当前位置:首页>文档>2023年高考地理一轮复习(全国版)必修1第6章第1讲课时34 自然地理环境的整体性_9.2025地理总复习_赠品通用版(老高考)复习资料_一轮复习

2023年高考地理一轮复习(全国版)必修1第6章第1讲课时34 自然地理环境的整体性_9.2025地理总复习_赠品通用版(老高考)复习资料_一轮复习

  • 2026-03-18 10:43:57 2026-03-11 17:55:04

文档预览

2023年高考地理一轮复习(全国版)必修1第6章第1讲课时34 自然地理环境的整体性_9.2025地理总复习_赠品通用版(老高考)复习资料_一轮复习
2023年高考地理一轮复习(全国版)必修1第6章第1讲课时34 自然地理环境的整体性_9.2025地理总复习_赠品通用版(老高考)复习资料_一轮复习
2023年高考地理一轮复习(全国版)必修1第6章第1讲课时34 自然地理环境的整体性_9.2025地理总复习_赠品通用版(老高考)复习资料_一轮复习
2023年高考地理一轮复习(全国版)必修1第6章第1讲课时34 自然地理环境的整体性_9.2025地理总复习_赠品通用版(老高考)复习资料_一轮复习
2023年高考地理一轮复习(全国版)必修1第6章第1讲课时34 自然地理环境的整体性_9.2025地理总复习_赠品通用版(老高考)复习资料_一轮复习
2023年高考地理一轮复习(全国版)必修1第6章第1讲课时34 自然地理环境的整体性_9.2025地理总复习_赠品通用版(老高考)复习资料_一轮复习
2023年高考地理一轮复习(全国版)必修1第6章第1讲课时34 自然地理环境的整体性_9.2025地理总复习_赠品通用版(老高考)复习资料_一轮复习
2023年高考地理一轮复习(全国版)必修1第6章第1讲课时34 自然地理环境的整体性_9.2025地理总复习_赠品通用版(老高考)复习资料_一轮复习
2023年高考地理一轮复习(全国版)必修1第6章第1讲课时34 自然地理环境的整体性_9.2025地理总复习_赠品通用版(老高考)复习资料_一轮复习
2023年高考地理一轮复习(全国版)必修1第6章第1讲课时34 自然地理环境的整体性_9.2025地理总复习_赠品通用版(老高考)复习资料_一轮复习
2023年高考地理一轮复习(全国版)必修1第6章第1讲课时34 自然地理环境的整体性_9.2025地理总复习_赠品通用版(老高考)复习资料_一轮复习
2023年高考地理一轮复习(全国版)必修1第6章第1讲课时34 自然地理环境的整体性_9.2025地理总复习_赠品通用版(老高考)复习资料_一轮复习
2023年高考地理一轮复习(全国版)必修1第6章第1讲课时34 自然地理环境的整体性_9.2025地理总复习_赠品通用版(老高考)复习资料_一轮复习
2023年高考地理一轮复习(全国版)必修1第6章第1讲课时34 自然地理环境的整体性_9.2025地理总复习_赠品通用版(老高考)复习资料_一轮复习
2023年高考地理一轮复习(全国版)必修1第6章第1讲课时34 自然地理环境的整体性_9.2025地理总复习_赠品通用版(老高考)复习资料_一轮复习
2023年高考地理一轮复习(全国版)必修1第6章第1讲课时34 自然地理环境的整体性_9.2025地理总复习_赠品通用版(老高考)复习资料_一轮复习
2023年高考地理一轮复习(全国版)必修1第6章第1讲课时34 自然地理环境的整体性_9.2025地理总复习_赠品通用版(老高考)复习资料_一轮复习

文档信息

文档格式
docx
文档大小
4.656 MB
文档页数
17 页
上传时间
2026-03-11 17:55:04

文档内容

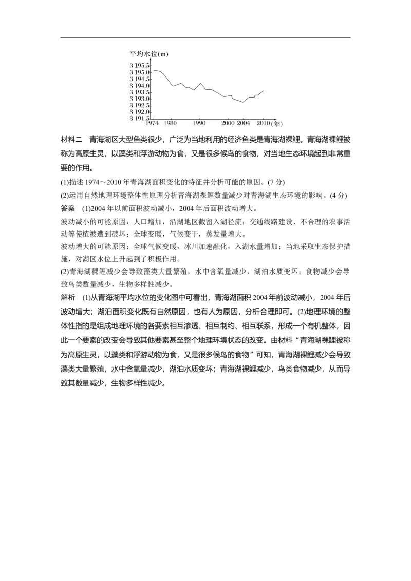
