当前位置:首页>文档>重难点09中国的疆域人口和民族(4大重难+命题预测+新考法)-2025中考地理热点·重点·难点专练(全国通用)_02中考总复习(2026版更新中)_09-地理-中考总复习_2025中考地理复习资料

重难点09中国的疆域人口和民族(4大重难+命题预测+新考法)-2025中考地理热点·重点·难点专练(全国通用)_02中考总复习(2026版更新中)_09-地理-中考总复习_2025中考地理复习资料

  • 2026-04-13 19:56:43 2026-03-12 16:10:41

文档预览

重难点09中国的疆域人口和民族(4大重难+命题预测+新考法)-2025中考地理热点·重点·难点专练(全国通用)_02中考总复习(2026版更新中)_09-地理-中考总复习_2025中考地理复习资料
重难点09中国的疆域人口和民族(4大重难+命题预测+新考法)-2025中考地理热点·重点·难点专练(全国通用)_02中考总复习(2026版更新中)_09-地理-中考总复习_2025中考地理复习资料
重难点09中国的疆域人口和民族(4大重难+命题预测+新考法)-2025中考地理热点·重点·难点专练(全国通用)_02中考总复习(2026版更新中)_09-地理-中考总复习_2025中考地理复习资料
重难点09中国的疆域人口和民族(4大重难+命题预测+新考法)-2025中考地理热点·重点·难点专练(全国通用)_02中考总复习(2026版更新中)_09-地理-中考总复习_2025中考地理复习资料
重难点09中国的疆域人口和民族(4大重难+命题预测+新考法)-2025中考地理热点·重点·难点专练(全国通用)_02中考总复习(2026版更新中)_09-地理-中考总复习_2025中考地理复习资料
重难点09中国的疆域人口和民族(4大重难+命题预测+新考法)-2025中考地理热点·重点·难点专练(全国通用)_02中考总复习(2026版更新中)_09-地理-中考总复习_2025中考地理复习资料
重难点09中国的疆域人口和民族(4大重难+命题预测+新考法)-2025中考地理热点·重点·难点专练(全国通用)_02中考总复习(2026版更新中)_09-地理-中考总复习_2025中考地理复习资料
重难点09中国的疆域人口和民族(4大重难+命题预测+新考法)-2025中考地理热点·重点·难点专练(全国通用)_02中考总复习(2026版更新中)_09-地理-中考总复习_2025中考地理复习资料
重难点09中国的疆域人口和民族(4大重难+命题预测+新考法)-2025中考地理热点·重点·难点专练(全国通用)_02中考总复习(2026版更新中)_09-地理-中考总复习_2025中考地理复习资料
重难点09中国的疆域人口和民族(4大重难+命题预测+新考法)-2025中考地理热点·重点·难点专练(全国通用)_02中考总复习(2026版更新中)_09-地理-中考总复习_2025中考地理复习资料
重难点09中国的疆域人口和民族(4大重难+命题预测+新考法)-2025中考地理热点·重点·难点专练(全国通用)_02中考总复习(2026版更新中)_09-地理-中考总复习_2025中考地理复习资料
重难点09中国的疆域人口和民族(4大重难+命题预测+新考法)-2025中考地理热点·重点·难点专练(全国通用)_02中考总复习(2026版更新中)_09-地理-中考总复习_2025中考地理复习资料
重难点09中国的疆域人口和民族(4大重难+命题预测+新考法)-2025中考地理热点·重点·难点专练(全国通用)_02中考总复习(2026版更新中)_09-地理-中考总复习_2025中考地理复习资料
重难点09中国的疆域人口和民族(4大重难+命题预测+新考法)-2025中考地理热点·重点·难点专练(全国通用)_02中考总复习(2026版更新中)_09-地理-中考总复习_2025中考地理复习资料
重难点09中国的疆域人口和民族(4大重难+命题预测+新考法)-2025中考地理热点·重点·难点专练(全国通用)_02中考总复习(2026版更新中)_09-地理-中考总复习_2025中考地理复习资料
重难点09中国的疆域人口和民族(4大重难+命题预测+新考法)-2025中考地理热点·重点·难点专练(全国通用)_02中考总复习(2026版更新中)_09-地理-中考总复习_2025中考地理复习资料
重难点09中国的疆域人口和民族(4大重难+命题预测+新考法)-2025中考地理热点·重点·难点专练(全国通用)_02中考总复习(2026版更新中)_09-地理-中考总复习_2025中考地理复习资料
