当前位置:首页>文档>强化练42垂直地域分异规律_9.2025地理总复习_2025年新高考资料_一轮复习_2025年高考地理一轮复习强化练(课件+文档)(完结)

强化练42垂直地域分异规律_9.2025地理总复习_2025年新高考资料_一轮复习_2025年高考地理一轮复习强化练(课件+文档)(完结)

  • 2026-04-02 15:38:34 2026-03-13 01:21:18

文档预览

强化练42垂直地域分异规律_9.2025地理总复习_2025年新高考资料_一轮复习_2025年高考地理一轮复习强化练(课件+文档)(完结)
强化练42垂直地域分异规律_9.2025地理总复习_2025年新高考资料_一轮复习_2025年高考地理一轮复习强化练(课件+文档)(完结)
强化练42垂直地域分异规律_9.2025地理总复习_2025年新高考资料_一轮复习_2025年高考地理一轮复习强化练(课件+文档)(完结)
强化练42垂直地域分异规律_9.2025地理总复习_2025年新高考资料_一轮复习_2025年高考地理一轮复习强化练(课件+文档)(完结)

文档信息

文档格式
doc
文档大小
0.169 MB
文档页数
4 页
上传时间
2026-03-13 01:21:18

文档内容

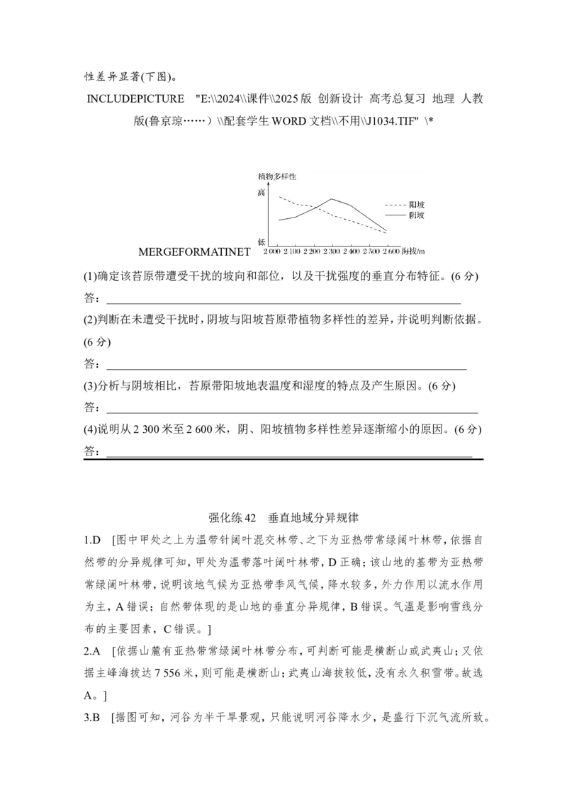
强化练 42 垂直地域分异规律 (2024·河北石家庄检测)下图是我国某山东坡的垂直自然带谱。据此完成1~3题。 INCLUDEPICTURE "E:\\2024\\课件\\2025版 创新设计 高考总复习 地理 人教 版(鲁京琼……)\\配套学生WORD文档\\不用\\J1032.TIF" \* MERGEFORMATINET 1.有关该区域的叙述,正确的是( ) A.外力作用以风力作用为主 B.自然带体现由赤道到两极的地域分异规律 C.影响雪线分布的主要因素是坡度 D.甲处的自然带为温带落叶阔叶林带 2.该山地可能位于( ) A.横断山 B.天山 C.武夷山 D.大兴安岭 3.形成图中河谷半干旱景观的主要原因是( ) A.受东南信风影响 B.盛行下沉气流 C.盛行上升气流 D.受西北季风影响 (2024·云南昆明模拟)青藏高原的强烈隆升对我国西部地区自然环境地域分异的影 响明显,高原山地垂直带谱类型(如图)的分布模式解释了其自然带景观的地带分异,形成独特的自然带地域格局,呈现同心弧状(由东南暖湿向西北寒冷干旱的递 变趋势)。据此完成4~5题。 INCLUDEPICTURE "E:\\2024\\课件\\2025版 创新设计 高考总复习 地理 人教 版(鲁京琼……)\\配套学生WORD文档\\不用\\J1033.TIF" \* MERGEFORMATINET 4.青藏高原从内部到边缘山地的地域分异规律的表现为( ) A.带谱由繁到简 B.带谱数目增多 C.植被种类减少 D.降水逐渐减少 5.青藏高原地域分异在空间上呈“同心弧状”的分布态势,其主要影响因素是( ) A.大气环流 B.纬度 C.太阳辐射 D.海拔 6.(全国卷Ⅰ)阅读图文资料,完成下列要求。(24分) 山地垂直带内部的分异规律,日益为地理学研究所重视。在山地苔原带,植物多样 性存在随海拔升高呈单峰变化的规律;在山地苔原带下部,少数植物种类通过种 间竞争获得优势,植物多样性较低;随着海拔升高,环境压力变大,种间竞争减弱, 植物多样性升高;在更高海拔区域,适宜生存的植物种类减少。地理科考队调查某 山峰的苔原带(海拔2 000~2 600米)时发现,该苔原带部分地区存在干扰,导致优 势植物数量减少,植物多样性异常;阴、阳坡降水量与坡度差别不大,但植物多样性差异显著(下图)。 INCLUDEPICTURE "E:\\2024\\课件\\2025版 创新设计 高考总复习 地理 人教 版(鲁京琼……)\\配套学生WORD文档\\不用\\J1034.TIF" \* MERGEFORMATINET (1)确定该苔原带遭受干扰的坡向和部位,以及干扰强度的垂直分布特征。