第 1 讲 自然地理环境的整体性 [考纲呈现] 1.自然地理要素在地理环 [体系架构] 境形成和演变中的作用。2.地理环境各 要素的相互作用,地理环境的整体 性。 [考向归纳] 以区域图、统计图、景观 图等图文材料为载体,考查地理环境 各要素间的相互关系及运用整体性原 理解决实际问题的能力。 课时 34 自然地理环境的整体性 1.地理要素间进行着物质与能量的交换 (1)自然地理环境要素:大气、水、岩石、生物、土壤、地形等。 (2)物质迁移和能量交换的途径:水循环、生物循环、岩石圈物质循环等。 (3)意义:各要素形成了一个相互渗透、相互制约和相互联系的整体。 (4)生物对自然地理环境的作用,归根结底是由于绿色植物能够进行光合作用。 2.地理要素间相互作用产生新功能 (1)生产功能:指自然地理环境具有合成有机物的能力。生产功能主要依赖于光合作用。 (2)平衡功能:是指各自然地理要素通过物质和能量交换,使自然地理环境的性质保持稳定 的能力。 3.自然地理环境具有统一的演化过程 (1)自然地理环境整体性的表现(2)结果:保证自然地理要素之间的协调。 一、地理环境整体性的要素分析法 1.地理环境各要素与环境总体特征是协调一致的 地理环境的总体特征一般由地貌和气候(特别是气候)决定并体现,如我国西北地区干旱、半 干旱和青藏地区高寒的特征。 第一步,根据区域的地理位置和地貌确定气候类型和特征。 第二步,概括出地理环境的总体特征。 第三步,与环境总体特征相联系,逐一分析其他要素的特征。以我国西北地区的环境要素与 环境总体特征的关系为例: 2.地理环境某一要素的变化会导致其他要素甚至整个环境状况的变化,即“牵一发而动全 身” 首先明确发生变化的要素(所牵的“一发”),然后逐一分析该要素变化引起的其他要素发生 的变化,最终导致“全身”发生怎样的变化。 案例:青藏高原隆起对东亚、南亚、中亚、西亚的自然环境产生巨大影响。 3.不同区域地理环境之间是相互联系的,一个区域的变化会影响到其他区域 首先明确这一区域发生的变化体现在哪些要素上,然后分析这一区域与其他区域存在哪些要 素上的联系,最后分析出其他区域发生的具体变化。以黄土高原的水土流失对黄河下游地区 的影响为例:二、自然地理各要素间相互作用实例 要素 相互影响 典例 云贵高原的喀斯特地貌形成于湿热的气候环境 气候→地貌 中;西北内陆的风沙地貌形成于干旱的气候环境 气候与 中 地貌 横断山区山高谷深,气温和降水的垂直差异大, 地貌→气候 形成“一山有四季,十里不同天”的气候 我国北方河流大多有结冰期,温带海洋性气候区 气候与 气候→水文 河流水位季节变化小 水文 水文→气候 在湖泊、水库周围,空气湿度大,昼夜温差小 赤道附近为雨林,动物耐热;亚寒带地区则为针 气候→生物 气候与 叶林,动物耐寒 生物 森林茂密的地方,周围的气候相对湿润;我国西 生物→气候 北地区植被稀少,加剧干旱程度 东北地区气候冷湿,土壤有机质分解慢,形成肥 气候与 气候→土壤 沃的黑土;东南丘陵地区气候湿热,有机质分解 土壤 快,形成贫瘠的红壤 土壤→气候 冻土加剧气候的寒冷 刚果河的向心状水系与盆地地形有关;北欧高地 地貌→水文 地貌与 上多湖泊,由冰川地貌积水形成 水文 黄土高原的沟壑地表是流水侵蚀的结果;长江三 水文→地貌 角洲是河流堆积作用形成的 阴坡与阳坡植物不同,如马尾松分布在阳坡,冷 地貌→生物 杉分布在阴坡 地貌与 生物对地貌的影响主要表现在:一方面加剧岩石 生物 生物→地貌 的风化过程,改变地貌形态;另一方面又具有保 持水土、减少侵蚀的作用,保护了原始地表形态 骆驼刺生长在干旱的环境中;芦苇生长在水湿的 水文与 水文→生物 环境中 生物 生物→水文 水生生物通过生命活动,不断改变水的化学成分 土壤与 土壤→生物 南方低山丘陵的酸性红壤适合茶树的生长 生物 生物→土壤 生物在土壤形成过程中起主导作用(2019·全国文综Ⅰ)阅读图文材料,完成下列要求。(22分) 随着非洲板块及印度洋板块北移,地中海不断萎缩,里海从地中海分离。有学者研究表 明,末次冰期晚期气候转暖,里海一度为淡水湖。当气候进一步转暖,里海北方的大陆冰川 大幅消退后,其补给类型发生变化,里海演化为咸水湖,但目前湖水盐度远小于地中海的盐 度。下图示意里海所在区域的自然地理环境。 (1)板块运动导致的山脉隆起改变了区域的地貌、水文和气候特征,分析这些特征的变化对 里海的影响。