重难点09中国的疆域人口和民族(4大重难+命题预测+新考法)-2025中考地理热点·重点·难点专练(全国通用)_02中考总复习(2026版更新中)_09-地理-中考总复习_2025中考地理复习资料
重难点09中国的疆域人口和民族(4大重难+命题预测+新考法)-2025中考地理热点·重点·难点专练(全国通用)_02中考总复习(2026版更新中)_09-地理-中考总复习_2025中考地理复习资料
重难点09中国的疆域人口和民族(4大重难+命题预测+新考法)-2025中考地理热点·重点·难点专练(全国通用)_02中考总复习(2026版更新中)_09-地理-中考总复习_2025中考地理复习资料
重难点09中国的疆域人口和民族(4大重难+命题预测+新考法)-2025中考地理热点·重点·难点专练(全国通用)_02中考总复习(2026版更新中)_09-地理-中考总复习_2025中考地理复习资料
重难点09中国的疆域人口和民族(4大重难+命题预测+新考法)-2025中考地理热点·重点·难点专练(全国通用)_02中考总复习(2026版更新中)_09-地理-中考总复习_2025中考地理复习资料
重难点09中国的疆域人口和民族(4大重难+命题预测+新考法)-2025中考地理热点·重点·难点专练(全国通用)_02中考总复习(2026版更新中)_09-地理-中考总复习_2025中考地理复习资料
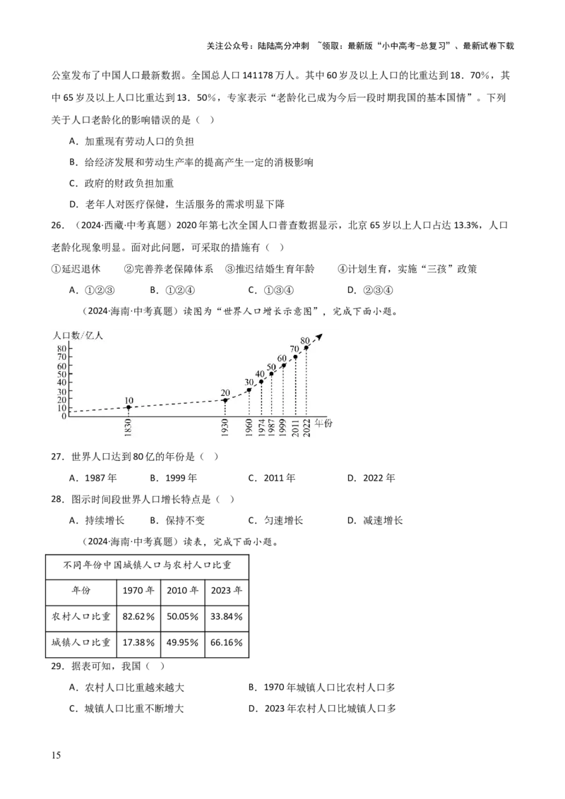
重难点09中国的疆域人口和民族(4大重难+命题预测+新考法)-2025中考地理热点·重点·难点专练(全国通用)_02中考总复习(2026版更新中)_09-地理-中考总复习_2025中考地理复习资料
重难点09中国的疆域人口和民族(4大重难+命题预测+新考法)-2025中考地理热点·重点·难点专练(全国通用)_02中考总复习(2026版更新中)_09-地理-中考总复习_2025中考地理复习资料
重难点09中国的疆域人口和民族(4大重难+命题预测+新考法)-2025中考地理热点·重点·难点专练(全国通用)_02中考总复习(2026版更新中)_09-地理-中考总复习_2025中考地理复习资料
重难点09中国的疆域人口和民族(4大重难+命题预测+新考法)-2025中考地理热点·重点·难点专练(全国通用)_02中考总复习(2026版更新中)_09-地理-中考总复习_2025中考地理复习资料
重难点09中国的疆域人口和民族(4大重难+命题预测+新考法)-2025中考地理热点·重点·难点专练(全国通用)_02中考总复习(2026版更新中)_09-地理-中考总复习_2025中考地理复习资料

文档信息

文档格式
docx
文档大小
7.304 MB
文档页数
28 页
上传时间
2026-03-12 16:10:41

文档内容

关注公众号:陆陆高分冲刺 ~领取:最新版“小中高考-总复习”、最新试卷下载 重难点 09 中国的疆域、人口、民族 目 录 命题趋势解读 核心知识脉络 命题点技巧点拨 重点01 我国的地理位置及国土辽阔的优越性 重点02 记忆我国的省级行政区 重点03 我国当前的人口问题与应对措施 重点04 我国民族文化及分布 突破检测:(真题+新考法) 按住 ctrl键,同时点击目录,即可跳转到对应内 容 三年考情分析 2025考向预测 2024江苏淮安卷:考察人口分布他点,少数 考点预测: ①我国的地理位置及领土构成,地理位置 民族人口分布 的优越性。 2024湖北武汉卷:根据疫情期间情境引入, ②行政区划与省级轮廓,简称、行政中心,重点省份的 带有“浙卫消证字”考察简称 位置特征 2024贵州贵阳卷:中国国信一号,是全球第 ③三孩政策及调整原因。人口老龄化的影响 一艘大型深海养殖工船,主要养殖大黄鱼,考 ④民族分布与政策,民族文化与区域发展,民族团结热 察资源、濒临海域 点。 2023四川乐山卷:玛曲湿地——黄河重要的 考法预测: 台湾、南海诸岛、钓鱼岛的主权问题,结 水源地,是旅游热门打卡地,考察省级行政区 合时政热点,可能以材料题形式考察领土完整的意义。 及保护湿地的建议 应对老龄化、少子化,可能以材料分析题考察,人口老 2023江苏镇江卷:材料介绍珊瑚生长环环境 龄化影响如劳动力短缺、养老压力、可能结合数据图表 及珊瑚分布图考察海域文职,及通过材料分析 分析。 