当前位置:首页>文档>第一部分第三章真题专练_9.2025地理总复习_2025年新高考资料_一轮复习_2025高考大一轮复习讲义+练习(完结)_2025高考大一轮复习地理(湘教版)_一轮复习89练

第一部分第三章真题专练_9.2025地理总复习_2025年新高考资料_一轮复习_2025高考大一轮复习讲义+练习(完结)_2025高考大一轮复习地理(湘教版)_一轮复习89练

  • 2026-04-03 11:32:21 2026-03-13 23:58:37

文档预览

第一部分第三章真题专练_9.2025地理总复习_2025年新高考资料_一轮复习_2025高考大一轮复习讲义+练习(完结)_2025高考大一轮复习地理(湘教版)_一轮复习89练
第一部分第三章真题专练_9.2025地理总复习_2025年新高考资料_一轮复习_2025高考大一轮复习讲义+练习(完结)_2025高考大一轮复习地理(湘教版)_一轮复习89练
第一部分第三章真题专练_9.2025地理总复习_2025年新高考资料_一轮复习_2025高考大一轮复习讲义+练习(完结)_2025高考大一轮复习地理(湘教版)_一轮复习89练
第一部分第三章真题专练_9.2025地理总复习_2025年新高考资料_一轮复习_2025高考大一轮复习讲义+练习(完结)_2025高考大一轮复习地理(湘教版)_一轮复习89练

文档信息

文档格式
docx
文档大小
1.882 MB
文档页数
4 页
上传时间
2026-03-13 23:58:37

文档内容

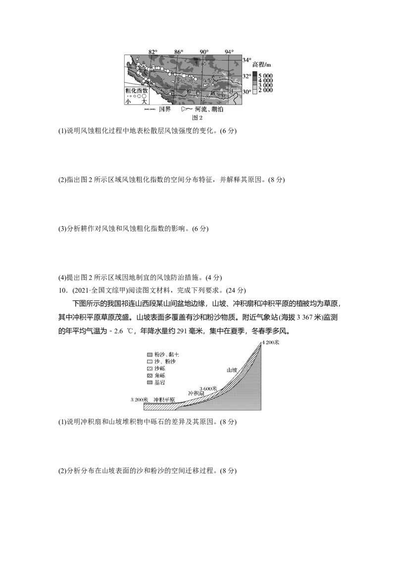
真题专练 (2023·1月浙江选考)新疆东部某雅丹地貌区,环境恶劣,被视为“畏途”。某同学随科 考人员在该地研学旅行时,拍摄了布满“小蘑菇”的残丘岩壁照片(如图所示)。完成1~2 题。 1.岩壁上“小蘑菇”形成的主要外力作用为( ) A.沉积 搬运 B.搬运 风化 C.风化 侵蚀 D.侵蚀 沉积 2.该雅丹地貌区被视为“畏途”的主要原因是( ) ①空气稀薄 ②风沙强劲 ③气候极度干旱 ④滑坡分布广 A.①② B.②③ C.③④ D.①④ (2022·海南地理)在阿尔卑斯山脉南侧某些狭窄、少风的河谷上,分布着一种独特的石顶 泥柱景观(右图)。它是由夹杂石块的堆积物在外力作用下形成的。泥柱由坚固的泥土组成, 高度多在6~30米之间,其顶端盖有一个石块,往往顶端石块越大,泥柱越高。表层无石块 覆盖的地方,泥土易受侵蚀,难以形成泥柱。据此完成3~4题。 3.石顶泥柱顶端的石块在其形成中所起的作用主要是减弱( ) A.风力侵蚀 B.流水侵蚀 C.冰川侵蚀 D.雨水侵蚀 4.最有可能破坏此地石顶泥柱景观的是( ) A.寒潮 B.地震 C.洪水 D.虫蛀 (2021·湖南地理)某河流位于内蒙古鄂尔多斯高原,自南向北流。该地冬春季节风力较大, 受风力和降水的交替影响,河道宽窄呈季节性变化。图1示意该河流中游地区。图2为“研 究区同地点某年L月和M月的河道横断面示意图”。据此完成5~6题。5.推测L月和M月可能分别是( ) A.3月、5月 B.9月、7月 C.8月、6月 D.5月、9月 6.造成M月河道南宽北窄的主要原因是( ) ①南部以流水侵蚀为主 ②南部以风力堆积为主 ③北部以风力侵蚀为主 ④北部以流水沉积为主 A.①③ B.①④ C.②③ D.②④ (海南地理)我国许多聚落名称体现了所处自然环境的特点。黄土高原地区有些聚落名为 “××川”。《现代汉语词典》解释:川地是山间或河流两边的平坦低洼的土地。据此完成 7~8题。 7.为趋利避害,这些以“川”为名的聚落选址宜( ) A.紧邻河岸以方便取水 B.接近坡地中部以方便耕作 C.靠近坡地上部以防洪水 D.远离陡坡以避崩塌、滑坡 8.在农业社会,决定这些聚落发展规模的主导条件是( ) A.河流水量 B.土壤肥力 C.川地面积 D.林木蓄积量 9.(2023·全国文综甲)阅读图文材料,完成下列要求。(24分) 风蚀粗化是风蚀导致地表松散层细颗粒物流失、粗颗粒物所占比例增加的现象,其过程 如图1所示。某科研小组通过比较地表松散层表层和浅层的粗、细颗粒物含量,构建了风蚀 粗化指数。该指数数值越大,说明表层比浅层粗颗粒物含量越高。图2显示青藏高原南部 (针对风蚀)采样点粗化指数的分布。(1)说明风蚀粗化过程中地表松散层风蚀强度的变化。(6分) (2)指出图2所示区域风蚀粗化指数的空间分布特征,并解释其原因。(8分) (3)分析耕作对风蚀和风蚀粗化指数的影响。(6分) (4)提出图2所示区域因地制宜的风蚀防治措施。(4分) 10.(2021·全国文综甲)阅读图文材料,完成下列要求。(24分) 下图所示的我国祁连山西段某山间盆地边缘,山坡、冲积扇和冲积平原的植被均为草原, 其中冲积平原草原茂盛。山坡表面多覆盖有沙和粉沙物质。附近气象站(海拔3 367米)监测 的年平均气温为-2.6 ℃,年降水量约291毫米,集中在夏季,冬春季多风。 (1)说明冲积扇和山坡堆积物中砾石的差异及其原因。(8分) (2)分析分布在山坡表面的沙和粉沙的空间迁移过程。(8分)(3)说明冲积平原水分条件比山坡和冲积扇好的原因。(8分)