当前位置:首页>文档>第二部分第二章课时46 城镇化进程及其影响_9.2025地理总复习_2025年新高考资料_一轮复习_2025高考大一轮复习讲义+练习(完结)_2025高考大一轮复习地理(湘教版)

第二部分第二章课时46 城镇化进程及其影响_9.2025地理总复习_2025年新高考资料_一轮复习_2025高考大一轮复习讲义+练习(完结)_2025高考大一轮复习地理(湘教版)

  • 2026-04-01 06:09:15 2026-03-14 02:36:01

文档预览

第二部分第二章课时46 城镇化进程及其影响_9.2025地理总复习_2025年新高考资料_一轮复习_2025高考大一轮复习讲义+练习(完结)_2025高考大一轮复习地理(湘教版)
第二部分第二章课时46 城镇化进程及其影响_9.2025地理总复习_2025年新高考资料_一轮复习_2025高考大一轮复习讲义+练习(完结)_2025高考大一轮复习地理(湘教版)
第二部分第二章课时46 城镇化进程及其影响_9.2025地理总复习_2025年新高考资料_一轮复习_2025高考大一轮复习讲义+练习(完结)_2025高考大一轮复习地理(湘教版)
第二部分第二章课时46 城镇化进程及其影响_9.2025地理总复习_2025年新高考资料_一轮复习_2025高考大一轮复习讲义+练习(完结)_2025高考大一轮复习地理(湘教版)
第二部分第二章课时46 城镇化进程及其影响_9.2025地理总复习_2025年新高考资料_一轮复习_2025高考大一轮复习讲义+练习(完结)_2025高考大一轮复习地理(湘教版)
第二部分第二章课时46 城镇化进程及其影响_9.2025地理总复习_2025年新高考资料_一轮复习_2025高考大一轮复习讲义+练习(完结)_2025高考大一轮复习地理(湘教版)
第二部分第二章课时46 城镇化进程及其影响_9.2025地理总复习_2025年新高考资料_一轮复习_2025高考大一轮复习讲义+练习(完结)_2025高考大一轮复习地理(湘教版)
第二部分第二章课时46 城镇化进程及其影响_9.2025地理总复习_2025年新高考资料_一轮复习_2025高考大一轮复习讲义+练习(完结)_2025高考大一轮复习地理(湘教版)
第二部分第二章课时46 城镇化进程及其影响_9.2025地理总复习_2025年新高考资料_一轮复习_2025高考大一轮复习讲义+练习(完结)_2025高考大一轮复习地理(湘教版)
第二部分第二章课时46 城镇化进程及其影响_9.2025地理总复习_2025年新高考资料_一轮复习_2025高考大一轮复习讲义+练习(完结)_2025高考大一轮复习地理(湘教版)
第二部分第二章课时46 城镇化进程及其影响_9.2025地理总复习_2025年新高考资料_一轮复习_2025高考大一轮复习讲义+练习(完结)_2025高考大一轮复习地理(湘教版)
第二部分第二章课时46 城镇化进程及其影响_9.2025地理总复习_2025年新高考资料_一轮复习_2025高考大一轮复习讲义+练习(完结)_2025高考大一轮复习地理(湘教版)
第二部分第二章课时46 城镇化进程及其影响_9.2025地理总复习_2025年新高考资料_一轮复习_2025高考大一轮复习讲义+练习(完结)_2025高考大一轮复习地理(湘教版)