解答珊瑚生活的海域 结合“碳中和”目标探讨人口政策如何影响资源环境 2022辽宁鞍山卷:我国区域发展示意图,考 (如少子化与能源消费的关系) 察地理区域位置,主要的城市分布 给出某民族自治区的经济数据,分析其发展优势 2022山东德州卷:我国地理位置及优越性 结合时政热点,可能以材料题形式考察领土完整的意义 1关注公众号:陆陆高分冲刺 ~领取:最新版“小中高考-总复习”、最新试卷下载 重点01 我国的地理位置及国土辽阔的优越性 一、我国辽阔的国土 2关注公众号:陆陆高分冲刺 ~领取:最新版“小中高考-总复习”、最新试卷下载 二、我国地理位置的优越性 重点02 记忆我国省级行政区域 一、歌诀记忆 东北黑吉辽,西北陕青甘,东南台浙和闽粤,西南川滇黔, 海南简称琼,苏和皖,鄂湘赣,千里长江一线连。 晋冀鲁豫沿黄河,二十三省简称全。 3关注公众号:陆陆高分冲刺 ~领取:最新版“小中高考-总复习”、最新试卷下载 四市京津和沪渝,五区桂藏蒙宁新,港澳特别新团圆。 二、图示记忆法 1.东北三省(一字线) 2. 黄河下游四省二市 3. 长江中下游六省二市(对称分 布) 4. 西南三省一市(梯 5. 西部边疆二区一省 6. 南部沿海四省三区(排队法) 形) 三、形象记忆 省区名称 省区轮廓图 省区象形图 河北省 简称:冀 海马 行政中心:石家庄 山西省 平行四 简称:晋 边形 行政中心:太原 4关注公众号:陆陆高分冲刺 ~领取:最新版“小中高考-总复习”、最新试卷下载 内蒙古自治区 简称:内蒙古 雄鹰 行政中心:呼和浩特 黑龙江省 简称:黑 天鹅 行政中心:哈尔滨 吉林省 三角形 简称:吉 行政中心:长春 河南省 金鱼 简称:豫 行政中心:郑州 山东省 鹰 简称:鲁 行政中心:济南 5关注公众号:陆陆高分冲刺 ~领取:最新版“小中高考-总复习”、最新试卷下载 湖南省 肖像图 简称:湘 行政中心:长沙 湖北省 公安帽 简称:鄂 行政中心:武汉 江西省 头像 简称:赣 行政中心:南昌 江苏省 武者 简称:苏 行政中心:南京 6关注公众号:陆陆高分冲刺 ~领取:最新版“小中高考-总复习”、最新试卷下载 陕西省 跪俑 简称:陕或秦 行政中心:西安 甘肃省 哑铃 简称:甘或陇 行政中心:兰州 青海省 兔子 简称:青 行政中心:西宁 广西壮族自治区 锚脸 简称:桂 行政中心:南宁 广东省 象头 简称:粤 行政中心:广州 7关注公众号:陆陆高分冲刺 ~领取:最新版“小中高考-总复习”、最新试卷下载 云南省 孔雀 简称:云或滇 行政中心:昆明 西藏自治区 皮鞋 简称:藏 行政中心:拉萨 四、比较方法 位置最东的、最北的 黑龙江省 位置最西的 新疆维吾尔自治区 位置最南的 海南省 邻国最多的、面积最大的 新疆维吾尔自治区(8个) 面积最小的 澳门特别行政区内蒙古自治区 跨经度最广的 内蒙古自治区 跨纬度最广的 海南省 既临渤海,又临黄海的 辽宁省、山东省 既临海又有陆上邻国的 辽宁省、广西壮族自治区 重点03中国当前人口问题与应对措施 一、我国当前的人口问题 人口基数大,导致人均资源少; 人口老龄化速度加快,“未富先老”,社会负担加重; “生男偏好”导致男性比例偏高,性别比例失调。 二、应对措施 全面放开三孩政策:2021年我国实施三孩政策,允许每对夫妇生育三 生育政策调整 个孩子 8关注公众号:陆陆高分冲刺 ~领取:最新版“小中高考-总复习”、最新试卷下载 配套支持措施:政府推出育儿补贴、税收优惠、延长产假等政策 完善养老保障体系 养老金制度改革、社会和居家养老服务 优化人口结构 延迟退休政策、提升人口素质 促进性别平等 保障女性权益、打击性别歧视 提升公共服务水平 医疗资源优化、教育资源均衡 推动智能化养老:利用人工智能等技术提升养老服务效率 鼓励科技创新 促进生育技术进步:支持辅助生殖技术发展,帮助不孕不育夫妇实现 生育愿望 重点04 我国民族文化及分布 一、少数民族传统节日 民族 乐器 传统节日或民俗活动 蒙古族 马头琴 那达慕大会、摔跤、赛马、射箭 维吾尔族 手鼓 古尔邦节、手鼓舞、叼羊 傣族 两面鼓 泼水节、孔雀舞、象脚鼓舞 藏族 神鼓 雪顿节、晒佛节、锅庄舞 苗族 芦笙 芦笙节、开年节等 朝鲜族 长鼓 跳板、长鼓舞、荡秋千 高山族 口琴、弓琴 丰收节、开垦祭、播种祭 壮族 合欢箫 三月三歌节、对歌 彝族 葫芦丝、口弦 火把节 二、民族分布 民族 主要分布区 汉族 遍布全国各地,以东部和中部最为集中 大散居、小聚居、交错居住。 少数民族 主要分布在西南、西北、东北地区 第一部分 真题练 【重难点1 我国地理位置及国土辽阔的优越性】 9关注公众号:陆陆高分冲刺 ~领取:最新版“小中高考-总复习”、最新试卷下载 (2024·海南·中考真题)戏曲是中华优秀传统文化的亮丽名片,京剧、豫剧、秦腔、川剧、琼剧等百 花争艳,各具地方特色。