当前位置:首页>文档>2025届高中地理一轮复习讲义:第一部分自然地理第八单元自然环境的整体性与差异性第42课时 垂直地域分异规律(教师版)_9.2025地理总复习_2025年新高考资料_一轮复习

2025届高中地理一轮复习讲义:第一部分自然地理第八单元自然环境的整体性与差异性第42课时 垂直地域分异规律(教师版)_9.2025地理总复习_2025年新高考资料_一轮复习

  • 2026-03-22 11:33:25 2026-03-12 01:25:52

文档预览

2025届高中地理一轮复习讲义:第一部分自然地理第八单元自然环境的整体性与差异性第42课时 垂直地域分异规律(教师版)_9.2025地理总复习_2025年新高考资料_一轮复习
2025届高中地理一轮复习讲义:第一部分自然地理第八单元自然环境的整体性与差异性第42课时 垂直地域分异规律(教师版)_9.2025地理总复习_2025年新高考资料_一轮复习
2025届高中地理一轮复习讲义:第一部分自然地理第八单元自然环境的整体性与差异性第42课时 垂直地域分异规律(教师版)_9.2025地理总复习_2025年新高考资料_一轮复习
2025届高中地理一轮复习讲义:第一部分自然地理第八单元自然环境的整体性与差异性第42课时 垂直地域分异规律(教师版)_9.2025地理总复习_2025年新高考资料_一轮复习
2025届高中地理一轮复习讲义:第一部分自然地理第八单元自然环境的整体性与差异性第42课时 垂直地域分异规律(教师版)_9.2025地理总复习_2025年新高考资料_一轮复习
2025届高中地理一轮复习讲义:第一部分自然地理第八单元自然环境的整体性与差异性第42课时 垂直地域分异规律(教师版)_9.2025地理总复习_2025年新高考资料_一轮复习
2025届高中地理一轮复习讲义:第一部分自然地理第八单元自然环境的整体性与差异性第42课时 垂直地域分异规律(教师版)_9.2025地理总复习_2025年新高考资料_一轮复习
2025届高中地理一轮复习讲义:第一部分自然地理第八单元自然环境的整体性与差异性第42课时 垂直地域分异规律(教师版)_9.2025地理总复习_2025年新高考资料_一轮复习
2025届高中地理一轮复习讲义:第一部分自然地理第八单元自然环境的整体性与差异性第42课时 垂直地域分异规律(教师版)_9.2025地理总复习_2025年新高考资料_一轮复习
2025届高中地理一轮复习讲义:第一部分自然地理第八单元自然环境的整体性与差异性第42课时 垂直地域分异规律(教师版)_9.2025地理总复习_2025年新高考资料_一轮复习
2025届高中地理一轮复习讲义:第一部分自然地理第八单元自然环境的整体性与差异性第42课时 垂直地域分异规律(教师版)_9.2025地理总复习_2025年新高考资料_一轮复习
2025届高中地理一轮复习讲义:第一部分自然地理第八单元自然环境的整体性与差异性第42课时 垂直地域分异规律(教师版)_9.2025地理总复习_2025年新高考资料_一轮复习
2025届高中地理一轮复习讲义:第一部分自然地理第八单元自然环境的整体性与差异性第42课时 垂直地域分异规律(教师版)_9.2025地理总复习_2025年新高考资料_一轮复习
2025届高中地理一轮复习讲义:第一部分自然地理第八单元自然环境的整体性与差异性第42课时 垂直地域分异规律(教师版)_9.2025地理总复习_2025年新高考资料_一轮复习
2025届高中地理一轮复习讲义:第一部分自然地理第八单元自然环境的整体性与差异性第42课时 垂直地域分异规律(教师版)_9.2025地理总复习_2025年新高考资料_一轮复习
2025届高中地理一轮复习讲义:第一部分自然地理第八单元自然环境的整体性与差异性第42课时 垂直地域分异规律(教师版)_9.2025地理总复习_2025年新高考资料_一轮复习
