得 , 依题意, 在 上有且仅有3个零点, 故当 取值最小时,有 , 解得 ,所以 的最小值为 . 故选:A 3.(2023·陕西宝鸡·统考二模)已知函数 的部分图象如图所示,则该 函数的解析式为( ) A. B. C. D. 【答案】A 【详解】显然 ,因为 ,所以 ,所以 , 由 ,得 ,所以 , , 即 , .因为 ,所以 ,所以 . 故选:A. 4.(2023·河南郑州·统考模拟预测)已知函数 (其中 , )的图象如图所 示,且满足 ,则 ( ) A. B. C. D. 【答案】C 【详解】设 的最小正周期为T,根据 及函数图象的对称性知, , 所以 ,得 . 由 ,得 ,因为 , 由图知 ,故 . 故选:C. 5.(2023·河北衡水·衡水市第二中学校考三模)函数 的部分图象如图所 示,则 ( )A.-2 B.-1 C.0 D. 【答案】C 【详解】由图可知 ,且过点 ,代入解析式可知 , 即 . 因为 ,所以 , 所以 , 所以 . 故答案为:C 6.(2023·广东韶关·统考模拟预测)函数 的部分图象如图所示, 将函数 图象上所有点的横坐标变为原来的 (纵坐标不变),再向左平移 个单位得到 的 图象,则下列说法不正确的是( ) A.函数 的最小正周期为 B.函数 在 上单调递增 C.函数 的一个极值点为 D.函数 的一个零点为 【答案】B【详解】由图可知 , ,所以 ,又 ,所以 ; 又 ,所以 , ,所以 , , 因为 ,所以 ,故 , 将函数 图象上所有点的横坐标变为原来的 (纵坐标不变)得到 , 再向左平移 个单位得到 , 即 , 所以 的图象的最小正周期为 ,故A正确; 因为 ,所以 ,则 在 上不单调,故B错误; 对于C:令 , ,解得 , , 当 时,函数 的一个极值点为 ,所以C正确; 对于D:令 , ,解得 , , 令 ,则函数 的一个零点为 ,所以D正确. 故选:B. 7.(2023·陕西安康·陕西省安康中学校考模拟预测)已知函数 的部分图象如图所示, 则 ( ) A.1 B. C.2 D. 【答案】B 【详解】设 的最小正周期为 , 由图象可知 ,则 ,所以 ,所以 或 . 又由题图知, ,则 , 解得 . 解 可得 ,不满足条件; 解 可得, , 当且仅当 时,符合题意. 所以, ,此时 . 故选:B. 8.(2023·宁夏石嘴山·石嘴山市第三中学校考模拟预测)如图是函数 的部分 图象,且 ,则 ( ) A.1 B. C. D. 【答案】D 【详解】由 可得: ,即 , 即 ,因为 ,所以 , 所以 , 结合图象可得 ,则 , 因为 ,所以 , 所以 . 故选:D.9.(多选)(2023·广西玉林·统考模拟预测)已知函数 的部分图 象如图所示,下列说法正确的是( ) A. B.函数 的图象关于 对称 C.函数 在 的值域为 D.要得到函数 的图象,只需将函数 的图象向左平移 个单位 【答案】ACD 【详解】如图所示: 由图可知 ,又 , 所以 ,所以 , 又函数图象最高点为 , 所以 ,即 , 所以 ,解得 , 由题意 ,所以只能 ,故A选项正确; 由A选项分析可知 ,而 是 的对称中心当且仅当, 但 ,从而函数 的图象不关于 对称,故B选项错误; 当 时, , , 而函数 在 上单调递减,在 上单调递增, 所以当 时, , 所以函数 在 的值域为 ,故C选项正确; 若将函数 的图象向左平移 个单位, 则得到的新的函数解析式为 ,故 D选项正确. 故选:ACD. 10.(多选)(2023·河南·校联考模拟预测)已知函数 的部分 图象如图所示,则( ) A. B. 的图象关于点 对称 C. 的图象关于直线 对称 D. 