当前位置:首页>文档>专题09植被与土壤-备战2023年高考地理一轮复习精讲精练(原卷版)_9.2025地理总复习_赠品通用版(老高考)复习资料_一轮复习_备战2023年高考地理一轮复习精讲精练

专题09植被与土壤-备战2023年高考地理一轮复习精讲精练(原卷版)_9.2025地理总复习_赠品通用版(老高考)复习资料_一轮复习_备战2023年高考地理一轮复习精讲精练

  • 2026-03-16 16:28:21 2026-03-12 11:48:48

文档预览

专题09植被与土壤-备战2023年高考地理一轮复习精讲精练(原卷版)_9.2025地理总复习_赠品通用版(老高考)复习资料_一轮复习_备战2023年高考地理一轮复习精讲精练
专题09植被与土壤-备战2023年高考地理一轮复习精讲精练(原卷版)_9.2025地理总复习_赠品通用版(老高考)复习资料_一轮复习_备战2023年高考地理一轮复习精讲精练
专题09植被与土壤-备战2023年高考地理一轮复习精讲精练(原卷版)_9.2025地理总复习_赠品通用版(老高考)复习资料_一轮复习_备战2023年高考地理一轮复习精讲精练
专题09植被与土壤-备战2023年高考地理一轮复习精讲精练(原卷版)_9.2025地理总复习_赠品通用版(老高考)复习资料_一轮复习_备战2023年高考地理一轮复习精讲精练
专题09植被与土壤-备战2023年高考地理一轮复习精讲精练(原卷版)_9.2025地理总复习_赠品通用版(老高考)复习资料_一轮复习_备战2023年高考地理一轮复习精讲精练
专题09植被与土壤-备战2023年高考地理一轮复习精讲精练(原卷版)_9.2025地理总复习_赠品通用版(老高考)复习资料_一轮复习_备战2023年高考地理一轮复习精讲精练
专题09植被与土壤-备战2023年高考地理一轮复习精讲精练(原卷版)_9.2025地理总复习_赠品通用版(老高考)复习资料_一轮复习_备战2023年高考地理一轮复习精讲精练
专题09植被与土壤-备战2023年高考地理一轮复习精讲精练(原卷版)_9.2025地理总复习_赠品通用版(老高考)复习资料_一轮复习_备战2023年高考地理一轮复习精讲精练
专题09植被与土壤-备战2023年高考地理一轮复习精讲精练(原卷版)_9.2025地理总复习_赠品通用版(老高考)复习资料_一轮复习_备战2023年高考地理一轮复习精讲精练
专题09植被与土壤-备战2023年高考地理一轮复习精讲精练(原卷版)_9.2025地理总复习_赠品通用版(老高考)复习资料_一轮复习_备战2023年高考地理一轮复习精讲精练
专题09植被与土壤-备战2023年高考地理一轮复习精讲精练(原卷版)_9.2025地理总复习_赠品通用版(老高考)复习资料_一轮复习_备战2023年高考地理一轮复习精讲精练
专题09植被与土壤-备战2023年高考地理一轮复习精讲精练(原卷版)_9.2025地理总复习_赠品通用版(老高考)复习资料_一轮复习_备战2023年高考地理一轮复习精讲精练
专题09植被与土壤-备战2023年高考地理一轮复习精讲精练(原卷版)_9.2025地理总复习_赠品通用版(老高考)复习资料_一轮复习_备战2023年高考地理一轮复习精讲精练
专题09植被与土壤-备战2023年高考地理一轮复习精讲精练(原卷版)_9.2025地理总复习_赠品通用版(老高考)复习资料_一轮复习_备战2023年高考地理一轮复习精讲精练
专题09植被与土壤-备战2023年高考地理一轮复习精讲精练(原卷版)_9.2025地理总复习_赠品通用版(老高考)复习资料_一轮复习_备战2023年高考地理一轮复习精讲精练