2025届高中地理一轮复习讲义:第一部分自然地理第八单元自然环境的整体性与差异性第42课时 垂直地域分异规律(教师版)_9.2025地理总复习_2025年新高考资料_一轮复习

文档信息

文档格式
doc
文档大小
1.810 MB
文档页数
17 页
上传时间
2026-03-12 01:25:52

文档内容

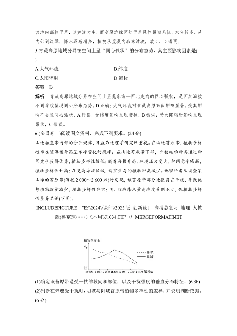
第 42 课时 垂直地域分异规律 课程标准:运用图表并结合实例,分析自然环境的地域分异规律。 目标导航 知识导图 INCLUDEPICTURE "E:\\2024\\课件\ \2025版 创新设计 高考总复习 地理 1.结合图表,说明垂直分异的含义和基 人教版(鲁京琼……)\\不用\ 本规律。 \J1017A.TIF" \* MERGEFORMATINET 2.结合图表资料,分析影响自然带垂直 分异的因素。 INCLUDEPICTURE "E:\\2024\\课件\\2025版 创新设计 高考总复习 地理 人教 版(鲁京琼……)\\不用\\图表自主填绘.TIF" \* MERGEFORMATINET 1.影响因素:海拔的变化。 2.分异基础:水热状况不同。 3.分布特点:从山麓到山顶出现由下而上随等高线延伸逐渐变化更迭。 4.垂直自然带的划分:通常以植被或土壤为主导标志。 5.山地垂直分异规律 项目 内容要点 显著表现地区 高山地区,尤其是低纬度的高山地区 形成原因 从山麓到山顶的水热状况随着高度增加而变化 垂直带谱 最下面为基带,所有的垂直带有规律地排列 某山地垂直自然带的变化,具有从该地向高纬度地区的纬度 共同性 地带性变化的类似规律 分布 规律 干旱地区,由于迎风坡和背风坡的水分和热量条件不同,同一 差异性 山地不同坡向的垂直带谱不同 方法技巧 图示法理解自然地带的垂直地域分异规律——从山麓到山顶自然地带 发生更迭 INCLUDEPICTURE "E:\\2024\\课件\\2025版 创新设计 高考总复习 地理 人教版(鲁京琼……)\\不用\\J1017.TIF" \* MERGEFORMATINET 思维拓展 草甸和草原的区别 (1)草甸一般属于地方性植被,可出现在不同植被带内,草层高而茂密,种类繁多, 植物在不同季节开花,典型的有高山草甸。 (2)草原属于半湿润和半干旱条件下的地带性植被,以旱生草本植物占优势,主要 有典型草原、草甸草原和荒漠草原等类型。 INCLUDEPICTURE "E:\\2024\\课件\\2025版 创新设计 高考总复习 地理 人教 版(鲁京琼……)\\不用\\重点互动突破.TIF" \* MERGEFORMATINET 重点 山地垂直分异规律的判读 INCLUDEPICTURE "E:\\2024\\课件\\2025版 创新设计 高考总复习 地理 人教 版(鲁京琼……)\\不用\\精讲点拨.TIF" \* MERGEFORMATINET 1.山地垂直自然带基本判读 INCLUDEPICTURE "E:\\2024\\课件\\2025版 创新设计 高考总复习 地理 人教 版(鲁京琼……)\\不用\\J1018.TIF" \* MERGEFORMATINET2.自然带分布差异的比较 (1)同一自然带,纬度越高的山地,分布海拔越低。如下图所示: INCLUDEPICTURE "E:\\2024\\课件\\2025版 创新设计 高考总复习 地理 人教 版(鲁京琼……)\\不用\\J1019.TIF" \* MERGEFORMATINET (2)山地垂直自然带谱复杂程度 垂直带谱的复杂程度与山体所在纬度、山体的相对高度、山体海拔相关,具体如下 图所示: INCLUDEPICTURE "E:\\2024\\课件\\2025版 创新设计 高考总复习 地理 人教 版(鲁京琼……)\\不用\\J1020.TIF" \* MERGEFORMATINET ①山体所在纬度——纬度越低越复杂,纬度越高越简单。 ②山体海拔——海拔越高越复杂(有极限),海拔越低越简单,甚至无。 ③山顶与山麓之间相对高度——相对高度大则复杂,相对高度小则简单。3.分析同一自然带分布海拔的差异 影响因素:(1)山体所在纬度:纬度低,分布海拔高,纬度高,分布海拔低;(2)坡向: 同一山体,阳坡高,阴坡低;(3)降水:温带地区南北走向的山,背风坡自然带分布 海拔高,迎风坡自然带分布海拔低(如太行山迎风坡降水多,但气温稍低,在背风 坡相同的海拔处,其降水量比迎风坡少,但气温偏高,如下图)。 INCLUDEPICTURE "E:\\2024\\课件\\2025版 创新设计 高考总复习 地理 人教 版(鲁京琼……)\\不用\\J1021.TIF" \* MERGEFORMATINET INCLUDEPICTURE "E:\\2024\\课件\\2025版 创新设计 高考总复习 地理 人教 版(鲁京琼……)\\不用\\真题感悟.TIF" \* MERGEFORMATINET [典例] (全国Ⅲ卷)青藏高原东部及其周边山峰分别经历了1次冰期(末次冰期)、2 次冰期和3次冰期,如图所示。据此完成(1)~(2)题。 INCLUDEPICTURE "E:\\2024\\课件\\2025版 创新设计 高考总复习 地理 人教 版(鲁京琼……)\\不用\\J1022.TIF" \* MERGEFORMATINET (1)按山峰抬升至冰期时终年积雪高度的先后顺序排列,依次是( ) A.雪宝顶、太白山、果洛山 B.果洛山、雪宝顶、太白山 C.太白山、果洛山、雪宝顶 D.雪宝顶、果洛山、太白山 (2)点苍山无现代冰川发育,是因为与末次冰期时相比,点苍山现在( )A.日照更长 B.气温更高 C.植被更密 D.海拔更低 INCLUDEPICTURE "E:\\2024\\课件\\2025版 创新设计 高考总复习 地理 人教 版(鲁京琼……) \\不用\\关键能力提升 .TIF" \* MERGEFORMATINET 第(1)题: INCLUDEPICTURE "E:\\2024\\课件\\2025版 创新设计 高考总复习 地理 人教 版(鲁京琼……)\\不用\\J1023.TIF" \* MERGEFORMATINET 第(2)题: INCLUDEPICTURE "E:\\2024\\课件\\2025版 创新设计 高考总复习 地理 人教 版(鲁京琼……)\\不用\\J1023A.TIF" \* MERGEFORMATINET 答案 (1)B (2)B INCLUDEPICTURE "E:\\2024\\课件\\2025版 创新设计 高考总复习 地理 人教 版(鲁京琼……)\\不用\\变式训练.TIF" \* MERGEFORMATINET (2024·大连二模)贺兰山脉(下图)海拔1 300~3 556米,东坡海拔1 700~2 200米的植物物种丰富度最高。据此完成1~2题。 INCLUDEPICTURE "E:\\2024\\课件\\2025版 创新设计 高考总复习 地理 人教 版(鲁京琼……)\\不用\\J1024.TIF" \* MERGEFORMATINET 1.贺兰山东坡基带的植被是( ) A.针叶林 B.落叶阔叶林 C.山地草原 D.荒漠草原 答案 D 解析 据图可知,东坡基带降水在200~400 mm,属于半干旱区,自然带是荒漠草 原带,D正确;贺兰山东坡基带降水较少,不满足针叶林、落叶阔叶林生长所需水 分,A、B错误;贺兰山东坡山麓海拔较低,不属于山地草原,C错误。 2.贺兰山东坡海拔1 700~2 200米的植物物种丰富度最高的原因( ) A.