在区间 上单调递减 【答案】BD 【详解】由图象可得 ,且 ,可得 , 且 ,可得 ,所以 ,又因为 ,即 , 可得 ,解得 , , 由题意可知 ,解得 ,所以 ,故A错误; 所以 , 对于选项B:因为 , 所以 的图象关于点 对称,故B正确; 对于选项C:因为 不是最值, 所以 的图象不关于直线 对称,故C错误; 对于选项D:当 时, , 且 在 上单调递减,则 在 上单调递减,故D正确. 故选:BD. 11.(多选)(2023·福建泉州·泉州七中校考模拟预测)如图,已知函数 的图象与 轴交于点 ,若 ,图象的一个最高点 ,则下列说法正确的是( ) A. B. 的最小正周期为4 C. 的一个单调增区间为D. 图象的一条对称轴为 【答案】BC 【详解】由图可知, , ,又 , 所以 ,所以 , , 所以 , ,则B正确; 所以 , ,因为 ,所以 , 由五点作图法可得 ,得 ,则A错误; 所以 , 设 ,当 时, , 因为 的一个单调增区间为 , 也为增函数, 所以 的一个单调增区间为 ,故C正确; 因为 ,所以D错误. 故选:BC 12.(2023·湖南长沙·长沙市实验中学校考三模)已知函数 ( , ),若 函数 的部分图象如图所示,则关于函数 下列结论正确的是( ) A.函数 的图象关于直线 对称 B.函数 的图象关于点 对称C.函数 在区间 上单调递增 D.函数 的图象可由函数 的图象向左平移 个单位长度得到 【答案】BC 【详解】由题意结合函数图象可得 ,解得 , 故 , 由 ,所以 , 又 ,且函数 在 处单调递增,所以 , 所以 , , 对于A,因为 , 所以函数 的图象不关于直线 对称,故A错误; 对于B,因为 , 所以点 是函数 的图象的对称中心,故B正确; 对于C,由 ,得 , 所以函数 在区间 上单调递增,故C正确; 对于D,将函数 的图象向左平移 个单位长度, 得 ,故D错误. 故选:BC. 13.(多选)(2023·湖南长沙·长沙市实验中学校考二模)如图是函数 ( , , )的部分图像,则( )A. 的最小正周期为 B. 是的函数 的一条对称轴 C.将函数 的图像向右平移 个单位后,得到的函数为奇函数 D.若函数 ( )在 上有且仅有两个零点,则 【答案】AD 【详解】由图像可知, , ,即 ,故A正确; ,此时 , 又 在图像上, ,解得 , , , , , 当 是函数 的一条对称轴时,此时 不符合题意,故B错误; 将 的图象向右平移 个单位后得到的图象对应的解析式为: 不为奇函数,故C错误; 令 ,解得 , 当 时, ,不合题意 时, ; 时, ; 时, ; 又因为函数 在 上有且仅有两个零点,解得 ,故D正确. 故选:AD. 14.(多选)(2023·江苏无锡·校联考三模)已知函数 的部分图象如图所示,则 ( ) A. B. 在区间 上单调递增 C. 在区间 上有且仅有2个极小值点 D. 在区间 上有且仅有2个极大值点 【答案】AC 【详解】因为 , 所以 , 且 所以 ,所以结合数轴知, , 故选项A正确; 在 时, 又因为 ,区间的左端点是 ,区间的右端点位于 , 令 , 所以 的图像如下图所示, 因此 在区间 上不一定递增,故选项B错误; 在 时, , 又因为 ,区间的左端点是 ,区间的右端点位于 , 令 , 所以 的图像如下图所示, 所以 在 即 在 上有且仅有2个极小值点,故选项C正确;所以 在 即 在 上有2或3个极大值点,故选项D错误. 故选:AC. 15.(多选)(2023·海南·校联考模拟预测)已知函数 的部分 图象如图所示,则( ) A. 的图象关于点 对称 B. 的图象关于直线 对称 C. 在区间 上单调递减 D. 在区间 上的值域为 【答案】BC 【详解】由图象可得 ,则 , 的最大值为 , ∴ , 过点 ,∴ ,∴ , ∵ , ,∴ ,过点 ,∴ , 即 , ∴ ,由图像可知 ,即 , 故 , , ∴ , A项: , 的图象不关于点 对称,A错误; B项: , 取得最值, 则 的图象关于直线 对称,B正确; C项:令 ,∴ , 故 的单调递减区间为 , 当 时, 在 上单调递减, , 故 在区间 上单调递减,C正确; D项: ,∴ , , ,D错误, 故选:BC 16.