读图为“中国的省级行政区域示意图”,完成下面小题。 1.琼剧是海南省的代表剧种,主要流行于图中的( ) A.甲地 B.乙地 C.丙地 D.丁地 2.我国传统文化地域差异显著的主要原因是( ) A.地处高纬 B.疆域辽阔 C.位于热带 D.海域宽广 (2024·江苏宿迁·中考真题)“你见过什么样的中国?是960万平方千米的辽阔,还是300万平方千 米的澎湃?是四季轮转的天地,还是冰与火演奏的乐章?”这是纪录片《航拍中国》的片头。图为“中国疆 域示意图”。完成下面小题。 3.“960万平方千米的辽阔”,这句话表明我国( ) A.地跨寒、温﹑热三带 B.是一个内陆国 C.河流湖泊数量众多 D.陆地面积广阔 10关注公众号:陆陆高分冲刺 ~领取:最新版“小中高考-总复习”、最新试卷下载 4.“300万平方千米的澎湃”为我国提供了( ) ①充足的水资源②便利的海运条件③大量的海产品④丰富的油气资源 A.①②③ B.①②④ C.②③④ D.①③④ 5.我国冬季北方和南方形成“冰与火”的差异,主要的影响因素是( ) A.纬度位置 B.海陆位置 C.地形地势 D.人类活动 (2024·山东聊城·中考真题)每年的6月8日是世界海洋日,2024年的主题是“新深度唤醒”,旨在 让我们唤醒对海洋的理解、同情、合作和承诺的新深度。结合图文资料,完成下面小题。 6.我国合理开发和利用海洋资源,应采取的措施是( ) A.禁止海盐生产,保护海洋生态 B.大力发展海洋捕捞,增加渔民收入 C.合理实行休渔制度,努力做到捕养结合D.禁止海上石油开采,以免产生石油污染 7.目前,我国已建成多个国家级海洋牧场示范区。我国发展海洋牧场的主要优势是( ) A.草原面积广,畜牧业发展基础好 B.陆地面积辽阔,东西跨度大 C.地形复杂多样,利于发展多种经营 D.海域辽阔,适宜多种海洋生物生长 8.(2024·黑龙江·中考真题)关于我国疆域叙述不正确的是( ) A.曾母暗沙是我国领土最南端 B.海域辽阔,便于发展海洋事业 C.渤海是我国唯一的内海 D.陆地疆界辽阔,陆上邻国有14个 (2024·重庆·中考真题)2024年春节联欢晚会于大年三十20点(北京时间)准时开播,四个分会场 分别设在辽宁的沈阳、湖南的长沙、陕西的西安、新疆的喀什。开播时的沈阳已是万家灯火,而喀什还处 在落日余晖之中。如图为春晚会场分布示意图,完成下面小题。 11关注公众号:陆陆高分冲刺 ~领取:最新版“小中高考-总复习”、最新试卷下载 9.导致沈阳、喀什两地天色不同的主要原因是( ) A.海拔高差大 B.纬度差异大 C.气候差异大 D.经度差异大 10.春节期间,西安街头( ) A.绿树成荫 B.树枝光秃 C.满树金黄 D.落叶纷飞 11.长沙分会场最邻近的河流是( ) A.湘江 B.汉江 C.闽江 D.赣江 12.(2022·山东德州·中考真题)关于我国地理位置及优越性的叙述,正确的是( ) A.南北跨纬度广,气候复杂多样,为发展农业生产提供了多样条件 B.全部位于低纬度,无寒带,为多数动植物生长提供了充足的热量 C.海陆兼备,有利于太平洋、大西洋的湿润气流从东南部深入内陆 D.东临太平洋,优良港口众多,便于和蒙古、韩国等国进行经济往来 【重难点2 我国省级行政区】 (2024·江苏淮安·中考真题)2024年5月25日,第9万列中欧班列从西安国际港出发,经过兰州、 乌鲁木齐,从霍尔果斯站出境,全程运行15天,最终到达欧洲目的地国家。读中国普速铁路部分干线分布 示意图,结合相关知识完成下面小题。 13.兰州至乌鲁木齐段的铁路干线属于( ) 12关注公众号:陆陆高分冲刺 ~领取:最新版“小中高考-总复习”、最新试卷下载 A.青藏线 B.兰新线 C.京沪线 D.宝成线 14.西安所在的省份是( ) A. 山东省 B. 广东省 C. 黑龙江省 D. 陕西省 (2024·江苏盐城·中考真题)川气东送一期工程西起四川普光,东至上海,是我国继西气东输工程后 又一项天然气远距离管网输送工程。读川气东送一期工程线路图,完成下面小题。 15.下列省级行政区域都位于该工程线路上的是( ) A.重庆、贵州 B.湖北、湖南 C.河南、山东 D.浙江、上海 16.该工程对沿线地区的积极影响有( ) ①优化长三角地区的能源结构②提高长三角地区的环境质量 ③带动西部地区的经济发展④显著减少西部地区的地质灾害 A.①②③ B.①②④ C.