专题09植被与土壤-备战2023年高考地理一轮复习精讲精练(原卷版)_9.2025地理总复习_赠品通用版(老高考)复习资料_一轮复习_备战2023年高考地理一轮复习精讲精练
专题09植被与土壤-备战2023年高考地理一轮复习精讲精练(原卷版)_9.2025地理总复习_赠品通用版(老高考)复习资料_一轮复习_备战2023年高考地理一轮复习精讲精练

文档信息

文档格式
docx
文档大小
3.291 MB
文档页数
17 页
上传时间
2026-03-12 11:48:48

文档内容

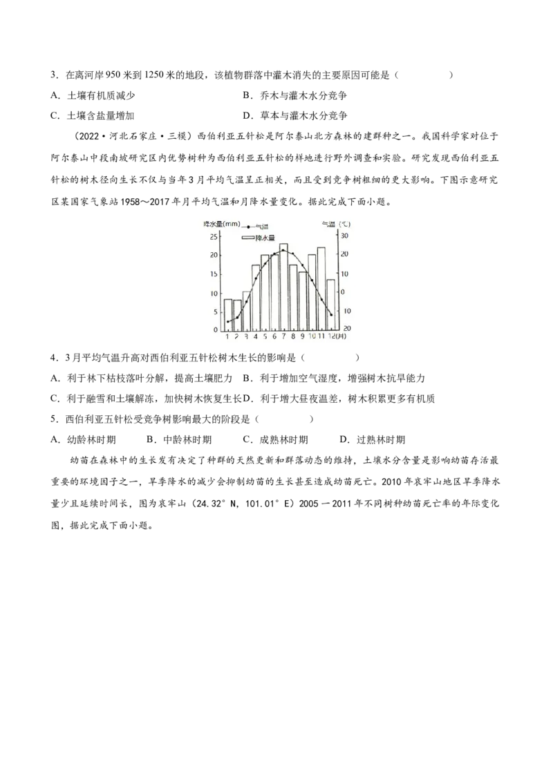
专题 09 植被与土壤 知识梳理 植物是生物 土壤是环境 土壤形成的几大因素:气候 母质 生物因素 土壤是植物生长的 基质为植 物提供水份,土壤性质的不同 会造成植被分布的不同,相互适应 、相互改造 ,土壤植被提供养分 植被 反过来保护土壤 知识点一.植被与环 境 1.植被定义 自然界成群生长的各种植物的整体 2.植被的分类 (1) 天然植被:天然形成的植被,例如森林、草原、荒漠等 (2) 人工植被:人工栽培和经营管理的植被,例如经济林、人工草场等 3.类型森林(分布在湿润半湿润地区) 热带雨林:特征是发育最繁茂的类型,植物种类丰富,群落结构复杂 热带季雨林 亚热带常绿阔叶林:特征是终年常绿,乔木多革质叶片,花期多在春末夏初,秋季陆续进入果期 温带落叶阔叶林:特征是乔木一般有宽阔的叶片,夏季盛叶,冬季落叶 亚寒带针叶林:特征是耐寒针叶乔木组成,以松、杉类植物为主,树叶为针状、抗寒抗旱 草原(分布在半湿润半干旱的内陆地区) 热带草原:特征是以旱生草本植物为主,星散分布着旱生乔木、灌木,具有独特的群落外貌 温带草原:特征是是多年生草本植物群落,以丛生禾草植物占优势,普遍存在旱生结构 荒漠(分布在干旱地区) 热带荒漠:特征是植被稀疏,地表大面积裸露,植物种类贫乏,群落结构简单 4.植物在生活过程中,始终与周围环境进行着物质和能量的交换,植物的形态和生活机能,以及它 们的分布等,都依赖于所生活的环境。 5.环境对植被的影响 (1)气候条件对植被分布的影响 ①热量:由于太阳辐射提供给地球的热量,有从赤道向两极递减的规律性差异,导致植被从赤道向 两极呈带状分布。 ②水分:在中纬度地区,从沿海到内陆,各地水分条件不同,植被由森林依次变为草原、荒漠。 (2)地形对植被分布的影响:在一定高度的山区,从山麓到山顶的水热状况随着海拔的增加而变化, 导致植被出现垂直分带现象。 6.植被对地理环境的影响 (1)植被对地理环境的影响十分显著。 (2)当地表失去了植被,会导致整个地理环境的退化。(3)人们要特别重视以各种方式来恢复植被,改善整个生态环境 知识点二.土壤 1.土壤概念:陆地表层具有一定肥力,能够生长植物的疏松表层。 2.作用:土壤为植物光合作用提供并协调水分、养分、温度、空气等营养条件,是人类生存的物质 基础 3.成土因素 自然因素 (1)成土母质 ①为岩石风化物。 ②在气候与生物的长期作用下能形成土壤。 ③成土母质在很大程度上决定着土壤的物理和化学性质。 【特别提醒】 (1)成土母质的粒度影响土壤质地:发育在颗粒较细母质上的土壤,质地一般较细,含粉沙和黏 粒较多,含沙粒较少;发育在颗粒较粗母质上的土壤,质地一般较粗,含沙粒较多,含粉沙和黏 粒较少。 (2)成土母质的化学成分,在很大程度上决定着土壤中的化学元素和养分。如基性岩母质上的土 壤,其铁、锰、镁、钙的含量要显著地高于酸性岩母质上的土壤,其中钙的含量最高,而硅、钠、 钾的含量低于酸性岩母质上的土壤。 (2)气候: ①气候直接影响土壤的水热状况和土壤中物理、化学过程的性质与强度。②降水和风对土壤形成也有重要影响。 (3)生物:土壤有机质的来源;土壤形成过程中最活跃的因素;在土壤形成过程中,植被具有重 要作用,植被类型能直接影响土壤形成方向 (4)地形 ①在山区,随着地势的升高,土壤的组成成分和理化性质均发生显著的垂直分化。 ②在陡峭的山坡上,土层较薄。 ③在平坦的地方,土层深厚。 人类活动 (1)积极影响:可以培育出一些肥沃、高产的耕作土壤,如__水稻土__。 (2)消极影响:不合理的人类活动,可导致土壤__退化__,如肥力下降、水土流失、盐渍化、荒漠化、 土壤污染等。 4.土壤的功能和养护 功能 (1)联系了四大圈层,是联系有机界和无机界的关键环节。 (2)为植物生长提供了扎根立足的条件,改变了地理环境。 (3)具有重要的蓄水、保水功能。 (4)是人类可以利用的珍贵自然资源。 利用与保护 (1)对不能满足耕作需要的土壤进行改良或改造。 (2)对优良的土壤要注重种养结合,以保持土壤持续提供高效肥力的能力。 重难点探究 不同地区森林(绿地)的作用分析: 丘陵、山地,涵养水源、保持水土;较干旱的地区,防风固沙、保护农田;城市森林(绿地),美 化环境、减弱噪声、调节气候;道路两侧,美化环境、减弱噪声、吸烟滞尘、净化空气;热带雨林, 维持全球碳氧平衡、保护生物多样性、调节大气成分、促进水循环。世界气候与植被带的分布规律 不同的气候条件形成不同的土壤类型 气候条件影响土壤中的有机质含量的多少,故不同的气候条件形成不同的土壤类型,如东北平原气 候冷湿,土壤有机质分解慢,形成肥沃的黑土;长江中下游地区,由于气候湿热,有机质分解快, 形成贫瘠的红壤;内陆干旱地区,由于矿物质淋失速度慢,形成钙质土。另外,土壤的干湿状况, 通过蒸发对空气湿度、温度也有一定的影响,也可通过土壤上生长的植物影响气候。 例题探究 例题1.(2022·山东日照·三模)林窗指森林群落中因各种因素导致树木死亡,从而在林冠层造成空隙 的现象。研究表明林窗会影响森林群落的演替,促进林窗内草本及灌木生长。下图示意我国某林地12月林 窗边缘及林内树表温度的时间变化。据此完成下面小题。 1.影响林窗群落演替的直接因素是( ) A.气温 B.降水 C.光照 D.土壤2.林窗东、西边缘树表温度差异的主要原因是( ) A.此季节日出东南,林窗东边缘比西边缘的日照时间长 B.林窗东边缘的林木比西边缘茂密,导致东边缘湿度大 C.林窗东边缘的林木比西边缘高大,导致东边缘通风性好 D.上午多雾影响林窗西边缘光照,林窗东边缘获得日照较多 例题2.(2022·天津和平·三模)研究发现,部分南极地区已经被绿藻覆盖,甚至在太空中都能看到成 片的绿色。据估计,南极地区的绿藻面积在夏季可达到1.9km2,其中62%的绿藻爆发点分布在南极大陆周围 的小岛上。下图为南极地区绿藻爆发点分布图。完成下面小题。 1.推测影响南极地区绿藻分布的主要因素有( ) A.光照和土壤 B.岩石和地形 C.气温和水温 D.风力和浮冰 2.绿藻对南极地区气温变化的影响,目前尚不确定。关于“不确定”的原因说法正确的是( ) ①绿藻光合作用可吸收二氧化碳减弱温室效应 ②绿藻生长可增加大气对地面辐射的吸收作用 ③绿藻可使白天气温更高夜间气温更低 ④绿藻可以减少地表对太阳辐射的反射 A.①④ B.①③ C.②③ D.③④ 例题3.(2022·福建省龙岩第一中学模拟)东北黑土区为我国典型季节性冻土区,冻融循环发生时土壤 孔隙水的相变过程会改变土壤结构及稳定性,科研人员采集黑龙江省克山县4种不同的土壤样品,选取土壤团聚体平均重量直径(MWD)作为团聚体稳定性的评价指标,MWD值越大表明土壤团聚度越高,抗侵蚀能 力越强,下图为土壤团聚体平均重量直径随冻融循环次数的变化,据此回答下面小题。 1.