(多选)(2023·全国·模拟预测)已知函数 的部分图像 如图,则( )A. B. C.将曲线 向右平移 个单位长度得到曲线 D.点 为曲线 的一个对称中心 【答案】AD 【详解】由题图可知, 解得 将点 的坐标代入 ,得 ,所以 . 由图像可知,点 在 图像的下降部分上,且 ,所以 . 将点 的坐标代入 ,得 ,解得 , 则 ,A正确. 由A,得 . 所以 ,B错误. 将曲线 向右平移 个单位长度得到曲线 ,C错误. 令 , ,解得 , . 取 ,则 , 所以点 为曲线 的一个对称中心,D正确. 故选:AD. 17.(2023·贵州六盘水·统考模拟预测)已知函数 在一个周期内的 图象如图所示.(1)求 的解析式; (2)当 时,求使 成立的x的取值集合. 【答案】(1) (2) 【详解】(1)由图可知, , 所以 , 又函数图象过点 ,所以 ,即 , 得 , 又 ,所以 ,所以 . (2)由(1)知 , 由 ,得 , 解得 , 所以使 成立的x的取值集合为 18.(2023·安徽·池州市第一中学校联考模拟预测)已知函数的部分图象如图所示. (1)求函数 的解析式; (2)将函数 的图象向右平移 个单位,再横坐标伸长为原来的2倍,纵坐标不变,最后将图象向上平 移1个单位,得到函数 的图象,求函数 在区间 上的值域. 【答案】(1) (2) 【详解】(1)根据图象可知: ,函数 过点 , ,且 , 又 函数 过点 , 由图象可知 ,得 , . (2)根据题意可得: 函数 图象向右平移 个单位得到 的图象, 再横坐标伸长为原来的2倍得到 的图象, 最后向上平移1个单位得到函数 的图象, , , 函数 在区间 上的值域为 .19.(2023·辽宁鞍山·鞍山一中校考二模)函数 的部分图象如图所 示. (1)求函数 的解析式; (2)将函数 的图象先向右平移 个单位,再将所有点的横坐标缩短为原来的 (纵坐标不变),得到 函数 的图象,若关于 的方程 在 上有两个不等实根 ,求实数 的取值范 围,并求 的值. 【答案】(1) (2) , 【详解】(1)由图可知, , ∵ , ∴ ,∴ , 又 , ∴ , ,∴ , 由 可得 , ∴ ; (2)将 向右平移 个单位得到 , 再将所有点的横坐标缩短为原来的 ,得到 ,令 ,则 , 易知函数 在 上单调递增,在 上单调递减, 又 , , ,∴ ; 由对称性可知 , ∴ ,∴ , ∴ . 20.(2023·安徽六安·安徽省舒城中学校考模拟预测)已知函数 )的部分图象如图所示. (1)求函数 的解析式; (2)在 中,角 的对边分别是 ,若 ,求 的取值范围. 【答案】(1) ; (2) . 【详解】(1)由图象知函数 的最大值为1,最小值为 ,所以 由图象知函数 的周期 ,所以 , 将点 代入解析式得 ,因为 ,所以 , 所以 . (2)由 得: ,所以 , , 因为 ,所以 ,所以 , , , 由(1) , 又 , ,所以 , 所以 . 所以 的取值范围为 . 21.(2023·安徽安庆·安庆一中校考模拟预测)某港口在一天之内的水深变化曲线近似满足函数 ,其中 为水深(单位:米), 为时间(单位:小 时),该函数图像如图所示. (1)求函数 的解析式; (2)若一艘货船的吃水深度(船底与水面的距离)为4米,安全条例规定至少要有1.5米的安全间隙(船底 与水底的距离),则该船一天之内至多能在港口停留多久? 【答案】(1) (2)8小时 【详解】(1)由图知 , , , , 所以 ,将点 代入得 , 结合 解得 , 所以函数 的解析式 .(2)货船需要的安全水深为 米,所以当 时货船可以停留在港口. 由 得 ,得 , 即 , 当 时, ,当 时, , 所以该船一天之内至多能在港口停留 小时.