①③④ D.②③④ (2024·山东青岛·中考真题)长江干流上的6座巨型梯级水电站,是实施“西电东送”的国家重大工 程之一,将大量电力输送到电力紧缺的我国东部地区。下图示意长江干流上的6座巨型梯级水电站。据此 完成下面小题。 13关注公众号:陆陆高分冲刺 ~领取:最新版“小中高考-总复习”、最新试卷下载 17.长江干流从乌东德水电站到葛洲坝水电站流经的省级行政区的简称是( ) A.青、川、滇、湘 B.藏、川、滇、皖 C.川、贵、粤、沪 D.川、滇、渝、鄂 18.图示河段水能丰富的最主要原因是( ) A.地势落差大 B.水量稳定 C.无结冰期 D.河道宽阔 19.梯级水电站的建设对我国东部地区的有利影响有( ) ①改善空气质量②增加旅游资源③缓解能源紧张④优化能源结构 A.①②③ B.①②④ C.①③④ D.②③④ 【重难点3中国当前人口问题与应对措施】 (2024·江苏镇江·中考真题)保持合理的人口数量和人口增长速度,可促进经济和社会的发展。表为 “我国部分人口数据统计表”。完成下面小题。 指标名称 2018年 2019年 2020年 2021年 2022年 国家老年抚养比/% 16.8 17.8 19.7 20.8 21.8 江苏省人口数/万人 8446.19 8466.09 8447.26 8505.40 8515.00 镇江市生育保险人数/万人 59.25 60.44 64.01 66.71 65.52 注:老年抚养比=65岁及以上人口数/15~64岁人口数×100%: 生育保险指国家或社会对生育的职工给予必要的经济补偿和医疗保健的社会保险制度。 20.2018~2022年,国家老年抚养比的变化表明我国人口( ) A.出生率猛增 B.死亡率骤降 C.多子化严重 D.老龄化加剧 21.针对国家老年抚养比的变化,我国应( ) A.严控人口流动 B.弘扬敬老风气 C.限制养老产业 D.依赖海外劳工 22.2018~2022年,江苏省( ) A.乡村人口不断流失 B.城镇人口涌入农村 C.总人口数持续下降 D.城市就业压力减缓 23.2018~2022年,镇江市生育保险人数( ) A.逐渐增加 B.逐渐减少 C.先增后减 D.先减后增 24.改善镇江市2022年人口生育状况的合理举措有( ) A.实施独生子女政策 B.保障生育职工福利 C.提高生育保险门槛 D.减少带薪生育假期 25.(2021·湖北武汉·中考真题)2021年05月11日国家统计局,国务院第七次全国人口普查领导小组办 14关注公众号:陆陆高分冲刺 ~领取:最新版“小中高考-总复习”、最新试卷下载 公室发布了中国人口最新数据。全国总人口141178万人。其中60岁及以上人口的比重达到18.70%,其 中65岁及以上人口比重达到13.50%,专家表示“老龄化已成为今后一段时期我国的基本国情”。下列 关于人口老龄化的影响错误的是( ) A.加重现有劳动人口的负担 B.给经济发展和劳动生产率的提高产生一定的消极影响 C.政府的财政负担加重 D.老年人对医疗保健,生活服务的需求明显下降 26.(2024·西藏·中考真题)2020年第七次全国人口普查数据显示,北京65岁以上人口占达13.3%,人口 老龄化现象明显。面对此问题,可采取的措施有( ) ①延迟退休 ②完善养老保障体系 ③推迟结婚生育年龄 ④计划生育,实施“三孩”政策 A.①②③ B.①②④ C.①③④ D.②③④ (2024·海南·中考真题)读图为“世界人口增长示意图”,完成下面小题。 27.世界人口达到80亿的年份是( ) A.1987年 B.1999年 C.2011年 D.2022年 28.图示时间段世界人口增长特点是( ) A.持续增长 B.保持不变 C.匀速增长 D.减速增长 (2024·海南·中考真题)读表,完成下面小题。 不同年份中国城镇人口与农村人口比重 年份 1970年 2010年 2023年 农村人口比重 82.62% 50.05% 33.84% 城镇人口比重 17.38% 49.95% 66.16% 29.据表可知,我国( ) A.农村人口比重越来越大 B.1970年城镇人口比农村人口多 C.城镇人口比重不断增大 D.2023年农村人口比城镇人口多 15关注公众号:陆陆高分冲刺 ~领取:最新版“小中高考-总复习”、最新试卷下载 30.我国城乡人口比重发生变化的首要原因是( ) A.农村基础设施完善 B.农村耕地面积扩大 C.城市空气质量优良 D.我国经济 快速发展 (2024·山东东营·中考真题)下图示意我国2015~2022年人口自然增长率变化情况。