四种不同的土壤样品中含水量最少的是( ) A.a B.b C.c D.d 2.图中MWD的变化可能导致此后该区域夏季( ) A.植被根系扎根浅 B.大气温度上升快 C.河流泥沙含量低 D.土壤养分流失快 例题4.(2022·浙江省杭州第二中学模拟)浙江某校地理兴趣小组在老师的指导下,开展了一次“土壤 形成与地理环境关系”的研学活动,发现考察地土壤剖面呈均匀的土红色,腐殖质少,质地较黏重。完成 下面小题。 1.该地土壤腐殖质少的原因,解释合理的是( ) ①风化作用弱,提供有机质少②水热条件好,分解作用快 ③降水丰富,淋溶作用强④植被破坏,水土流失严重 A.①②③ B.①③④ C.①②④ D.②③④ 2.小明从研学地点带回一袋土壤想用于阳台种植花草,以下改良措施及因果关系正确的是( ) A.倒入茶叶渣—减缓土壤氧化 B.掺入河沙—增加土壤透气性 C.加入化肥—增加土壤有机质 D.浇纯净水—降低土壤盐碱度同步练习 一、单选题 (2022·湖南·高三)我国西北某内流河下游河岸地带发育着荒漠植物群落,胡杨为主要建群种,该 地地下水平均埋深3~4米。下表反映该植物群落属性及影响因子随离河岸距离增加的变化情况(其中土壤 容重与土壤有机质含量呈负相关,土壤电导率与土壤含盐量呈正相关)。据此完成下面小题。 群落属性 影响因子 离河岸距 离(m) 群落盖度 土壤含水量 土壤容重 土壤电导率 群落结构 海拔(m) (%) (%) (g/cm3) (mS/cm) 50 乔—灌—草 30.33 916 5.73 1.41 0.36 200 乔—灌—草 34.00 917 5.04 1.50 0.59 350 乔—灌—草 40.33 914 4.42 1.50 0.37 500 乔—灌—草 46.67 914 18.51 1.41 2.56 650 乔—灌—草 74.33 913 19.27 1.37 0.40 800 乔—灌—草 68.67 913 15.23 1.38 1.02 950 乔—草 45.00 912 7.78 1.40 0.50 1100 乔—草 40.33 916 3.06 1.58 0.66 1250 乔—草 34.33 915 2.32 1.62 1.98 1.随离河岸距离的增加,变化趋势与群落盖度总体相似的影响因子有( ) ①海拔②土壤含水量③土壤有机质含量④土壤含盐量 A.①② B.②③ C.②④ D.③④ 2.浅根系草本植物在该植物群落中分布广泛,主要得益于( ) A.胡杨涵养水源 B.草本植物水分竞争力强 C.地下水埋深浅 D.草本植物耐盐碱能力强3.在离河岸950米到1250米的地段,该植物群落中灌木消失的主要原因可能是( ) A.土壤有机质减少 B.乔木与灌木水分竞争 C.土壤含盐量增加 D.草本与灌木水分竞争 (2022·河北石家庄·三模)西伯利亚五针松是阿尔泰山北方森林的建群种之一。我国科学家对位于 阿尔泰山中段南坡研究区内优势树种为西伯利亚五针松的样地进行野外调查和实验。研究发现西伯利亚五 针松的树木径向生长不仅与当年3月平均气温呈正相关,而且受到竞争树粗细的更大影响。下图示意研究 区某国家气象站1958~2017年月平均气温和月降水量变化。据此完成下面小题。 4.3月平均气温升高对西伯利亚五针松树木生长的影响是( ) A.利于林下枯枝落叶分解,提高土壤肥力 B.利于增加空气湿度,增强树木抗旱能力 C.利于融雪和土壤解冻,加快树木恢复生长D.利于增大昼夜温差,树木积累更多有机质 5.西伯利亚五针松受竞争树影响最大的阶段是( ) A.幼龄林时期 B.中龄林时期 C.成熟林时期 D.过熟林时期 幼苗在森林中的生长发有决定了种群的天然更新和群落动态的维持,土壤水分含量是影响幼苗存活最 重要的环境因子之一,旱季降水的减少会抑制幼苗的生长甚至造成幼苗死亡。