降水量多 B.蒸发量少 C.气温较高 D.光照充足 答案 A 解析 贺兰山东坡是夏季风的迎风坡,降水自山麓至山体中部逐渐增多,自山体 中部向山顶逐渐减少,东坡海拔1 700~2 200米处,降水最多,热量适宜,植物物 种丰富度最高,A正确;山体中部蒸发量大于高海拔处,使其土壤中水分条件差, 光照条件比高海拔差,都可能使其物种丰富度差,与题意不符,B、D错误;随着海 拔高度的上升,气温逐渐降低,C错误。图形专项突破 11 山地垂直带谱图的判读 INCLUDEPICTURE "E:\\2024\\课件\\2025版 创新设计 高考总复习 地理 人教 版(鲁京琼……)\\不用\\典型图示.TIF" \* MERGEFORMATINET INCLUDEPICTURE "E:\\2024\\课件\\2025版 创新设计 高考总复习 地理 人教 版(鲁京琼……)\\不用\\J1025.TIF" \* MERGEFORMATINET [读图流程] “看两头,比中间,数带数”(以北半球为例) (1)看基带:从基带中解读气候和纬度信息。 (2)看山顶:从最高自然带中解读海拔和相对高度信息,大致判断山体纬度范围。例 如,若顶部自然带与基带接近,说明该山地位于高纬,或属于中低纬度的低山,相 对高度不大。 (3)看中间:同一自然带在南北坡分布高度的差异体现了热量和水分条件的差异, 东西坡的差异体现了降水的差异。若同一自然带在南坡分布比北坡高,说明热量是主导因素。若同一自然带在北坡分布比南坡高,第一种解读是北坡水分条件好, 原因是北坡气温低,蒸发弱;第二种解读是北坡受到了高于南坡的高原地形(热岛 效应)的影响,例如喜马拉雅山。 (4)数带数:若南北坡自然带数量差别较大,则自然带少的北坡山麓地势较高,可能 为高原,例如喜马拉雅山。若山腰处北坡比南坡多一森林带,则反映了北坡降水多, 例如天山。 INCLUDEPICTURE "E:\\2024\\课件\\2025版 创新设计 高考总复习 地理 人教 版(鲁京琼……)\\不用\\真题感悟.TIF" \* MERGEFORMATINET [典例] (江苏卷)下图为“我国西部某山地北坡垂直带谱示意图”。据该山地海拔2 500~3 400 m间的一小流域水量平衡实验资料,流域多年平均降水量为460 mm, 水量支出中蒸发占28%,下渗占2%,不产生地表径流。据此回答(1)~(2)题。 INCLUDEPICTURE "E:\\2024\\课件\\2025版 创新设计 高考总复习 地理 人教 版(鲁京琼……)\\不用\\J1026.TIF" \* MERGEFORMATINET (1)该小流域内水量支出占比最大的是( ) A.地表蒸发 B.植物截留和蒸腾 C.地下径流 D.转化为固态水 (2)甲表示的自然带是( ) A.山地落叶阔叶林带 B.山地草原带 C.山地常绿阔叶林带 D.荒漠带 INCLUDEPICTURE "E:\\2024\\课件\\2025版 创新设计 高考总复习 地理 人教版(鲁京琼……) \\不用\\析图能力培养 .TIF" \* MERGEFORMATINET INCLUDEPICTURE "E:\\2024\\课件\\2025版 创新设计 高考总复习 地理 人教 版(鲁京琼……)\\不用\\J1027.TIF" \* MERGEFORMATINET 答案 (1)B (2)B INCLUDEPICTURE "E:\\2024\\课件\\2025版 创新设计 高考总复习 地理 人教 版(鲁京琼……)\\不用\\读图应用.TIF" \* MERGEFORMATINET (2023·江苏卷)下图为“我国某山地垂直带谱及云杉林亚带的植被垂直分层示意 图”。据此完成1~3题。 