(6分) 答:______________________________________________________________ (2)判断在未遭受干扰时,阴坡与阳坡苔原带植物多样性的差异,并说明判断依据。 (6分) 答:_______________________________________________________________ (3)分析与阴坡相比,苔原带阳坡地表温度和湿度的特点及产生原因。(6分) 答:_________________________________________________________________ (4)说明从2 300米至2 600米,阴、阳坡植物多样性差异逐渐缩小的原因。(6分) 答:________________________________________________________________ 强化练42 垂直地域分异规律 1.D [图中甲处之上为温带针阔叶混交林带、之下为亚热带常绿阔叶林带,依据自 然带的分异规律可知,甲处为温带落叶阔叶林带,D正确;该山地的基带为亚热带 常绿阔叶林带,说明该地气候为亚热带季风气候,降水较多,外力作用以流水作用 为主,A错误;自然带体现的是山地的垂直分异规律,B错误。气温是影响雪线分 布的主要因素,C错误。] 2.A [依据山麓有亚热带常绿阔叶林带分布,可判断可能是横断山或武夷山;又依 据主峰海拔达7 556米,则可能是横断山;武夷山海拔较低,没有永久积雪带。故选 A。] 3.B [据图可知,河谷为半干旱景观,只能说明河谷降水少,是盛行下沉气流所致。故选B。] 4.B [根据题干可知,青藏高原山系垂直自然带受温度和水分等因素的影响,从高 原内部到边缘山地,带谱由简到繁,带谱数目逐渐增多,故A错误,B正确;由于该 地内部较干旱,以荒漠为主,而高原边缘因处于季风性带谱系统,水分较多,从内 部到边缘,降水逐渐增多,植被从荒漠向森林过渡,故C、D错误。] 5.D [青藏高原地域分异在空间上呈现东南—西北走向的同心弧状,是因其海拔 不同导致呈现同心分布态势,D正确;大气环流对青藏高原东南影响显著,受其影 响不会呈同心弧状,A错误;受纬度影响呈现带状,B错误;受太阳辐射影响呈现 带状,C错误。] 6.(1)遭受干扰的坡向和部位:阳坡,苔原带的下部(中下部,2 000~2 300米左右)。 干扰强度分布特征:随海拔升高而降低(海拔越低,干扰越强烈)。 (2)(未遭受干扰时)阴坡较阳坡植物多样性高。 依据:(按单峰变化规律)阳坡苔原带的植物多样性最高值应在中部(2 300米左右), 低于阴坡最高值。 (3)特点:阳坡地表温度高,湿度低(水分条件差)。 原因:阳坡太阳辐射强,地表温度高,蒸发强度大;阳坡融雪早,蒸发历时长。 (4)随着海拔升高,阴、阳坡面积减小,坡面差异对植物多样性的影响减弱;阴、阳 坡相互影响(水分、热量交换作用)增强。 解析 第(1)题,按照材料中揭示的山地垂直带内部的分异规律,在山地苔原带,植 物多样性随海拔升高呈单峰变化规律。可发现阴坡符合这一规律,而阳坡在2 000 ~2 300米范围内,植物多样性出现异常,未按规律呈现多样性增加的特点。第(2) 题,材料揭示该苔原带仅部分地区存在干扰,导致优势植物数量减少。这“部分地 区”是指阳坡苔原带下部。而中部和上部并未受干扰的情况下,植物多样性明显 少于阴坡。第(3)题,阳坡太阳辐射强,热量足,气温高于阴坡,蒸发量大。材料中告 知阴、阳坡降水量差别不大,而湿度主要取决于蒸发量的多少,所以阳坡湿度小于 阴坡。第(4)题,阴、阳坡植物多样性差异随海拔升高缩小,说明自然条件的差别变 小。主要原因在于海拔越高,阴、阳坡面积减小,阴、阳坡水热差异变小,对植物多 样性的影响减弱。