2010年哀牢山地区旱季降水 量少且延续时间长,图为哀牢山(24.32°N,101.01°E)2005一2011年不同树种幼苗死亡率的年际变化 图,据此完成下面小题。6.为研究哀牢山不同年份旱季土壤水分条件对植株幼苗死亡率的影响,应选择( ) A.2-3月 B.5-6月 C.8-9月 D.10-11月 7.下列与旱季植物幼苗死亡率相关性最小的因素( ) A.土壤含水率 B.旱季降水日数 C.旱季日照时长 D.植株储水能力 8.若未来该地区干旱频度和强度增加,可能导致( ) A.大花八角、多果新木姜子丰富度减小,黄心树丰富度增加 B.多花山矾、黄心树丰富度减小,大花八角丰富度增加 C.多果新木姜子、黄心树丰富度减小,鸭公树丰富度增加 D.鸭公树、黄心树丰富度减小,多花山矾丰富度增加 大兴安岭是中国对气候变化最为敏感和最早做出响应的地区之一。近年来,气候变暖导致大兴安岭霜 冻天数减少,北段植被春季变绿速率加快,南段植被变绿速率反而减慢。下图示意大兴安岭的位置。据此 完成下面小题。9.大兴安岭北段与南段植被春季变绿速率变化趋势相反,主要影响因素是( ) ①植被类型②植被覆盖度③热量条件④土壤条件 A.①③ B.①④ C.②③ D.②④ 10.气候变暖导致霜冻天数减少,但大兴安岭南段春季植被变绿速率减慢,这可能是由于( ) A.霜冻期延长 B.植被生长提前 C.降水明显增加 D.春季积温降低 (2022·广东·高三)陕西吴起县地处黄土高原腹地。当地实施退耕还林20余年,取得较好的效果。 研究发现相同坡度、坡向、降水条件下的退耕地,荒草地、山桃、小叶杨和柠条林地四种植被类型土壤水 分存在明显的差异。下图为四种植被类型退耕地的土壤含水量随深度的变化。据此完成下面小题。 11.由图可知,研究区内的退耕地( )A.除柠条林外,其他植被类型土壤水分随深度增加整体呈减少趋势 B.0-100cm深度范围内,整体土壤水分荒草地>小叶杨>山桃>柠条 C.土壤含水量随土层深度变化趋势基本一致 D.土壤水分最大值的深度取决于根系的位置 12.对四种植被类型土壤水分差异影响最大的水循环环节是( ) A.降水 B.蒸发和蒸腾 C.地表径流 D.下渗 草皮,是指农民在耕地上种植的草,连带薄薄的一层泥土铲下来出售,用来铺成草坪,美化环境。农 民在耕地上种植草皮出售,可以获得较好的经济效益,但也带来了一系列环境问题。目前,已有多地出台 政策引导农民“退草还田”。下图为待售草皮照片。完成下面小题。 13.在耕地上种植草皮对土壤造成的最大破坏是( ) A.改变土壤结构 B.改变土壤类型 C.增强生物风化 D.增加土壤水分 14.下列措施中,有利于推进农村“退草还田”的是( ) A.增加投入,提高土地质量 B.整理土地,保证耕地供应 C.规模经营,提高粮食单产 D.恢复植被,减少水土流失 15.(2022·天津南开·一模)熟化是通过耕种、定向培育,将自然土壤转变成适合农作物生长且肥沃的土 壤的过程。下图为自然土壤与水稻土结构示意图。读图,与自然土壤相比,经过熟化过程,水稻土的结构 特点及功能发生的变化表现为( )①表土层软糊,作物易受大风、雨涝影响而倒伏 ②落叶层增厚,为土壤提供了熟化过程天然肥料 ③犁底层紧实,提高了蓄水、保水、保肥的能力 ④母岩层较薄,阻断了有机界与无机界之间联系 A.①② B.①③ C.②③ D.②④ 山西种植冬小麦的某农场,进行了长达21年的试验,对比翻耕和留茬免耕对土壤有机质的影响。下图 示意两种耕作模式下不同深度土壤总有机碳储量和微生物碳储量的对比。据此完成下面小题。 16.与留茬免耕相比,翻耕土层10~40cm深处的总有机碳储量较大,主要是因为翻耕时( ) A.