读图,完成下 面小题。 31.关于2015~2022年我国人口数量特征的描述正确的是( ) A.2016年人口总数最多 B.2022年人口总数最少 C.2017年起人口总量逐年减少 D.2016年起人口增速逐年下降 32.针对上图反映的我国人口现状,应采取的措施是( ) A.鼓励乡村人口大量迁移到城市 B.停止实行计划生育政策 C.积极尝试人工智能养老服务 D.大力发展劳动密集型产业 【重难点4我国民族文化及分布】 33.(2024·西藏·中考真题)我国56个民族组成了统一和谐的中华民族大家庭,各民族都有自己的文化特 色。下列我国民族与其传统节日对应不正确的是( ) A.苗族—苗年 B.汉族—元宵节 C.傣族—泼水节 D.蒙古族—雪顿节 34.(2024·黑龙江·中考真题)我国是一个多民族的国家,少数民族主要分布在( ) A.西南、西北、东北 B.东南、东北、西北 C.东北、东南、西南 D.西北、西南、东南 (2024·黑龙江·中考真题)读我国四个省区轮廓图,完成下面小题。 35.以上四省区轮廓、简称、行政中心对应正确的是( ) A.①—滇—成都 B.②—新—乌鲁木齐 16关注公众号:陆陆高分冲刺 ~领取:最新版“小中高考-总复习”、最新试卷下载 C.③—湘—武汉 D.④—秦—太原 36.以上四省区中少数民族最多的是( ) A.① B.② C.③ D.④ (2024·四川宜宾·中考真题)2023年10月19日,我国江西省篁岭村成功入选联合国世界旅游组织 “最佳旅游乡村”名单。篁岭村房屋错落排布在落差近百米的山坡上,以木质结构为主,屋顶坡度大。下 图为篁岭村房屋建筑景观图。据此完成下面小题。 37.篁岭村位于( ) A.东北平原 B.黄土高原 C.塔里木盆地 D.东南丘陵 38.篁岭村房屋屋顶坡度大,是因为该地( ) A.春季风沙大,利于防风 B.夏季光照强,利于遮阳 C.夏秋降水多,利于排水 D.冬季气温低,利于保暖 39.端午节前后,游客在篁岭村最可能( ) A.体验赛龙舟、包粽子 B.参加那达慕大会 C.参与跳芦笙、赛歌 D.观看赛牦牛表演 40.(2023·西藏·中考真题)在中国入选世界非物质文化遗产名录的项目中,有很多少数民族文化的杰出 代表,著名的《格萨尔王传》是世界上最长的一部英雄史诗,它反映了某个民族悠久灿烂的文化。该民族 是( ) A.壮族 B.傣族 C.侗族 D.藏族 (2023·辽宁营口·中考真题)民族传统节日是中华优秀传统文化的重要组成部分。读图,完成下面小 题。 17关注公众号:陆陆高分冲刺 ~领取:最新版“小中高考-总复习”、最新试卷下载 41.蒙古族欢度的传统节日是( ) A.那达慕节 B.元宵节 C.雪顿节 D.泼水节 42.欢度雪顿节的少数民族,其聚居地的典型特征为( ) A.沙漠广布 B.鱼米之乡 C.白山黑水 D.雪域高原 第二部分 创新练 (新情境)中国山水画常以自然景观为主要描绘对象。右图示意我国宋代著名的山水花鸟画《寒鸦 图》,图中描绘的是我国某地冬日雪后塘林木间群鸦翔集鸣噪的景象。读图,完成下面小题。 1.《寒鸦图》中描绘的景象最有可能出现在我国的( ) A.热带地区 B.北温带地区 C.南温带地区 D.寒带地区 2.《寒鸦图》描绘地区的气温曲线和降水量柱状图最可能是( ) A. B. 18关注公众号:陆陆高分冲刺 ~领取:最新版“小中高考-总复习”、最新试卷下载 C. D. (新考法)黑河—腾冲线是我国人口地理分界线。下面为中国人口分布图。读图,完成下面小题。 3.我国人口的空间分布特征是( ) A.南多北少 B.东多西少 C.西南多东北少 D.西北多东南少 4.西藏自治区人口密度小于10人/km2,主要原因是( ) A.地震频繁 B.气候湿热 C.交通便利 D.高寒缺氧 (新情境)区域之间的分界线并非真正的“线”,而是具有一定宽度的过渡区域,因此描述为“分 界带”更为准确。图为“我国南北分界带分布示意图(阴影部分)”。读图,完成下面小题。 5.该分界带大致经过( ) A.黑河—腾冲一线 B.大兴安岭—阴山—贺兰山一线 19关注公众号:陆陆高分冲刺 ~领取:最新版“小中高考-总复习”、最新试卷下载 C.秦岭—淮河一线 D.昆仑山—祁连山—贺兰山一线 6.图中①②③④四个省级行政区,下列关于各地的名称和位置区域,连接正确的是( ) A.①—赣—江西省—青藏地区 B.②—鲁—山东省—北方地区 C.③—渝—四川省—西北地区 D.④—冀—河南省—南方地区 7.关于图中分界线南北两侧地理特征的叙述,正确的是( ) A.