(6分) (2)末次冰期晚期里海一度为淡水湖,对此作出合理解释。(6分) (3)分析补给类型发生变化后里海演化为咸水湖的原因。(6分) (4)指出黑海、地中海未来演化为湖泊的必要条件。(4分) 本试题以湖泊演化为线索,将构造运动、地貌、水循环和水平衡、气候自然变化(冰期、间 冰期)联系为一体。试题材料充分体现了各种自然体(地壳、湖泊、地形、气候)都处于不断变 化之中的理念,说明了目前的区域特征只是自然地理过程的即时表现,展现了各要素之间的 相互作用(地貌、水文和气候之间);同时,将区域联系(褶皱山地对湖泊的影响)和区域过程 (里海、黑海、地中海将依次成湖)展示给考生,要求考生具备要素综合、空间综合与时间综 合的能力。 板块构造学说、地表形态变化的内外力因素、水循环的过程和主要环节、水循环的地理意义、 自然地理环境的整体性。 本题考查获取和解读地理信息、描述和阐释地理事物、论证和探讨地理问题的能力。 第(1)题 山脉隆起引起地貌变化,导致里海与海洋分离,形成湖泊;山脉形成分水岭, 导致里海汇水面积减小,汇入水量减少,进而导致湖泊面积减小;山脉隆起后,阻挡湿润的西风,里海所在区域转变为内陆干旱气候,里海演化为内陆湖。 第(2)题 冰川晚期依然属于冰期,气温较低,因此里海蒸发弱;冰期地面和高山积累大 量冰川和积雪,随着晚期气候变暖,冰雪开始融化且水量大,因而里海的水量补给较 大。在一定时期内,里海补给量大于蒸发量,因此湖泊含盐量低,一度为淡水湖。 第(3)题 里海一度为淡水湖时,其主要补给为冰雪融水,融水量大且杂质(含盐量)较 低。气候继续变暖,冰川大幅消退,冰雪融水量减少,据图中信息可知有多条河流注入 里海,此时里海补给形式变为河流补给。河流补给量有限且携带盐分注入里海,由于里 海没有出水口,盐分难以排出,又因气候变暖、蒸发加剧,里海水量减少,最终导致盐 度升高。 第(4)题 里海形成湖泊的必要条件为两大板块的北移,非洲板块及印度洋板块北移导致 山脉隆起和地中海萎缩,促使里海与海洋完全分离,成为湖泊。由此推断,如果非洲板 块及印度洋板块继续北移,推动更多山脉隆起,加剧地中海萎缩,可能会促使黑海和地 中海与里海一样演化为湖泊。 答案 (1) 山脉隆起,里海与海洋分离,形成湖泊 ( 湖盆 ) ;山脉隆起,导致里海汇水面积缩小 , 湖泊来水量减少,湖泊面积缩小。山脉隆起,阻挡湿润气流,导致干旱,推动湖泊向内陆湖 演化。 (2)气温仍较低,湖面蒸发弱;受冰雪融水补给;补给大于蒸发。 (3)有河流汇入,带来盐分;无出水口,盐分无法排出;地处内陆,蒸发强烈,导致盐度升 高。 (4) 非洲板块与印度洋板块 ( 继续 ) 北移 ( 或板块运动趋势不变 ) 。 (2022·北京东城区模拟)因长江三峡工程蓄放水,库区水位周期性大幅度涨落,形成了周 期性出露水面的消落带(下图)。消落带的生态治理是世界级难题。经过多年的反复试验,专 家们发现中山杉能持续抵抗干旱,也能承受较长时间水中浸泡,存活率高达 80%以上,是 库区消落带生物治理中较好的乔木树种。目前,万州大周段中山杉已成为重庆的“水中彩 林”景点。据此完成1~2题。 1.三峡库区消落带面临的生态问题主要是( )A.土地盐碱化 B.土地沙化 C.水土流失 D.滑坡 2.种植中山杉对当地的影响主要有( ) ①净化水质 ②提供木材 ③降低河流含沙量 ④改善航运条件 ⑤丰富沿岸景观 A.②③④⑤ B.①②③⑤ C.①②③④ D.①③④⑤ 答案 1.C 2.B 解析 第1题,三峡库区消落带由于水位周期性的大幅度涨落,导致带内植被生长条件差, 当降水量较大的时候容易引发水土流失,另外土体在吸水之后重力大,容易坍塌,引发滑坡。 滑坡属于地质灾害,水土流失为生态问题,故选C。第2题,中山杉能持续抵抗干旱,也能 承受较长时间水中浸泡,存活率高达80%以上,适合在水库消落带种植,种植之后能够提 高消落带的植被覆盖率,提供木材,稳定土体和坡体,净化水质,保持水土,降低河流的含 沙量,同时“水中彩林”景点也能丰富沿岸的景观。