INCLUDEPICTURE "E:\\2024\\课件\\2025版 创新设计 高考总复习 地理 人教 版(鲁京琼……)\\不用\\J1028.TIF" \* MERGEFORMATINET1.图中不同坡向山地草原带分布高度存在差异,主要是由水分决定的,其推断依据 是( ) A.山地坡度 B.上部林带 C.山体海拔 D.基带类型 答案 B 解析 根据图示信息可知,山地草原带上方出现了山地疏林草原带,说明在山地 下部随着海拔高度的上升,水分条件改善,影响山地草原带分布上限的主要因素 是水分条件,山地草原带分布上限为其上部林带的分布下限,推断水分是影响不 同坡向山地草原带分布高度差异的依据是上部林带分布下限,B正确;山地坡度、 山体海拔不是影响不同坡向山地草原带分布高度差异的主要因素,A、C错误;基 带类型没有差异,D错误。 2.该山地高山灌丛草甸带坡向差异不明显,原因是山体顶部( ) A.面积小 B.降水多 C.风力大 D.气温低 答案 A 解析 山体顶部面积较小,导致不同坡向之间相互干扰,导致高山灌丛草甸带坡 向差异不明显,A正确;山顶海拔较高,降水较少,B错误;风力和气温不是影响不 同坡向高山灌丛草甸带差异不明显的主要因素,C、D错误。 3.该山地Ⅲ2、Ⅲ3、Ⅲ4中的植被垂直分层结构不同,其主要影响因素是( ) A.水分 B.土壤 C.温度 D.光照答案 D 解析 根据图示信息可知,Ⅲ2、Ⅲ3、Ⅲ4均为云杉林亚带,植被垂直分层结构不 同,主要原因是乔木层密度不同导致的林下光照条件不同,光照条件越好的Ⅲ4 垂直分层结构越明显,光照条件最差的Ⅲ3垂直分层结构最差,影响其垂直结构 不同的主要因素是光照,D正确;水分不是影响植被垂直分层结构的主要因素,A 错误;Ⅲ2、Ⅲ3、Ⅲ4土壤差异较小,B错误;温度条件是影响林线的主要因素,但 不是影响植被垂直分层结构的主要因素,C错误。 INCLUDEPICTURE "E:\\2024\\课件\\2025版 创新设计 高考总复习 地理 人教 版(鲁京琼……)\\不用\\课堂巩固精练.TIF" \* MERGEFORMATINET (2024·青岛市重点中学高三联考)下图为“阴山山脉不同地段垂直带分布示意图”。 读图,完成1~2题。 INCLUDEPICTURE "E:\\2024\\课件\\2025版 创新设计 高考总复习 地理 人教 版(鲁京琼……)\\不用\\J1029.TIF" \* MERGEFORMATINET 1.甲、乙、丙、丁对应的自然带,正确的是( ) A.甲—草原荒漠带 B.乙—山地荒漠草原带 C.丙—典型草原带 D.丁—落叶阔叶林带 答案 A解析 阴山山脉东段受夏季风影响比西段大,降水较西段多,水分差异较大,中段 基带为荒漠草原带,则西段基带应为较干旱的草原化荒漠带,东段基带为典型草 原带,A正确,D错误;乙位于阴山东段和中段阴坡温性针叶林带以上,由于处于 阴坡,热量条件较差,蒸发较少,土壤水分含量较多,可以满足森林植被的生长,出 现了温带落叶阔叶林带,B错误;甲为草原化荒漠带,丙地水分条件比甲好,应为 山地荒漠草原带,C错误。 2.导致阴山东段阴坡、阳坡自然带差异,最可能的原因是( ) A.阳坡土层厚 B.阴坡湿度大 C.阳坡降水多 D.阴坡坡度小 答案 B 解析 阅读图文材料可知,阴山东段阳坡自然带类型少,阴坡自然带类型多样,原 因是阴山深居内陆,距离海洋较远,降水量较少,阳坡蒸发量大于阴坡,因此阴坡 土壤湿度大,B正确。 3.(2024·豫南名校质量检测)阅读图文材料,完成下列要求。(14分) 天山中山带海拔1 600~2 800 m之间分布有带状的雪岭云杉林,研究人员通过考 察云杉林带生物量积累的具体过程和影响因素,获得天山雪岭云杉林带生物量随 海拔的变化(如图2),并发现自西南向东北天山雪岭云杉林带生物量呈降低趋势。 