该线以北的河流没有结冰期 B.该线以南的农作物一年一熟 C.该线以北的地形多丘陵和山地 D.该线以南盛产柑橘、甘蔗等水果 (新考法)在人口老龄化过程中,许多国家普遍表现紫鹊界梯田出农村人口老龄化程度高于城市的 特点。即“城乡倒置”现象。据此读我国未来2001~2100年城乡人口老龄化发展趋势图,完成下面小题。 8.目前,我国人口老龄化出现“城乡倒置”的主要原因是( ) A.农村青壮年人口大量外迁 B.城市的人口死亡率高于农村 C.农村环境好,人口寿命长 D.城市老年人口大量迁入农村 9.我国人口老龄化“城乡倒置”现象消失大约在( ) A.2020年 B.2045年 C.2060年 D.2075年 (新考法)读图“我国城市群空间分布示意图”和右图“我国主要机器人企业地区分布统计图”, 完成下面小题。 20关注公众号:陆陆高分冲刺 ~领取:最新版“小中高考-总复习”、最新试卷下载 10.我国城市群空间分布特点是( ) A.成熟型城市群分布在秦岭以北地区 B.成长型城市群分布在沿海地区 C.培育型城市群分布在地势第二级阶梯 D.主要分布在人口分界线以东地区 11.丙城市群所在的省区( ) A.地形类型单一 B.地广人稀 C.多外流河 D.与内蒙古相邻 (新情境)中央气象台2024年7月26日发布台风“格美”路径图。读图完成下面小题。 12.台风主要影响我国的( ) A.青藏地区 B.西北地区 21关注公众号:陆陆高分冲刺 ~领取:最新版“小中高考-总复习”、最新试卷下载 C.东南沿海地区 D.北方地区 13.“格美”台风登陆后,台风中心经过的A、B省区是( ) A.湖南、江西 B.福建、江西 C.浙江、江西 D.湖南、湖北 14.台风是灾害性天气,带来的危害有( ) ①带来强降水,引发洪涝灾害②在山区,可能诱发滑坡和泥石流③引起寒潮,带来降温④台风外围区带来 降水,可缓解高温和旱情⑤带来强风,刮倒树木 A.①②③ B.③④⑤ C.①②⑤ D.①③④ (新情境)银发浪潮是指随着人口老龄化不断增加所形成的一种社会现象。这种现象对社会多个领 域提出了新的挑战,2020年起多所高等院校陆续开设养老相关专业。下图为我国60岁及以上人口占总人 口的比重趋势图(含预测),据此完成下面小题。 15.“银发浪潮”反映出我国面临的人口问题是( ) A.人口基数大 B.人口分布不均 C.人口老龄化加剧 D.人口男女比例不合理 16.高校开设养老服务专业有利于( ) ①为就业方向提供更多可能②促进社会的和谐稳定 ③提升“银发”群体的幸福指数④扭转我国的人口发展趋势 A.①②③ B.①②④ C.①③④ D.②③④ 17.下列有利于应对“银发浪潮”的措施是( ) A.提前退休 B.完善社会养老体系 C.调节男女比例 D.降低人口出生率 (新情境)《2025年中央广播电视总台春节联欢晚会》设北京主会场和重庆、湖北武汉、西藏拉萨、 江苏无锡四个分会场,下图为春节联欢晚会转播画面,据此完成下面小题。 22关注公众号:陆陆高分冲刺 ~领取:最新版“小中高考-总复习”、最新试卷下载 18.四大会场中,行政级别属于直辖市的是( ) A.武汉 B.无锡 C.拉萨 D.重庆 19.当电视直播出现图1的画面,其会场位于( ) A.北京 B.重庆 C.武汉 D.拉萨 20.下列最有可能在如图所在地区举行的活动是( ) A. 赛龙舟 B. 泼水节 C. 雪顿节 D. 那达慕大会 (新情境)棉花是喜温耐旱的作物,对热量和光照的要求比较高。我国盛产棉花,是世界上棉花产 量最高的国家。读2023年我国棉花产量的五省区示意图,完成下面小题。 23关注公众号:陆陆高分冲刺 ~领取:最新版“小中高考-总复习”、最新试卷下载 21.我国主要产棉区与其简称、行政中心对应正确的是( ) A.①—湘—南昌 B.⑤—新—乌鲁木齐 C.③—皖—武汉 D.④—宁—银川 22.“世界棉花看中国,中国棉花看新疆。”新疆棉花产量远高于其他四省的原因是( ) A.气候湿润、降水丰富 B.黑土广布,土地肥沃 C.晴天多,光照强 D.河流广布,水源充足 二、解答题 (新情境)23.阅读材料,回答下列问题。 材料一:我国新能源汽车产销量已连续多年居世界第一。下表为传统燃油汽车与新能源汽车数据对 比。 二氧化碳 燃料费用 续航里程 加油/充电时间 我国2023年产 排放量对 (元/千米) (千米) (分钟) 量(万辆) 比 燃油 4 0.6-0.8 约900 3-5 1404.3 汽车 新能 源汽 1 0.1-0.3 约400 快充30—60 958.7 车 材料二:如图为2023年我国各省级行政区新能源汽车销量统计图。 