当前位置:首页>文档>第一部分第六章第2讲真题专练_9.2025地理总复习_2025年新高考资料_一轮复习_2025高考大一轮复习讲义+练习(完结)_2025高考大一轮复习地理(湘教版)

第一部分第六章第2讲真题专练_9.2025地理总复习_2025年新高考资料_一轮复习_2025高考大一轮复习讲义+练习(完结)_2025高考大一轮复习地理(湘教版)

  • 2026-04-08 21:33:43 2026-03-14 00:44:45

文档预览

第一部分第六章第2讲真题专练_9.2025地理总复习_2025年新高考资料_一轮复习_2025高考大一轮复习讲义+练习(完结)_2025高考大一轮复习地理(湘教版)
第一部分第六章第2讲真题专练_9.2025地理总复习_2025年新高考资料_一轮复习_2025高考大一轮复习讲义+练习(完结)_2025高考大一轮复习地理(湘教版)
第一部分第六章第2讲真题专练_9.2025地理总复习_2025年新高考资料_一轮复习_2025高考大一轮复习讲义+练习(完结)_2025高考大一轮复习地理(湘教版)
第一部分第六章第2讲真题专练_9.2025地理总复习_2025年新高考资料_一轮复习_2025高考大一轮复习讲义+练习(完结)_2025高考大一轮复习地理(湘教版)
第一部分第六章第2讲真题专练_9.2025地理总复习_2025年新高考资料_一轮复习_2025高考大一轮复习讲义+练习(完结)_2025高考大一轮复习地理(湘教版)

