当前位置:首页>文档>第1部分专题3考点2 河流_9.2025地理总复习_2023年新高考复习资料_二轮复习_2023年高考地理二轮复习讲义+课件(新高考版)_2023年高考地理二轮复习讲义(新高考版)_学生版

第1部分专题3考点2 河流_9.2025地理总复习_2023年新高考复习资料_二轮复习_2023年高考地理二轮复习讲义+课件(新高考版)_2023年高考地理二轮复习讲义(新高考版)_学生版

  • 2026-04-16 03:03:54 2026-03-13 08:38:53

文档预览

第1部分专题3考点2 河流_9.2025地理总复习_2023年新高考复习资料_二轮复习_2023年高考地理二轮复习讲义+课件(新高考版)_2023年高考地理二轮复习讲义(新高考版)_学生版
第1部分专题3考点2 河流_9.2025地理总复习_2023年新高考复习资料_二轮复习_2023年高考地理二轮复习讲义+课件(新高考版)_2023年高考地理二轮复习讲义(新高考版)_学生版
第1部分专题3考点2 河流_9.2025地理总复习_2023年新高考复习资料_二轮复习_2023年高考地理二轮复习讲义+课件(新高考版)_2023年高考地理二轮复习讲义(新高考版)_学生版
第1部分专题3考点2 河流_9.2025地理总复习_2023年新高考复习资料_二轮复习_2023年高考地理二轮复习讲义+课件(新高考版)_2023年高考地理二轮复习讲义(新高考版)_学生版
第1部分专题3考点2 河流_9.2025地理总复习_2023年新高考复习资料_二轮复习_2023年高考地理二轮复习讲义+课件(新高考版)_2023年高考地理二轮复习讲义(新高考版)_学生版