故选B。 3.阅读图文材料,完成下列要求。(14分) 阿特拉斯造山带位于阿尔及利亚北部,呈西南—东北走向,位于地中海与撒哈拉地台 之间,从北向南可以划分为5个构造带:内带、泰勒隆起带、前渊带、大高原和撒哈拉阿特 拉斯构造带。新生代时期构造带的地质变化促使阿特拉斯山脉形成,隆起的阿特拉斯山脉像 一道绿色的屏障,使山脉东南和西北两侧形成截然不同的自然环境。下图为阿尔及利亚北部 阿特拉斯造山带构造分带图(图1)及沿AB线的阿特拉斯造山带构造演化剖面图(图2)。 (1)从板块构造和地质作用角度,简述阿特拉斯造山带形成的地质过程。(4分) (2)说明阿特拉斯山脉隆起对气候区域差异的影响。(6分) (3)说明阿特拉斯山脉西北侧气候对当地硬叶低矮灌木群落形成的影响。(4分) 答案 (1)阿特拉斯造山带处于亚欧板块和非洲板块交界地带;地壳运动使岩层断裂,岩块 上升形成大高原;在挤压作用下,撒哈拉阿特拉斯构造带上升到撒哈拉地台之上,内带上升 到泰勒地区之上;泰勒地区发生强烈的挤压变形,形成褶皱隆起带,众多大型突起构造共同构成阿特拉斯山脉体系。 (2)阿特拉斯山脉隆起后,该山脉西北侧盛行西风受地形抬升作用影响,降水较多,形成地 中海气候;该山脉东南侧处于西风背风坡且受信风带或副热带高气压带控制,形成炎热、干 燥的热带沙漠气候;该山脉高差较大,气候垂直差异显著。 (3)该地属于地中海气候,夏季受副热带高气压带控制,日照强烈、气候干燥,使得该地灌 木群落具有硬叶的特点;冬季受西风和寒流影响,低温多雨,多强风,使得该地灌木群落具 有生长较慢、低矮的特点。 链接新教材 土壤 1.土壤的组成 组成 特征 作用 关系 ①土壤的物质基础,成土母质 (风化壳或风化堆积物)风化形 成的土壤固体颗粒; 主要成分,土壤中矿 矿物质 ②经风化分解,释放一些养分 物养分的主要来源 元素(钾、磷、钙、镁等),供 ①彼此间有密切联 植物吸收 系,共同形成了土 ①多集中在表层; 最重要成分,土壤肥 有机质 壤的肥力特性; ②释放氮,直接影响土壤肥力 力的物质基础,土壤 (腐殖质) ②肥力高低取决于 的形成和发育 形成发育的主要标志 水、肥、气、热四 个因素的协调程度 空气 贮存在土壤孔隙中,具有很大 不可缺少的成分,影 的流动性,使土壤能通气透 响土壤的热量状况 水,蓄水保温 水分 2.土壤剖面构造 类型 剖面层 特点 有机层 以分解和半分解的有机质为主 腐殖质层 腐殖质积累,颜色较深,呈灰黑色或黑色 森林 淋溶层 矿物质淋失,颜色较浅 土壤 淀积层 质地黏重、紧实,呈棕色或红棕色 母质层 疏松的风化碎屑物质母岩层 坚硬的岩石 耕作层 土质疏松,有机质比例高,颜色较暗 耕作 犁底层 土层紧实,颜色较浅,具有保肥保水作用 土壤 自然土层 未经耕作熟化,不利于作物生长 3.土壤的性质及其影响因素 土壤性质 影响因素 ①“收”:大气降水、地下水、灌溉用水; ②“支”:蒸发、植物吸收和蒸腾、水分渗漏和径流(壤中 土壤含水量 流); ③“储”:最大储水量受土壤空隙空间大小制约 受土壤空隙空间和土壤含水量的共同影响。①土质疏松、土 壤含水量小,土壤透气性好(但水分不足时,植物会凋萎);② 土壤透气性 土质黏重、土壤含水量大,土壤透气性差(水分充足易导致空 气受到排挤,土壤温度下降,透气性减弱,土壤肥力下降) 土壤肥力最终取决于水、肥、气、热的协调程度。 ①“收”:外力搬运输入;自身有机质、矿物质产出(岩石风 土壤肥力 化、生物分解);人类活动补充(施肥)等。 ②“支”:植物吸收;雨水淋溶、径流侵蚀;不合理的人类 活动等 ①母质:基性岩母质形成的土壤偏碱性,酸性岩母质形成的 土壤偏酸性。 ②气候:湿润地区往往与酸性土壤的分布一致;干旱和少雨 土壤酸碱度 地区,淋溶作用弱,往往是中性或碱性土壤的分布区。 ③人类活动:增施生石灰可中和土壤酸性;酸雨导致土壤酸 性增强等 ①“收”:直接来源为太阳辐射。 ②“支”:地面辐射、蒸发。 土壤温度 ③“调”:土壤含水量增加导致土壤温度变化减小、人类活 动(如覆盖黑膜可减少到达地面的太阳辐射,使土壤温度降 低;覆盖透明膜可减少地面辐射的散失,提高土壤温度) 4.