文档信息

文档格式
docx
文档大小
0.223 MB
文档页数
5 页
上传时间
2026-03-14 00:44:45

文档内容

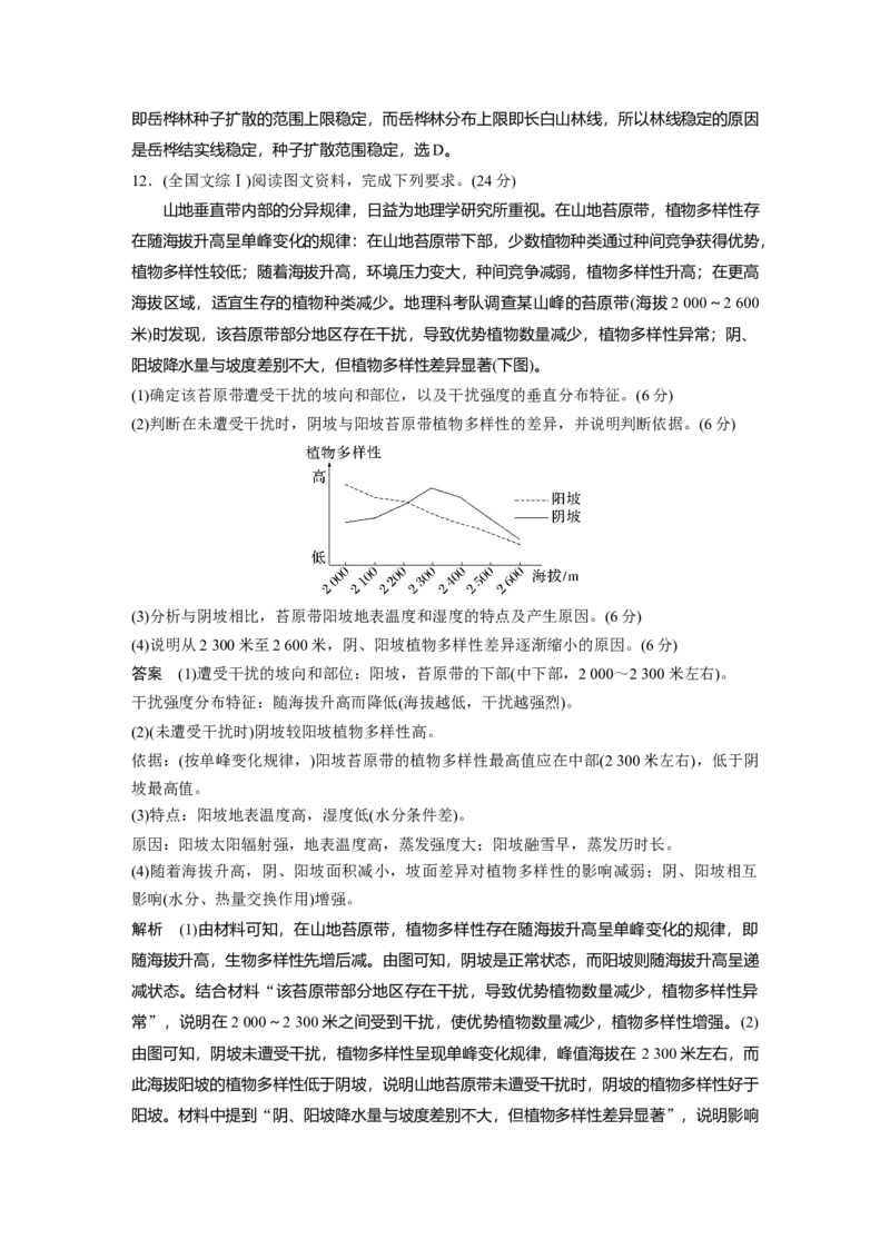
真题专练 (2021·山东地理)下图示意大兴安岭中段东坡自山顶到山麓洪积扇的植被垂直分布,图中 三类草原水分状况不同。据此完成1~2题。 1.图中三类草原的水分条件由好到差依次为( ) A.草原Ⅱ、草原Ⅰ、草原Ⅲ B.草原Ⅱ、草原Ⅲ、草原Ⅰ C.草原Ⅲ、草原Ⅰ、草原Ⅱ D.草原Ⅲ、草原Ⅱ、草原Ⅰ 2.平台到察尔森出现草原Ⅱ的主要影响因素是( ) A.东南季风 B.局地环流 C.山地坡度 D.土壤肥力 答案 1.C 2.B 解析 第1题,该地区位于大兴安岭东侧,是我国400 mm等降水量线经过的地区,东坡是 夏季东南季风的迎风坡,降水量大于400 mm,有自然森林分布。草原是生长在降水量 400 mm以下半干旱气候下的植被,图中森林以下的三处草原出现,说明下部水分条件较差。草 原Ⅰ临近森林,应是草原中水分较好的地区。草原Ⅲ位于山麓洪积扇的底部,地下水经洪积 扇顶部下渗,在扇缘集聚,是洪积扇中水分条件最好的区域,地下水几乎能出露地表,即草 原Ⅲ处的水分最优。草原Ⅱ土壤水分相对最差,选C。第2题,草原类型的差异成因在于水 分条件的差异。草原Ⅰ临近森林,海拔较高,夏季东南季风的抬升形成大量降水,可以形成 喜湿的草甸性草原;草原Ⅲ处虽然降水量不足,但有充足的地下水,也可以形成湿性草甸。 只有草原Ⅱ处水分条件最差,形成干性草原。草原Ⅱ处虽然位于东南季风的迎风坡,但因地 势较低,暖湿空气才刚刚开始抬升,尚不足以形成较多降水;冬季位于西北季风的背风坡, 顺山坡下沉的气流增温,形成焚风效应,蒸发旺盛,土壤中水分减少,故选B。 (2021·全国文综乙)苔原带植被多由低矮灌木及苔藓地衣组成,大多数灌木为极地特有种。 苔原带横跨亚欧大陆与北美大陆,呈东西向延伸,仅存在于北冰洋沿岸陆地及岛屿,宽度较小。第四纪冰期,苔原带一度扩展至我国阿尔泰山—阴山一线。其后,随着气温升高,苔 原不断向北及高海拔退却。据此完成3~5题。 3.受全球气候变暖的影响,亚欧大陆苔原带将( ) A.整体向北移动 B.整体向南移动 C.面积扩大 D.面积缩小 4.苔原带横跨亚欧大陆,表明( ) A.苔原植被对温度差异不敏感 B.亚欧大陆北部湿度东西向差异小 C.苔原植被对湿度差异不敏感 D.亚欧大陆降水北部最多 5.祁连山地针叶林带以上未发现极地特有种灌木,可能是因为祁连山地( ) A.目前针叶林带以上气温高 B.目前基带气温高 C.冰期针叶林带以上气温高 D.冰期基带气温高 答案 3.D 4.B 5.D 解析 第3题,苔原带适宜生长在冷湿环境中,全球气温升高,苔原带南缘会自南向北退缩, 面积缩小,B、C错误,D正确。因苔原带北部是北冰洋,没有进一步退缩的陆地空间,A 错。第4题,苔原带横跨亚欧大陆,东西延伸,说明亚欧大陆北部东西向自然环境差异较小。 由于苔原带会随气温升高而北移,说明气温对苔原带的分布影响大,苔原植被对温度比较敏 感,A错误。亚欧大陆北部受海洋的影响大且气温低,湿度东西向差异小,植被东西向差异 小,B正确,C错误。亚欧大陆北部受极地高压带影响,降水少,D错误。