文档信息

文档格式
docx
文档大小
0.442 MB
文档页数
5 页
上传时间
2026-03-13 08:38:53

文档内容

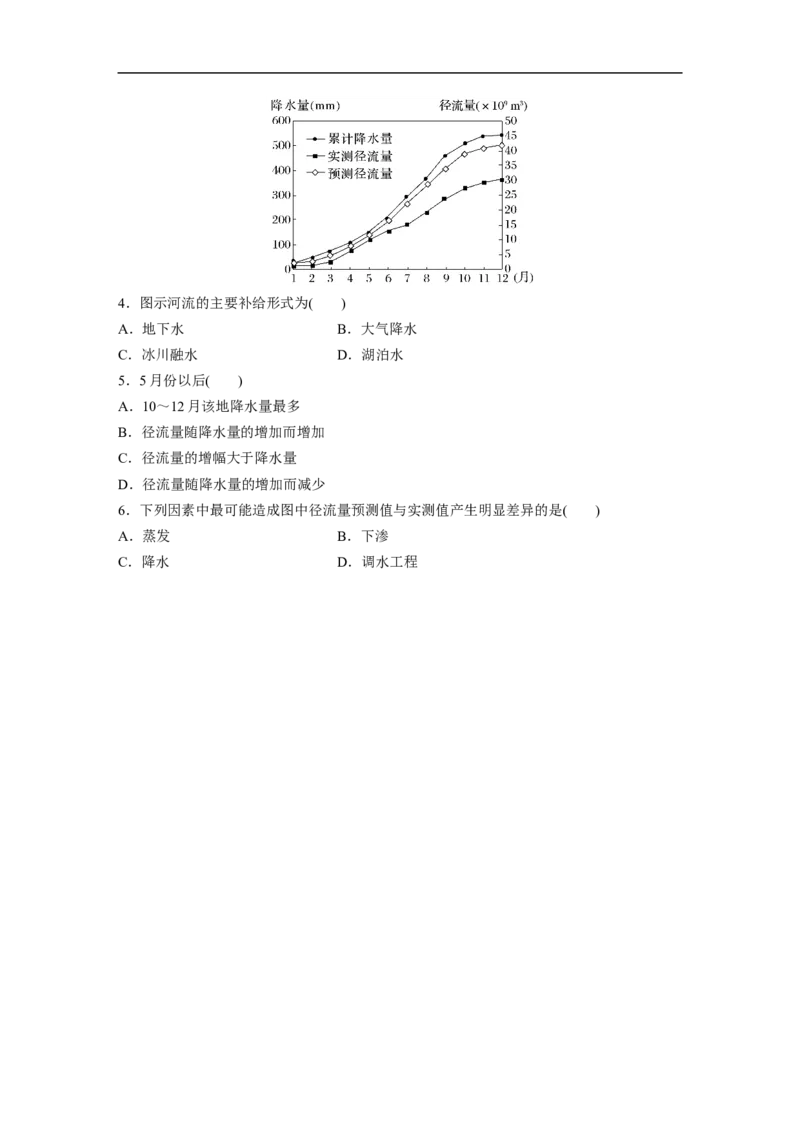
考点 2 河流 (2022·全国文综乙)下图显示黄河桃花峪附近花园口水文站监测的1958年7月、1996年 8月两次洪水过程的水位与流量的关系。读图,完成1~2题。 1.1958年7月洪水过程中,图中O、P两点水位变化趋势及两点流速相比( ) A.O点水位上涨,流速较快 B.O点水位回落,流速较慢 C.P点水位上涨,流速较慢 D.P点水位回落,流速较快 2.图示资料表明,1996年8月比1958年7月( ) A.洪水含沙量大 B.洪峰水位低 C.河床高 D.洪峰流量大 [关键能力] 获取和解读地理信息的能力 获取信息 解读信息 黄河桃花峪附近 黄河中下游的分界线,黄河下游是地上河,流水的________ 文字 花园口水文站 作用显著 信息 1958年7月、 月份是7月和8月,都是雨季,黄河的丰水期,流量 1996年8月 ______,泥沙含量______ ①年份晚,水位________,说明河床淤积抬升。河床的抬升 是多次洪水过程抬升积累的结果,所以每次洪水过程之后, 随着洪水退去,流速会降低,泥沙淤积,河床会有一定的抬 图像 升。 两条洪水过程线 信息 ②水位上涨期间的洪水来势凶猛,流速______,水位逐渐 ________,来水流量越大对应的水位越________;洪峰过 后,洪水开始回落,流量逐渐________,水位也逐渐回落, 流量越小对应的水位越________。③所以O点是来水,水位________,流速快;P点是退水, 水位被已经淤积的河床抬高,流速减慢 [设问分析] 在看懂图像的基础上,理解洪水是先水位________、到达峰值、最后逐渐 第1题 ________的过程 对黄河河床来说,泥沙________是常态,时间越久河床越高;1996年的行 第2题 洪过程显示,水量很少、水位却很______,推知根源在于河床高 答案 1.________ 2.________ 1.河流补给类型的判断 (1)依据河流所在地区判断 地区(我国) 补给类型 东部季风区 河流以大气降水补给为主 西北干旱、半干旱区 降水稀少,河流以高山冰雪融水补给为主 长江、黄河源头地区 气候高寒,河流以冰川融水补给为主 冬季寒冷,降雪多,春汛是季节性积雪融水补给形成的; 东北地区 夏季高温多雨,夏汛是大气降水补给形成的 (2)依据径流变化过程判断 ①径流的变化随降水变化而变化的河流以大气降水补给为主。 ②径流的变化随气温变化而变化的河流以冰雪融水补给为主。 ③径流常年较为稳定、平缓,一般多以地下水补给为主。 ④湖泊对河流径流具有调节作用,使径流季节变化较小。 2.河流的特征 (1)河流的水文特征 ①水文特征要素及影响因素 水文特征要素 特征 影响因素 流量大或小,流 以大气降水补给为主的河流,由降水量多少决 流量 量季节变化大或 定;流域面积大,一般流量大;流量季节变化由 小 补给类型决定 取决于河流的补给类型:以大气降水补给为主的 水位高或低,水 水位及其 河流,水位变化由降水特点决定; 位变化大或小(汛 变化(汛期) 以冰雪融水补给为主的河流,水位变化由气温变 期长或短) 化决定 流速 快或慢 取决于河道地势落差状况与流域内植被状况、地形坡度、地面物质结构及 含沙量 大或小 降水强度等有关 最冷月均温>0 ℃,无结冰期;最冷月均温<0 结冰期 有或无,长或短 ℃,有结冰期 发生凌汛必须具备两个条件:有结冰期;有由较 凌汛 有或无 低纬度流向较高纬度的河段 ②人类活动对河流水文特征的影响 人类活动 对河流水文特征的影响 破坏植被 地表径流量增加,使河流水位陡涨陡落;含沙量增加 植树种草 地表径流量减少,使河流水位升降缓慢;含沙量减少 硬化城市路面 增加地表径流,使河流水位陡涨陡落 铺设渗水砖 减少地表径流,增加地下径流,河流水位平稳 修建水库 对径流量有调节作用,使河流水位平稳;减少水库以下河段河流含沙量 围湖造田 湖泊对河流径流的调节作用减弱,河流水位陡涨陡落 (2)河流的水系特征 考向1 通过“河流的水文、水系特征”考查“综合思维” (2022·湖北武汉调研)青弋江发源于安徽黄山北麓。在地质历史时期,黄山北麓洪积扇 上辫状水系发育,后因该区环境发生显著变化,其中一条辫状河下切作用增强,其他辫状河 逐渐萎缩或消亡,最终形成青弋江。青弋江径流季节变化大,历史上洪涝灾害不断。21世 纪以来,下游地区径流季节分配趋于均匀。图1示意青弋江流域,图2示意源于洪积扇辫状 河的青弋江发育过程。据此完成1~3题。1.图2所示青弋江发育过程由早到晚的顺序依次是( ) A.②①④③ B.③①④② C.②④①③ D.③④①② 2.驱动青弋江发育的主要原因是( ) ①地壳抬升 ②气温升高 ③海平面上升 ④降水量增加 A.①② B.①④ C.②③ D.③④ 3.21世纪以来,青弋江下游径流过程发生明显变化主要是因为( ) ①流域内降水季节分配较均匀 ②上游水库调节水量作用增强 ③流域内森林覆盖率大大提 高 ④沿岸地区生产生活用水量增加 A.①② B.①④ C.②③ D.③④ 考向2 通过“河流补给类型的判读”考查“区域认知” (2022·山西吕梁模拟)下图为“我国东部某城市河流下游某水文站累计降水量和累计径 流量年内变化过程曲线图”。据此完成4~6题。4.图示河流的主要补给形式为( ) A.地下水 B.大气降水 C.冰川融水 D.湖泊水 5.5月份以后( ) A.10~12月该地降水量最多 B.径流量随降水量的增加而增加 C.径流量的增幅大于降水量 D.径流量随降水量的增加而减少 6.下列因素中最可能造成图中径流量预测值与实测值产生明显差异的是( ) A.蒸发 B.下渗 C.降水 D.调水工程