INCLUDEPICTURE "E:\\2024\\课件\\2025版 创新设计 高考总复习 地理 人教 版(鲁京琼……)\\不用\\J1030.TIF" \* MERGEFORMATINET INCLUDEPICTURE "E:\\2024\\课件\\2025版 创新设计 高考总复习 地理 人教 版(鲁京琼……)\\不用\\J1031.TIF" \* MERGEFORMATINET(1)描述天山云杉林带生物量的垂直变化特征。(4分) (2)说明南支天山南坡缺失云杉林的原因。(4分) (3)分析自西南向东北天山云杉林带生物量呈降低趋势的原因。(6分) 答案 (1)随着海拔的升高,云杉林带生物量呈先增加后减少的“单峰”变化;最 大值出现在海拔2 100~2 400 m处,最小值出现在1 500~1 800 m处。 (2)南支天山南坡处于西风带背风坡,降水较少;南支天山南坡处于阳坡,太阳辐射 强,土壤水分蒸发量大,含水量少,不能满足云杉林生长的水分需求,故未出现云 杉林。 (3)自南向北,云杉林带所处的纬度逐渐升高,热量逐渐减少;自西向东,云杉林带 年降水量逐渐减少;受热量和降水的共同影响,自西南向东北,云杉林带生物量降 低。 解析 第(1)题,据图2可知,天山云杉林带生物量的垂直变化特征是:随着海拔的 升高,云杉林带生物量呈先增加后减少的“单峰”变化;最大值出现在海拔2 100 ~2 400 m处,最小值出现在1 500~1 800 m处。第(2)题,天山深居内陆,降水主要 受来自大西洋的西风影响,南支天山南坡处于西风带背风坡,降水较少;南支天山 南坡处于阳坡,日照时间长,太阳辐射强,加之气候干旱,蒸发旺盛,土壤含水量少 不能满足云杉林生长的水分需求,故未出现云杉林。第(3)题,据图1可知,从南到 北,云杉林带所处的纬度逐渐升高,获得的太阳辐射减少,热量逐渐减少;自西向 东,受西风影响逐渐减小,云杉林带年降水量逐渐减少;在热量和降水的共同作用 下,自西南向东北,云杉林的分布减少,云杉林带生物量呈降低趋势。 课时作业 (2024·河北石家庄检测)下图是我国某山东坡的垂直自然带谱。据此完成1~3题。1.有关该区域的叙述,正确的是( ) A.外力作用以风力作用为主 B.自然带体现由赤道到两极的地域分异规律 C.影响雪线分布的主要因素是坡度 D.甲处的自然带为温带落叶阔叶林带 INCLUDEPICTURE "E:\\2024\\课件\\2025版 创新设计 高考总复习 地理 人教 版(鲁京琼……)\\不用\\J1032.TIF" \* MERGEFORMATINET 答案 D 解析 图中甲处之上为温带针阔叶混交林带、之下为亚热带常绿阔叶林带,依据 自然带的分异规律可知,甲处为温带落叶阔叶林带,D正确;该山地的基带为亚热 带常绿阔叶林带,说明该地气候为亚热带季风气候,降水较多,外力作用以流水作 用为主,A错误;自然带体现的是山地的垂直分异规律,B错误。气温是影响雪线 分布的主要因素,C错误。 2.该山地可能位于( ) A.横断山 B.天山 C.武夷山 D.大兴安岭 答案 A 解析 依据山麓有亚热带常绿阔叶林带分布,可判断可能是横断山或武夷山;又 依据主峰海拔达7 556米,则可能是横断山;武夷山海拔较低,没有永久积雪带。故 选A。3.形成图中河谷半干旱景观的主要原因是( ) A.受东南信风影响 B.盛行下沉气流 C.盛行上升气流 D.受西北季风影响 答案 B 解析 据图可知,河谷为半干旱景观,只能说明河谷降水少,是盛行下沉气流所致。 故选B。 (2024·云南昆明模拟)青藏高原的强烈隆升对我国西部地区自然环境地域分异的影 响明显,高原山地垂直带谱类型(如图)的分布模式解释了其自然带景观的地带分 异,形成独特的自然带地域格局,呈现同心弧状(由东南暖湿向西北寒冷干旱的递 变趋势)。据此完成4~5题。 