成土因素对土壤的影响 因素 对土壤形成的作用 岩石的风化产物,包括本地风化物和外来风化物(经外力搬运、沉积), 成土母质 是土壤发育的物质基础,是植物矿物养分的最初来源,进而影响土壤质 地(砂土、壤土、黏土)和肥力为土壤提供有机质,是影响土壤发育的最基本也是最活跃的因素。 ①植物:枯枝落叶、枯残根系,为土壤提供有机质来源,提高土壤肥 力。 生物 ②动物:动物遗体可为土壤提供有机质来源,提高土壤肥力;动物运 动、搬运土壤等,可加速有机质分解,提高土壤透气性。 ③微生物:分解动植物有机残体,促进腐殖质形成,形成土壤肥力 直接影响土壤含水量、温度、微生物数量和种类。 ①湿热、通风良好的环境,微生物活跃,有机质分解速度快,积累少。 气候 ②寒冷、干旱、冷湿、冰冻环境,有机质分解速度慢,利于积累。 ③温度升高、降水增多,岩石风化作用增强,矿物养分增多,改变土壤 质地,提高土壤肥力 ①海拔:随海拔升高,气温降低、风力增大,影响土壤含水量和温度。 ②坡向:阴/阳坡或迎风/背风坡,影响土壤温度、含水量,产生植被差 地貌 异,进而影响土壤肥力。 ③坡度:通过水流速度,影响物质迁移速度,进而影响土壤厚度和肥 力。陡坡土层较薄,土壤较贫瘠;平地土壤较为深厚肥沃 时间 土壤发育的时间越长,土壤层越厚,土层分化越明显 ①合理的耕作经营,可形成耕作土壤。如“耕耘”可改变土壤的结构、 保水性、通气性;“灌溉”改变土壤的水分、温度状况;“收获”可改 人类活动 变土壤的养分循环状况;“施肥”可改变土壤的营养元素组成、数量和 微生物活动。 ②不合理利用,可使土壤退化(沙化、盐碱化、水土流失等) 5.土壤形成过程 2021年3月,正值东北春耕时节,黑龙江五常发生盗采黑土、破坏耕地事件。盗挖后的黑土,经晾干处理、网络销售后,多被用于育秧苗、花草种植、城市绿化。黑土是指拥有 黑色或暗黑色腐殖质表土层的土地,要形成1厘米厚的黑土层需要数百年时间。烟台的王先 生热爱阳台种植花草,看到盗采黑土新闻后,不再网购黑土。他根据网上的配方(鸡粪∶牛 粪∶草炭∶蛭石∶河沙=3∶3∶1∶1∶2)自行配置营养土。下图为黑土盗挖现场照片。据此 完成1~3题。 1.黑土多被用于育秧苗、花草种植、城市绿化等,主要是因为( ) ①土质疏松 ②管理成本低 ③富含有机质 ④获取容易 ⑤来自寒地生虫少 A.①②③ B.①③④ C.①③⑤ D.②③⑤ 2.配置营养土配方中有蛭石和河沙,其主要作用是( ) A.固定并通气 B.提供无机盐 C.提供矿物质 D.增大温差 3.北美五大湖地区与我国东北地区基本处于同一纬度,但并未形成黑土的主要因素是( ) A.地质作用 B.人类活动 C.大气环流 D.植被类型 答案 1.C 2.A 3.A 解析 第1题,黑土富含有机质,土质疏松、透气,①③正确;东北地区纬度较高,冬季寒 冷,害虫无法越冬,土壤中害虫少,⑤正确;黑土主要分布在东北地区,其他地区需要时还 需要网购,且东北地区禁止盗采黑土,获取不容易,④错误;管理成本主要与种植对象有关, ②错误。故选C。第2题,蛭石和河沙较鸡粪、牛粪、草炭密度大,重量大,在土壤中起固 定作用,同时也起通气和透水的作用,A正确;蛭石和河沙在营养土中短时间内不会风化, 不能提供无机盐和矿物质,B、C错误;阳台种植花草,因室内温差较小,蛭石和河沙与鸡 粪、牛粪、草炭混合后,对土壤温差的改变较小,D错误。第3题,北美五大湖地区,多冰 川活动,冰川侵蚀形成洼地,洼地积水形成了五大湖,没有黑土的成土条件;而我国东北平 原为河流冲积平原,流水堆积作用强,土层深厚,土壤肥沃,A正确。黑土的形成需要经历 漫长的地质时期,与人类活动关系不大,B错误;大气环流和植被类型两地相差不大,C、 D错误。 土壤有机碳是衡量土壤肥力的重要指标之一。不同的气候条件、人类干扰强度等因素, 影响了土壤有机碳的输入量以及微生物对土壤有机碳的分解转化,从而影响了土壤有机碳的含量。读“我国伊犁河谷北部山地不同植被带土壤有机碳含量变化图”,回答4~6题。 4.