第5题,冰期时 苔原带自北向南扩展,遇到山地时会经过基带向山上扩展,如果基带气温偏高,则地面的苔 原带无法扩展到山上,所以即便是山上气温低、具备苔原植被生长的条件,山上也不会形成 苔原带,D正确。假如冰期时基带气温低,苔原植被可以经过基带扩展到山上,一旦冰期消 退,基带气温升高,但山上气温仍保持低温,则苔原带还可以继续保留在山上,故B错; 冰期时基带气温都明显降低,山上针叶林带以上气温更低,C错;目前针叶林带以上有冰雪 存在,气温低,A错误。 (全国文综Ⅲ)堪察加火山群位于环太平洋火山带的北端,气候冷湿,火山锥各坡的降水 差异小,近几十年来受全球气候变化的影响,火山锥的林线(森林分布上限)升高、雪线(终年 积雪下限)有所降低。此外,其他干扰也影响林线和雪线高度。例如,火山喷发彻底破坏原 有景观,若干年内该火山锥的林线与雪线高度往往发生显著变化。据此完成6~8题。 6.一般情况下,与阴坡相比,该地火山锥阳坡的( ) A.林线与雪线更高 B.林线与雪线更低 C.林线更高、雪线更低 D.林线更低、雪线更高7.林线升高,雪线有所降低,表明火山群所在区域气候变化趋势为( ) A.暖湿 B.暖干 C.冷湿 D.冷干 8.火山喷发后若干年内,该火山锥( ) A.林线升高,雪线升高 B.林线升高,雪线降低 C.林线降低,雪线升高 D.林线降低,雪线降低 答案 6.A 7.A 8.B 解析 第6题,据材料该地“火山锥各坡的降水差异小”,说明阴阳坡自然带主要因热量条 件而产生差异,阳坡气温高,因此阳坡林线高、雪线高,A正确。第7题,林线升高是由于 气温升高,雪线降低是由于降水增多,A正确。第8题,火山喷发会彻底破坏原有植被、冰 川等景观,若干年后逐渐恢复,森林自下而上演化,冰雪逐渐积累,雪线自上而下演化,故 选B。 (全国文综Ⅰ)岳桦林带是长白山海拔最高的森林带。岳桦林带气候寒冷,生长季短,只 有其下部的岳桦才结实(种子)。岳桦结实的海拔上限称为岳桦结实线,岳桦林分布上限即长 白山林线。监测表明,20世纪90年代以来,长白山北坡气候持续变暖,岳桦结实线基本稳 定;林线的海拔快速提升了70~80米,但近年趋于稳定。据此完成9~11题。 9.目前,长白山北坡林线附近的岳桦多为( ) A.幼树 B.中龄结实树 C.老树 D.各树龄组混生 10.推测20世纪90年代以来,长白山北坡岳桦林带( ) A.冬季升温幅度小,生长季稳定 B.冬季升温幅度大,生长季延长 C.冬季升温幅度大,生长季稳定 D.冬季升温幅度小,生长季延长 11.在气候变暖背景下,长白山北坡林线近年却趋于稳定,原因可能是( ) A.降水稳定 B.水土流失量稳定 C.土壤肥力稳定 D.岳桦结实线稳定 答案 9.A 10.C 11.D 解析 第9题,根据材料“20世纪90年代以来,长白山北坡气候持续变暖,岳桦结实线基 本稳定;林线的海拔快速提升了70~80米”,可知新增加的70~80米范围内的岳桦林显然 是才开始生长的幼树,选A。第10题,根据材料“岳桦林带气候寒冷,生长季短,只有其 下部的岳桦才结实”,可知岳桦结实线与生长季长短有关。20世纪90年代以来,长白山北 坡气候持续变暖,岳桦结实线基本稳定,说明生长季稳定;林线的海拔快速提升了 70~80 米,说明北坡冬季升温幅度大,导致林线快速上升,所以选C。