INCLUDEPICTURE "E:\\2024\\课件\\2025版 创新设计 高考总复习 地理 人教 版(鲁京琼……)\\不用\\J1033.TIF" \* MERGEFORMATINET 4.青藏高原从内部到边缘山地的地域分异规律的表现为( ) A.带谱由繁到简 B.带谱数目增多 C.植被种类减少 D.降水逐渐减少 答案 B 解析 根据题干可知,青藏高原山系垂直自然带受温度和水分等因素的影响,从 高原内部到边缘山地,带谱由简到繁,带谱数目逐渐增多,故A错误,B正确;由于该地内部较干旱,以荒漠为主,而高原边缘因处于季风性带谱系统,水分较多,从 内部到边缘,降水逐渐增多,植被从荒漠向森林过渡,故C、D错误。 5.青藏高原地域分异在空间上呈“同心弧状”的分布态势,其主要影响因素是( ) A.大气环流 B.纬度 C.太阳辐射 D.海拔 答案 D 解析 青藏高原地域分异在空间上呈现东南—西北走向的同心弧状,是因其海拔 不同导致呈现同心分布态势,D正确;大气环流对青藏高原东南影响显著,受其影 响不会呈同心弧状,A错误;受纬度影响呈现带状,B错误;受太阳辐射影响呈现 带状,C错误。 6.(全国卷Ⅰ)阅读图文资料,完成下列要求。(24分) 山地垂直带内部的分异规律,日益为地理学研究所重视。在山地苔原带,植物多样 性存在随海拔升高呈单峰变化的规律;在山地苔原带下部,少数植物种类通过种 间竞争获得优势,植物多样性较低;随着海拔升高,环境压力变大,种间竞争减弱, 植物多样性升高;在更高海拔区域,适宜生存的植物种类减少。地理科考队调查某 山峰的苔原带(海拔2 000~2 600米)时发现,该苔原带部分地区存在干扰,导致优 势植物数量减少,植物多样性异常;阴、阳坡降水量与坡度差别不大,但植物多样 性差异显著(下图)。 INCLUDEPICTURE "E:\\2024\\课件\\2025版 创新设计 高考总复习 地理 人教 版(鲁京琼……)\\不用\\J1034.TIF" \* MERGEFORMATINET (1)确定该苔原带遭受干扰的坡向和部位,以及干扰强度的垂直分布特征。(6分) (2)判断在未遭受干扰时,阴坡与阳坡苔原带植物多样性的差异,并说明判断依据。 (6分)(3)分析与阴坡相比,苔原带阳坡地表温度和湿度的特点及产生原因。(6分) (4)说明从2 300米至2 600米,阴、阳坡植物多样性差异逐渐缩小的原因。(6分) 答案 (1)遭受干扰的坡向和部位:阳坡,苔原带的下部(中下部,2 000~2 300米左 右)。 干扰强度分布特征:随海拔升高而降低(海拔越低,干扰越强烈)。 (2)(未遭受干扰时)阴坡较阳坡植物多样性高。 依据:(按单峰变化规律)阳坡苔原带的植物多样性最高值应在中部(2 300米左右), 低于阴坡最高值。 (3)特点:阳坡地表温度高,湿度低(水分条件差)。 原因:阳坡太阳辐射强,地表温度高,蒸发强度大;阳坡融雪早,蒸发历时长。 (4)随着海拔升高,阴、阳坡面积减小,坡面差异对植物多样性的影响减弱;阴、阳 坡相互影响(水分、热量交换作用)增强。 解析 第(1)题,按照材料中揭示的山地垂直带内部的分异规律,在山地苔原带,植 物多样性随海拔升高呈单峰变化规律。可发现阴坡符合这一规律,而阳坡在2 000 ~2 300米范围内,植物多样性出现异常,未按规律呈现多样性增加的特点。第(2) 题,材料揭示该苔原带仅部分地区存在干扰,导致优势植物数量减少。这“部分地 区”是指阳坡苔原带下部。而中部和上部并未受干扰的情况下,植物多样性明显 少于阴坡。第(3)题,阳坡太阳辐射强,热量足,气温高于阴坡,蒸发量大。材料中告 知阴、阳坡降水量差别不大,而湿度主要取决于蒸发量的多少,所以阳坡湿度小于 阴坡。第(4)题,阴、阳坡植物多样性差异随海拔升高缩小,说明自然条件的差别变 小。主要原因在于海拔越高,阴、阳坡面积减小,阴、阳坡水热差异变小,对植物多 样性的影响减弱。