图中土壤有机碳含量的总体变化趋势是( ) A.随山地海拔升高而波动增加 B.随植被覆盖度升高而升高 C.随降水量减少而减少 D.随土层深度增加而减少 5.与荒漠草原区相比,该山地落叶阔叶林区( ) A.土壤肥力较低 B.受人类活动干扰小 C.大气温度较低 D.地表风化作用强烈 6.调查发现,近年来高山草甸区的土壤有机碳含量减少趋势明显,其主要原因是( ) A.光照减弱,生物生产量减少,腐殖质减少 B.降水增多,土壤有机碳被雨水冲刷流失 C.气候变暖,植物生长快,消耗有机碳多 D.冬季放牧,草场畜牧超载导致植被破坏 答案 4.A 5.D 6.C 解析 第4题,根据横轴的植被类型判断海拔高度,纵轴表示有机碳含量,图中土壤有机碳 含量的总体变化趋势是随山地海拔升高而波动增加,A对。不能体现土壤有机碳含量随植被 覆盖度、降水量、土层深度的变化特点,B、C、D错。第5题,与荒漠草原区相比,该山 地落叶阔叶林区土壤有机碳含量高,土壤肥力较高,A错。海拔较低,受人类活动干扰大, B错。海拔较低,大气温度较高,C错。风化壳的发育程度与温度、降水、植物生长量呈正 相关,该山地落叶阔叶林区的土壤有机碳含量较高,说明风化壳发育较显著,即说明落叶阔 叶林区的地表风化作用强烈,D对。第6题,调查发现,近年来高山草甸区的土壤有机碳含 量减少趋势明显,其主要原因是气候变暖,植物生长快,消耗有机碳多,C对。光照、降水没有明显变化,A、B错。高山草甸区作为夏季放牧的牧场,D错。 7.(2022·安徽合肥期末)阅读图文材料,完成下列要求。(12分) 中科院海北高寒草甸生态研究站(37°37′N,101°19′E,海拔3 200 m,下称海北站)地 处祁连山东段南麓。一年仅有冷暖两季,冷季漫长寒冷,暖季草类植被茂盛,年平均气温 -1.7 ℃,年降水量小于600 mm。土壤CO 的释放是大气温室气体的重要地表生态源之一, 2 是土壤微生物对土壤有机物质分解作用的结果。某研学小组在专家的指导下,观测了海北站 高山灌丛草甸土CO 释放速率的日变化(下图)。 2 (1)研学小组采集土壤标本运用相关器材分析土壤成分,发现海北站土壤有机质含量特别丰 富。联系该地气候条件,分析成因。(6分) (2)研学小组观测了海北站高山灌丛草甸土CO 释放速率、气温及地温,发现其日变化明显。 2 分析该现象的成因。(6分) 答案 (1)暖季气温较高,光照充足,草类茂盛,为土壤提供有机质多;冷季漫长,气温低, 土壤微生物活动较弱,有机质分解缓慢;降水较少,淋溶作用弱,利于有机质的积累。 (2)日出后随着太阳辐射增强,表层地温升高,地面辐射增强,气温逐渐升高,土壤微生物 分解作用增强,CO 释放速率增大;太阳辐射减弱后,地温、气温均降低,土壤微生物分解 2 作用减弱,CO 释放速率逐渐降低。 2 课时精练 黑碳是农作物秸秆燃烧产生的灰雾、家用煤炉的烟和机动车尾气中的一种活性成分,是 仅次于二氧化碳的第二大潜在温室气体。一旦黑碳降落在喜马拉雅冰川,它们就会使冰雪的 颜色变暗,从而增强其吸收热量的能力,使其温度升高。据此完成1~3题。 1.与黑碳在喜马拉雅地区沉降关系最大的是( ) A.季风 B.信风 C.河流 D.洋流 2.冰川融化加剧,主要是因为黑碳增强了( ) A.太阳辐射 B.地面辐射 C.大气辐射 D.地面吸收 3.黑碳加剧喜马拉雅山冰川融化,进而威胁亚洲地区的水源和粮食生产,这体现了自然地理环境的( ) A.整体性 B.差异性 C.开放性 D.相似性 答案 1.A 2.D 3.A 解析 第1题,依据材料,黑碳主要来源于秸秆燃烧、家用煤炉和机动车尾气,通过大气环 流降落到喜马拉雅冰川,喜马拉雅地区靠近南亚黑碳排放源地,最有可能是由南亚季风带来 的,A项正确,C、D项错误;喜马拉雅地区不位于信风带内,B项错误。第2题,依据材 料,黑碳会使冰雪的颜色变暗,吸热能力增强,可知黑碳增强了地面吸收热量的能力,D项 正确。第3题,人类活动产生的黑碳,加剧了喜马拉雅冰川融化,威胁亚洲的水源及粮食生 产,体现了自然地理环境各组成要素之间是相互作用,相互影响的,牵一发而动全身,体现 了自然地理环境的整体性,A项正确。 