当前位置:首页>文档>第五章 第3讲 训练33 海岸地貌与冰川地貌_9.2025地理总复习_2025年新高考资料_一轮复习_2025高考大一轮复习讲义+练习(完结)_2025高考大一轮复习地理(人教版)_2025一轮复习87练

第五章 第3讲 训练33 海岸地貌与冰川地貌_9.2025地理总复习_2025年新高考资料_一轮复习_2025高考大一轮复习讲义+练习(完结)_2025高考大一轮复习地理(人教版)_2025一轮复习87练

  • 2026-04-03 06:26:12 2026-03-14 03:05:03

文档预览

第五章 第3讲 训练33 海岸地貌与冰川地貌_9.2025地理总复习_2025年新高考资料_一轮复习_2025高考大一轮复习讲义+练习(完结)_2025高考大一轮复习地理(人教版)_2025一轮复习87练
第五章 第3讲 训练33 海岸地貌与冰川地貌_9.2025地理总复习_2025年新高考资料_一轮复习_2025高考大一轮复习讲义+练习(完结)_2025高考大一轮复习地理(人教版)_2025一轮复习87练
第五章 第3讲 训练33 海岸地貌与冰川地貌_9.2025地理总复习_2025年新高考资料_一轮复习_2025高考大一轮复习讲义+练习(完结)_2025高考大一轮复习地理(人教版)_2025一轮复习87练
第五章 第3讲 训练33 海岸地貌与冰川地貌_9.2025地理总复习_2025年新高考资料_一轮复习_2025高考大一轮复习讲义+练习(完结)_2025高考大一轮复习地理(人教版)_2025一轮复习87练

文档信息

文档格式
docx
文档大小
1.880 MB
文档页数
4 页
上传时间
2026-03-14 03:05:03

文档内容

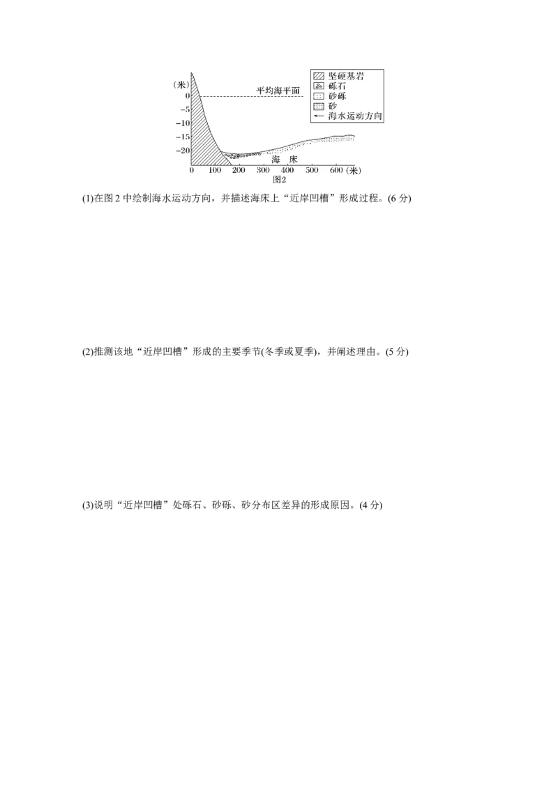
训练 33 海岸地貌与冰川地貌 (2023·江苏徐州期末)锡瓦什湾位于亚速海西部(下图),大部分水体深度在0.5~1米,有 沙嘴(从陆地凸入海中的狭长沙滩)与亚速海相隔。亚速海夏季盛行偏南风,冬季盛行偏北风。 据此完成1~3题。 1.沙嘴的物质主要来源于( ) A.亚速海的海底 B.亚速海沿岸河流 C.锡瓦什湾海底 D.亚速海沿岸沙地 2.影响沙嘴走向的因素是( ) ①海底地形 ②河流分布 ③海流流向 ④大陆轮廓 ⑤盛行风向 A.①②③ B.③④⑤ C.①③④ D.①③⑤ 3.沙嘴增长最快的季节及原因是( ) A.春季,陆上风沙较大 B.夏季,偏南风降低海流流速 C.秋季,河流流速减小 D.冬季,偏北风增大海流速度 (2023·安徽合肥模拟)“潮汐树”是潮水在上涨、回落过程中对海滩侵蚀形成的一种潮间 带地貌。从天空俯瞰,一条条潮沟犹如生长在潮间带上的参天大树,主干朝向大海,枝杈朝 向陆地。如图是2023年10月14日某摄影爱好者在钱塘江入海口拍摄的“潮汐树”照片。 据此完成4~5题。 4.图中“潮汐树”所在的海滩属于( ) A.流水侵蚀地貌 B.流水堆积地貌C.海水侵蚀地貌 D.海水堆积地貌 5.对图中“潮汐树”潮沟的形成解释合理的是( ) A.涨潮水流速度慢,侵蚀作用强 B.涨潮水流速度慢,堆积作用强 C.退潮水流速度快,侵蚀作用强 D.退潮水流速度快,堆积作用强 冰碛丘陵是指冰川消融后,由冰碛碎屑物汇合形成的起伏不平的地表形态。地处我国青 藏高原东南部的波堆藏布谷地分布有面积较大的冰碛丘陵(图1)。图2为“冰碛丘陵形成过 程示意图”。死冰是指冰川前端断开并脱离冰川的部分。读图,完成6~7题。 6.下列排序正确反映冰碛丘陵形成过程的是( ) A.①②③④⑤⑥ B.①②③④⑥⑤ C.①②④③⑤⑥ D.①②④③⑥⑤ 7.图中( ) A.地貌景观由冰川侵蚀作用形成 B.碎屑物由粒径不同的碎石和岩屑组成 C.地势起伏大导致死冰消融量差异 D.冰碛丘陵物质由粗到细分异显著 (2024·山东德州期末)冰川漂砾是由冰川搬运并在距发源地一定距离的地方堆积的巨砾, 一般来自高山冰川的上段。下图为“贡嘎山海螺沟冰川剖面示意图”。据此完成8~9题。8.冰川漂砾形成的主要条件包括( ) ①陡直的山体 ②松散的地表物质 ③频繁的雪崩、岩崩 ④频繁的地震、滑坡 ⑤冰川的 运移 A.①②③ B.①③⑤ C.②③⑤ D.③④⑤ 9.贡嘎山海螺沟的冰川漂砾最可能出现的位置和岩石类型分别是( ) A.冰舌 深色石英片岩 B.冰瀑 深色石英片岩 C.粒雪盆 似斑状花岗岩 D.现代尾碛 似斑状花岗岩 10.(2023·广西南宁诊断)阅读图文材料,完成下列要求。(15分) 海水(或海浪)对区域的侵蚀或沉积,主要与其速度相关。山东芝罘岛由坚硬基岩构成, 海岸陡峭。在岛屿西端的砾石、砂砾、砂大小混杂分布的近岸平坦海床上,形成了典型的水 下“近岸凹槽”地貌。受海水侵蚀与沉积影响,海床的表层物质不再混杂分布,离岸由近及 远处,海底表层物质颗粒依次主要为砾石、砂砾、砂。图1为芝罘岛位置示意图,图2为芝 罘岛西端近岸凹槽剖面示意图。(1)在图2中绘制海水运动方向,并描述海床上“近岸凹槽”形成过程。(6分) (2)推测该地“近岸凹槽”形成的主要季节(冬季或夏季),并阐述理由。(5分) (3)说明“近岸凹槽”处砾石、砂砾、砂分布区差异的形成原因。(4分)