深层土壤透气性改良 B.深层土壤贮水量加大 C.冬小麦残茬翻入该层 D.冬小麦根系生长加快 17.与翻耕相比,留茬免耕在任何深度中土壤微生物碳储量都较高,是由于免耕能( ) A.保护土壤结构 B.增强土壤透水性 C.降低土壤温度 D.增强土壤透气性 (2022·河北·高三)石台县位于安徽省南部,长江下游南岸,地貌以低山、高丘分布最广,位于亚 热带湿润气候区,县线内富锌土壤分布较为广泛。下表示意石台县不同土地类型表层土壤(0~20m深度) 锌元素含量及富集系数。据此完成下面小题。 土地利用类型 最大值(mg/kg) 最小值(mg/kg) 平均值(mg/kg) 富集系数林地 744.2 21.3 100.9 1.48 耕地 460.7 27.5 97.9 1.44 国地 2443.5 24.2 98.0 1.44 草地 170.9 54.7 96.5 1.42 内陆滩涂 445.5 47.2 111.2 1.64 全县 2443.5 21.3 99.0 1.46 18.石台县表层土壤锌元素富集程度最低的土地利用类型是( ) A.林地 B.耕地 C.园地 D.草地 19.导致石台县内陆滩涂锌元素富集系数高的主要影响因素是( ) A.气温、光照 B.地形、径流 C.地形、生物 D.降水、生物 20.(2022·北京·模拟)气候是影响植被类型和土壤性质的重要因素。秦巴山区是中国南北过渡带的主体, 山区土壤有机碳受气温和降水影响呈现有规律的时空变化。下图示意秦巴山区不同海拔土壤有机碳与气温、 降水的相关系数(绝对数越大,相关性越强),海拔大于1000米,夏季降水与土壤有机碳呈正相关的理由 是( ) A.降水多植物生长茂盛 B.气温高有机质分解多 C.气温高矿物质风化快 D.降水多土壤淋溶性强 二、综合题 21.(2022·安徽·二模)阅读图文材料,完成下列要求。 河岸植物群落是河岸生态系统的重要组成部分,河岸植物通过自身的生物作用对河岸生态系统发挥调 节作用。黄河源区地处青藏高原,河道蜿蜒,下图示意黄河源区某河湾处植被及土壤的分布状况,随着距 河岸距离的增大,植被逐步向高级演替。(1)指出判断该河湾植被自然演替阶段的重要依据。 (2)描述随着距河岸距离的增大该河湾土壤厚度的变化特征,并分析原因。 (3)分析随着距河岸距离的增大该河湾土壤含水量变化特征的成因。 (4)简述河岸带植被和土壤发育的相互关系。 22.(2022·河北沧州·二模)阅读图文材料,完成下列要求。 新喀里多尼亚岛静躺在无垠的碧绿海水之中,是太平洋众多岛屿中植物种类最多的一个岛屿。新喀里 多尼亚岛位于经常发生地震和火山喷发的地区,岛上平地较少,崎岖的山脉将该岛分为东西两部分。下图 示意新喀里多尼亚岛位置与山脉分布。 (1)推测新喀里多尼亚岛形成的主要原因。 (2)阐释新喀里多尼亚岛成为太平洋植物种类最多岛屿的自然条件。 23.(2022·广西·模拟)阅读图文材料,完成下列夏求。 若尔盖湿地是我国面积最大的高寒泥炭沼泽湿地,主要由白河和黄河主河道构成(下左图)。白河是 黄河的一级支流,蜿蜒曲折,河床起伏小且宽浅,自然状态下河湾迁移频繁。某科研团队于某年夏季在白 河中游某段进行河湾迁移调查,发现河湾凸岸湾顶处为面积较大的砾石边滩,上覆砾石和少量淤泥,从凸岸内侧(西南方)到外侧(东北方)依次发育了湿生植被,草本植被和灌木植被三种不同的植被种群,呈 条带状环绕凸岸(右图),不同的植被种群彤成于河湾迁移的不同时期。 (1)从水循环的角度简析若尔盖湿地的形成条件。 (2)指出右图中凸岸植被生物量空间分异的规律,并从水分和土壤因索分析原因。 (3)随着右图中地区河湾不断迁移,推测右图中湿生植被区域植被种群的演替并说明原因。