高山冻原是指在温带和寒温带的高山树木线以上,以苔藓、地衣、多年生草类和耐寒小 灌木构成的低矮植被。下图为我国某高山冻原带的一种植物类型。据此完成4~6题。 4.该山地可能是( ) A.雪峰山 B.太行山 C.武夷山 D.长白山 5.图示植物叶子四季常青的最大益处是( ) A.利于春季光合作用 B.增强夏季植物蒸腾 C.适应秋季土壤冷湿 D.抵御冬季风沙危害 6.图示植物多生长在石质山坡上,其生态习性表现为( ) A.株形高大 B.根系发达 C.生长期长 D.花朵硕大 答案 4.D 5.A 6.B 解析 第4题,据题干材料可知,高山冻原分布在温带和寒温带的高山树木线以上,而雪峰 山、武夷山位于亚热带地区,不符合形成条件,A、C错误;长白山与太行山相比,主峰海 拔均超过2 000米,但长白山所处纬度更高,最有可能形成高山冻原。故选 D。第5题,高 山冻原带因海拔高、气温低,植物生长期短,常绿植物(该植物叶片四季常青)在春季可以很 快地进行光合作用,不必耗时长出新叶,A项正确。第6题,石质山坡上,土层薄、肥力低, 导致该地区植物生长低矮、根系发达,发达的根系有利于吸收水肥和稳定植株。高山冻原常年气温较低,生长期短。由于水肥缺乏,气候寒冷,生存环境较为恶劣,导致图示植物株形 矮小,枝叶密集,花色粉红,色泽鲜丽,但花朵小。故选B。 下图所示地区有地域特色鲜明的传统民居“蜂巢屋”,一般由3至4个相连的土塔状建 筑构成,是当地人利用茅草和泥土筑造而成。这样的民居,既克服了当地物资缺乏,又适应 了当地气候特点,是一种古老而优越的生态民居。据此完成7~9题。 7.“蜂巢屋”是一种古老而优越的生态民居,反映当地的自然环境为( ) A.沙漠广布 B.森林覆盖率低 C.全年气候干旱 D.河、湖众多 8.“蜂巢屋”的墙体厚达80 cm,推测其主要原因是( ) A.夏季隔热,冬季保温 B.墙体坚固,稳定性好 C.抵御夏季的雨水 D.防御冬季的风沙 9.“蜂巢屋”作为一道独特的风景线,吸引了很多游客,从气候角度分析,最适宜的游览 时间为( ) A.12月~次年1月 B.7~8月 C.4~5月 D.1~2月 答案 7.B 8.A 9.C 解析 第7题,由图可知,该地位于地中海东部,属于地中海气候,不可能全年气候干旱、 沙漠广布,也不可能河湖众多;该民居是当地人利用茅草和泥土筑造而成,应与该地森林覆 盖率较低、物资缺乏有关。选B。第8题,由上题分析可知,该地具有夏季炎热,冬季多雨 的气候特点,“蜂巢屋”的墙体厚达80 cm,可以阻隔夏季阳光,使室内较为凉爽,还能阻 挡冬季冷空气,使室内降温慢。选A。第9题,“蜂巢屋”分布地区位于地中海气候区,夏 季炎热干燥、冬季温和多雨;游客要去此地旅游应选择在春秋季节前去,此时气候较为适宜, 因此选项中4~5月为最适宜的游览时间。选C。 (2022·贵州黔西南州期末)在南非北部广袤的荒原上,经常会看到大型鸟巢附在树上(下 图),鸟巢甚至盖过了树的本身。有些鸟巢的内部有多达上百个“房间”,堪称“巢穴公 寓”,里面群居着数百只鸟,这种鸟叫作“群居织巢鸟”。巢穴向下开口,利于雨季排水。 “巢穴公寓”有的重达1吨,干草厚度较厚,为鸟类提供了舒适的家园。据此完成10~12题。 10.该地区( ) A.沙漠广布,多雅丹地貌 B.稀树草原面积大 C.河网密布,水系发达 D.雨林景观随处可见 11.结合当地的自然地理环境特征,下列属于“百鸟群居”原因的是( ) ①大树的数量少 ②食物比较缺乏 ③全年温差大 ④自然天敌数量多 A.①③ B.②③ C.②④ D.①④ 12.图示该区域雨季形成的主要原因是( ) A.受赤道低气压带和洋流影响 B.受海陆热力性质差异影响 C.受来自印度洋的东南信风影响 D.受来自大西洋的西风影响 答案 10.B 11.D 12.C 解析 第10题,由材料“在南非北部广袤的荒原上”和“巢穴向下开口,利于雨季排水” 可推测出,该地是热带草原气候,全年高温,分干湿两季,稀树草原面积大,B正确。 