24关注公众号:陆陆高分冲刺 ~领取:最新版“小中高考-总复习”、最新试卷下载 (1)“节能环保智能高端”的新能源汽车产业具有鲜明的 (传统/高新技术)产业的特征,该类产业分布 的主要影响因素是 。 (2)中国人口地理分界线是图中位于 省的黑河与 省的腾冲一线。比较该线东西两侧,东侧新能源汽 车销量较高,说明 数量的多少,对汽车销售市场的规模影响较大。 (3)新能源汽车销量最高的两个省级行政区分别是 省和广东省。这两省的地区生产总值(GDP)均位于 全国前列,体现出 发展水平的高低,对汽车销售市场的规模影响也较大。 (4)分析新能源汽车与传统燃油汽车相比所具备的优势 : (5)请为进一步推广新能源汽车提出建议。 。 (新情境)24.阅读图文材料,完成下列各题。 2024年8月29日是我国第21个测绘法宣传日,了解、认知国家版图,树立国家版图意识是每一位 中国公民应尽的义务和责任。党的十九大报告指出了“坚持陆海统筹,加快建设海洋强国”的发展目标, 海域不仅是我国重要的贸易通道,拥有丰富的水产资源、油气和矿产资源等,同时还具有重要的军事战略 地位。某校地理兴趣小组举行了以“一点一线皆山河”为主题的探究活动,探究中国的疆域及海洋权益的 维护。 25关注公众号:陆陆高分冲刺 ~领取:最新版“小中高考-总复习”、最新试卷下载 (1)请提出一个关于描述我国地理位置的问题,并写出正确的结论。 (2)作为新时代中学生,我们要有国家领土主权意识,了解祖国的疆域范围。请你写出我国领土最西端和最 东端所在省级行政区的全称 , 。 (3)目前,海南省三沙市管辖的西沙群岛、中沙群岛、南沙群岛都位于 海。内海的主权完全属于一个 国家,别国船只“非请勿入”,我国的内海是 和琼州海峡。钓鱼岛及其附属岛屿位于中国第一大岛 岛的东北部,自古以来就是我国的固有领土。 (4)请举例说明辽阔的海域为我国经济发展带来了哪些好处? (学科融合)25.阅读图文材料,回答下列问题。 材料一 “红军不怕远征难,万水千山只等闲。…金沙水拍云崖暖,大渡桥横铁索寒…。”毛泽东的 《七律·长征》带领我们重温长征峥嵘岁月。红军长征起点是瑞金,一路上翻山越岭,行程约二万五千里, 1936年10月,红军三大主力会师,标志着万里长征的胜利结束。 材料二 下图为红军长征路线图 26关注公众号:陆陆高分冲刺 ~领取:最新版“小中高考-总复习”、最新试卷下载 (1)遵义会议是红军长征的转折点,遵义所在的省级行政区是 省,其简称是 。 (2)“金沙水拍云崖暖”表示湍急的河水拍击着高耸的山崖。该河段位于我国地势第 、 级阶 梯交界处,地势起伏 ,水流流速 。 (学科融合)26.“青山不墨千秋画,绿水无弦万古琴”。为了青山常在,东北甲林场积极探索“从伐木 取材到生态建设的转型”之路。图示意甲林场所在省级行政区域的气温、降水和地形分布,读图完成下列 各题。 (1)该省级行政区域是 。 (2)“青山不墨”是指青翠的山岭不是笔墨丹青画出来的,而是森林为其着墨。从资源可否再生和可否更新 角度看,森林属于 资源。 (3)甲林场所在地的气候类型是 ,夏季温暖,年降水量较 ,有利于森林生长;年平均气温 ,树木生长速度慢,成材时间长。 (4)开发冰雪旅游是甲林场转型举措之一,从气候或地形角度简要分析甲林场发展冰雪旅游的优势 。 (新情境)27.众多的“驴友”游遍大江南北,感受我国各少数民族的风土人情。他们在网上分享沿途见 闻。下面是一位网名叫“驴行天下”的“驴友”提供的履行路线图及其旅行途中拍摄的照片。读图,完成 下列问题。 27关注公众号:陆陆高分冲刺 ~领取:最新版“小中高考-总复习”、最新试卷下载 (1)该“驴友”在路线1中将自己的感受发到了网上,但其中出现了一些错误。请你从中挑出两处错误,按 照示例的格式把错误原文抄写在横线上。 今天我们来到我国维吾尔族的主要聚居区,当地少数民族以苗族为主,人们身着袍或旗袍,热情接 待着八方来宾。当天正好赶上当地的少数民族节日,人们喜气洋洋,欢度着自己的节日。我们还观看了精 彩的少数民族演出,有孔崔舞、葫芦丝演奏等。一天下来,活动内容丰富多彩,真是令人难忘! 示例:当地少数民族以苗族为主。 错误1: ;错误2: (2)该“驴友”在路线2中某地拍摄了两幅照片,由图片可知,该地区主要的少数民族的民族服饰是 。 (3)路线3中“天苍苍,野茫茫,风吹草低见牛羊”描述的是 (少数民族)生活地区的景观。 (4)路线4中“驴友”来到了我国领土的最北端,其位于 省。 28