第11题,在气候变暖背景 下,气温持续缓慢升高而降水稳定,则会导致长白山北坡林线继续上升,A错误;林线的高 度主要取决于气温,水土流失、土壤肥力不会影响林线变化,B、C错误;岳桦结实线稳定,即岳桦林种子扩散的范围上限稳定,而岳桦林分布上限即长白山林线,所以林线稳定的原因 是岳桦结实线稳定,种子扩散范围稳定,选D。 12.(全国文综Ⅰ)阅读图文资料,完成下列要求。(24分) 山地垂直带内部的分异规律,日益为地理学研究所重视。在山地苔原带,植物多样性存 在随海拔升高呈单峰变化的规律:在山地苔原带下部,少数植物种类通过种间竞争获得优势, 植物多样性较低;随着海拔升高,环境压力变大,种间竞争减弱,植物多样性升高;在更高 海拔区域,适宜生存的植物种类减少。地理科考队调查某山峰的苔原带(海拔2 000~2 600 米)时发现,该苔原带部分地区存在干扰,导致优势植物数量减少,植物多样性异常;阴、 阳坡降水量与坡度差别不大,但植物多样性差异显著(下图)。 (1)确定该苔原带遭受干扰的坡向和部位,以及干扰强度的垂直分布特征。(6分) (2)判断在未遭受干扰时,阴坡与阳坡苔原带植物多样性的差异,并说明判断依据。(6分) (3)分析与阴坡相比,苔原带阳坡地表温度和湿度的特点及产生原因。(6分) (4)说明从2 300米至2 600米,阴、阳坡植物多样性差异逐渐缩小的原因。(6分) 答案 (1)遭受干扰的坡向和部位:阳坡,苔原带的下部(中下部,2 000~2 300米左右)。 干扰强度分布特征:随海拔升高而降低(海拔越低,干扰越强烈)。 (2)(未遭受干扰时)阴坡较阳坡植物多样性高。 依据:(按单峰变化规律,)阳坡苔原带的植物多样性最高值应在中部(2 300米左右),低于阴 坡最高值。 (3)特点:阳坡地表温度高,湿度低(水分条件差)。 原因:阳坡太阳辐射强,地表温度高,蒸发强度大;阳坡融雪早,蒸发历时长。 (4)随着海拔升高,阴、阳坡面积减小,坡面差异对植物多样性的影响减弱;阴、阳坡相互 影响(水分、热量交换作用)增强。 解析 (1)由材料可知,在山地苔原带,植物多样性存在随海拔升高呈单峰变化的规律,即 随海拔升高,生物多样性先增后减。由图可知,阴坡是正常状态,而阳坡则随海拔升高呈递 减状态。结合材料“该苔原带部分地区存在干扰,导致优势植物数量减少,植物多样性异 常”,说明在2 000~2 300米之间受到干扰,使优势植物数量减少,植物多样性增强。(2) 由图可知,阴坡未遭受干扰,植物多样性呈现单峰变化规律,峰值海拔在 2 300米左右,而 此海拔阳坡的植物多样性低于阴坡,说明山地苔原带未遭受干扰时,阴坡的植物多样性好于 阳坡。材料中提到“阴、阳坡降水量与坡度差别不大,但植物多样性差异显著”,说明影响因素为热量差异导致的土壤水分差异。(3)阳坡接受太阳光照时间较长,获得太阳辐射多, 所以温度高。根据材料可知,阳坡与阴坡的降水量、坡度差别不大,而导致阳坡与阴坡的植 物多样性有明显差异的因素应为蒸发量大小导致的水分条件的差异,所以可以判断阳坡温度 高,蒸发量较阴坡大,湿度小。(4)由材料可知,在更高海拔地区,阴、阳坡面积减小,坡 面差异对植物多样性的影响减弱。海拔升高,气温降低,热量条件变差,蒸发量减少,水分 差异也相应变小,阴、阳坡相互影响增强,从而导致阴坡和阳坡的植物多样性差异减小。