第 11题,食物缺乏,鸟的数量不会多,不可能出现“百鸟群居”现象,②错。热带草原气候 全年高温,全年温差小,③错。由上题分析可知,该地是热带草原气候,植被类型为稀树草 原,大树的数量少,自然天敌数量多,属于“百鸟群居”的原因,①④正确。故选D。第 12题,南非北部不受赤道低气压带和西风带影响,A、D错。赤道以南非洲陆地面积较小, 海陆热力性质差异不明显,B错;雨季可能受来自印度洋的东南信风影响,C正确。 沙漠蝗是一种植食性昆虫,主要分布在非洲及西亚、南亚热带荒漠地区的河谷和绿洲。 它们喜高温、耐干旱、常群居,迁飞时每天可以随风飞行150千米。2018 年6月起沙漠蝗 在图示区域相继爆发,给所到之处的国家造成重大影响。下图示意 2018~2020年沙漠蝗主 要迁飞路径。据此完成13~15题。13.据科学家观测,2018~2020年沙漠蝗灾最早爆发于阿拉伯半岛,导致此次爆发的主要 气候因素是( ) A.气温 B.降水 C.光照 D.风力 14.导致沙漠蝗从阿拉伯半岛迁飞到东非地区的主要原因是( ) A.人为驱赶 B.气候突变 C.天敌猎食 D.盛行风 15.沙漠蝗大量集中于东非地区给当地带来的影响主要是( ) A.缓解食物短缺 B.有效清除农田杂草 C.农产品价格上涨 D.引发全球性粮食危机 答案 13.B 14.D 15.C 解析 第13题,结合沙漠蝗的生长习性及致灾条件进行分析。沙漠蝗虽然喜欢高温,但当 地的高温是其常态化的气候特征,此次沙漠蝗爆发在于气旋活动带来大量降水。降水异常增 多不仅促进了虫卵孵化,更为当地植被提供了水分,植物繁茂又为蝗虫提供了大量食物。选 B。第14题,从图中沙漠蝗源地和主要迁飞路径可知,沙漠蝗源地面积广,迁飞路径之长, 人为难以干预;气候突变这一说法在材料中未体现;由所学知识可知,阿拉伯半岛属热带沙 漠气候,动植物稀少,正因为天敌少,才使得沙漠蝗得以泛滥成灾;由图示信息可知,该地 受东北信风影响,在东北信风的吹送下,阿拉伯半岛沙漠蝗随风迁飞到东非地区。故选D。 第15题,成灾的蝗虫体内有一定的毒素,不能作为食物来缓解食物短缺;蝗虫所到之处吃 掉的不仅是田间杂草,还有农作物,会导致当地粮食减产,农产品因此出现供应不足的现象, 进而导致农产品价格上涨;引发全球性粮食危机不是题干中所述“给当地带来的影响”。故 选C。 16.阅读图文材料,回答下列问题。(11分) 材料一 青海湖地处我国西北地区,是我国最大的内陆咸水湖,湖区面积不断发生变化,下 图示意1974~2010年青海湖平均水位的变化。材料二 青海湖区大型鱼类很少,广泛为当地利用的经济鱼类是青海湖裸鲤。青海湖裸鲤被 称为高原生灵,以藻类和浮游动物为食,又是很多候鸟的食物,对当地生态环境起到非常重 要的作用。 (1)描述1974~2010年青海湖面积变化的特征并分析可能的原因。(7分) (2)运用自然地理环境整体性原理分析青海湖裸鲤数量减少对青海湖生态环境的影响。(4分) 答案 (1)2004年以前面积波动减小,2004年后面积波动增大。 波动减小的可能原因:人口增加,沿湖地区截留入湖径流;交通线路建设、不合理的农事活 动等使植被遭到破坏;全球变暖,气候变干,蒸发量增大。 波动增大的可能原因:全球气候变暖,冰川加速融化,入湖水量增加;当地采取生态保护措 施,对湖区水位上升起到了积极作用。 (2)青海湖裸鲤减少会导致藻类大量繁殖,水中含氧量减少,湖泊水质变坏;食物减少会导 致鸟类数量减少,生物多样性减少。 解析 (1)从青海湖平均水位的变化图中可看出,青海湖面积2004年前波动减小,2004年后 波动增大;湖泊面积变化既有自然原因,也有人为原因,分析合理即可。(2)地理环境的整 体性指的是组成地理环境的各要素相互渗透、相互制约、相互联系,形成一个有机整体,因 此一个要素的改变会导致其他要素甚至整个地理环境状态的改变。由材料“青海湖裸鲤被称 为高原生灵,以藻类和浮游动物为食,又是很多候鸟的食物”可知,青海湖裸鲤减少会导致 藻类大量繁殖,水中含氧量减少,湖泊水质变坏;青海湖裸鲤减少,鸟类食物减少,从而导 致其数量减少,生物多样性减少。