文档信息

文档格式
docx
文档大小
2.171 MB
文档页数
13 页
上传时间
2026-03-14 02:36:01

文档内容

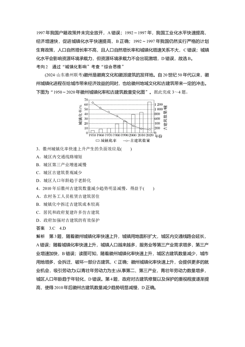
课时 46 城镇化进程及其影响 1.城镇化 (1)概念 城镇化又叫城市化,是指人口和产业活动在空间上集聚、乡村地区转变为城市地区的过程。 (2)说出城镇化的主要表现。 答案 城镇人口占总人口的比重持续上升;劳动力从第一产业向第二、第三产业逐渐转移; 建设用地规模不断扩大,乡村景观逐渐转化为城市景观;人们的生产方式、生活方式、文化、 价值观念等随之发生显著变化。 (3)主要动力:经济发展是城镇化的主要动力。 特别提醒 三次产业对城镇化的作用 农业生产力的发展是城镇化的初始动力;工业化是城市形成和发展的核心动力;第三产业的 发展是现代城镇化发展的主要动力。 思考 衡量城镇化的主要标准是什么? 答案 通常以城镇人口占总人口的比例,即“城镇化率”,来衡量一个国家或地区的城镇化 水平。 2.城镇化的地域差异 (1)世界城镇化的发展 阶段 特点 工业革命之前 发展极为缓慢 工业革命以后 进程明显加快,城镇人口比重迅速攀升 现代 涌现世界级大都市→城市群→大都市带 概念解读 城市群 城市群指在较大的空间范围内,由大、中、小城市和小城镇共同组成的城市群体,城市之间 既有明确的分工,更有密切的联系,中心城市辐射带动中小城市和小城镇的发展。 (2)发达国家的城镇化 ①历程:发达国家的城镇化伴随着工业化进行。目前城镇化水平大多在75%以上,有些国 家甚至高达90%。 ②简述发达国家城镇化的主要特征。 答案 人口高度集中,大中小城市密集分布,加工制造业、交通运输业和信息产业相对发达; 城镇运行效率高;人居环境质量高,城镇绿化率较高,重视城镇历史文化保护;有些大城市 由于过度扩张,出现了郊区化和逆城市化现象。思考 简述逆城市化的成因。 答案 中心城区居住环境恶化,居民陆续向外迁移,一部分商业和制造业由中心城市向边缘 区迁移;大城市在周边建设了一系列卫星城和工业区;大多数城市家庭拥有小汽车,交通条 件的改善。 (3)发展中国家的城镇化 ①现状:城镇化水平比较低,但近半个多世纪以来上升迅速;城镇化水平很不平衡,城镇化 水平较低的国家多分布在亚洲和非洲。 ②推进过程中出现的两个典型问题 问题 表现 典型国家 过量的乡村人口向城市迁移,明显 超过了国家经济发展的承受能力, 虚假城镇化 阿根廷、墨西哥等 城市基础设施和公共服务建设相对 落后 城镇化进程显著落后于相应的经济 滞后城镇化 印度、孟加拉国、印度尼西亚等 发展阶段 (4)我国的城镇化 ①特征:城镇人口快速增长,城镇数量不断增加,城镇化水平持续提高。 ②意义:拓展了高效率的成长空间,拉动了生产与消费,创造了大量的就业机会,提高了区 域对外开放程度,提升了经济社会发展质量。 概念辨析 城镇化、郊区化、逆城市化、再城市化 人口转移方向 人口数量变化 经济状况变化 城镇化 人口移向城镇 城镇人口增加 城镇经济繁荣 郊区化 人口移向郊区 市中心人口比重下降 郊区经济繁荣 逆城市化 人口移向乡村 城镇人口减少 市中心经济衰落、内城衰落 科技、第三产业发展,市中 再城市化 人口回流市中心 市中心人口再增长 心再繁荣 3.城镇化对地理环境的影响 (1)积极影响 城镇聚集了大量的人口和各种经济活动,城镇规模逐步扩大,城镇功能日益增强,成为人们 生产、生活、休闲娱乐的中心。 (2)产生问题 ①工业生产和城市建设对地理环境造成较大破坏,导致人居环境质量普遍下降。 ②给城市就业和配套服务造成很大压力,引发了环境污染、交通阻塞、房价居高不下、建设 用地紧张等诸多问题。 (3)发展方向:建设生态城市、田园城市、智慧城市,走健康、持续、绿色、高效的城镇化道路。 1.城镇化一般进程 发展阶段 城镇化水平 主要特点 问题 发展新趋势 区域经济中第一产业 所占比重较大。城镇 处于城镇化低水 发展水平缓慢 A:初期阶段 低于30% 化水平较低,发展较 平时期 提高 慢 出现劳动力过 人口和产业向城镇集 剩、交通拥挤、 加速发展,出 B:中期阶段 30%~70% 中,城镇快速发展 住房紧张、环境 现郊区化现象 恶化等问题 城镇化水平比较高, 增速趋缓,出 中心城区再现衰 C:后期阶段 超过70% 城镇人口比例的增长 现逆城市化现 落迹象 趋缓甚至停滞 象 2.城镇化的利弊 (1)有利影响 ①优化产业结构,促进工业化和区域经济发展,提供就业机会;②缩小区域间、城乡间经济、 文化、观念差异,提高生活水平;③集中配置水电等基础设施,提高(土地、水等)资源利用 率;④趋利避害,改善居住环境。 (2)不利影响 ①资源问题:耕地面积减少、水资源短缺等;②污染问题:大气、水、土壤等环境污染;③ 生态问题:生物多样性减少、自然植被破坏、城市热岛效应等;④社会问题:交通拥堵、住 房紧张、社会管理困难、传统文化遭受冲击等。 3.中国新型城镇化 (1)核心:人的城镇化 ①加快农业转移人口市民化;②深化户籍制度及配套改革,实现基本公共服务(教育、医疗、 住房、社保等)的均等化。 (2)产业:因地制宜①乡村地区发展现代农业和休闲旅游等;②集镇和中小城市发展农产品加工工业、劳动密集 型产业、一般制造业等;③中心城市发展高新技术产业、高端制造业、第三产业等。 (3)社会:文明 ①科学保护乡村传统文化和生活方式;②合理规划聚落内部空间结构,完善基础设施,提高 生产、生活便利度。 (4)人地:协调 ①提倡绿色生产、绿色消费,恢复自然生态,提高环境自净能力,缓解城市热岛、环境污染 等问题;②完善城镇土地流转利用,提高土地的征收补偿标准,切实保障农民土地流转的增 值收益;③整合腾退乡村空置宅基地和撂荒地,合村并居、易地安置等,提高土地资源利用 率。 (2023·全国文综乙)阅读图文材料,完成下列要求。(22分) 库里蒂巴是巴西东南沿海城市。自20世纪60年代,为解决城市快速发展中存在的一系 列问题,该城市编制了以公交为主导的交通规划和城市规划并得以实施。经过多年建设,库 里蒂巴形成了5条由市中心向外辐射的基于快速交通线的发展轴,同时有多种类型的公交线 与快速交通线相连。沿快速交通线两侧进行高密度开发,发展轴间为绿地。快速交通线使用 大容量低排放公交车辆。目前,库里蒂巴人均小汽车拥有量位居巴西前列,但公交出行率 远高于其他城市。库里蒂巴将工业区布局在郊外快速交通线附近,发展低污染工业。下图 为库里蒂巴公交网络模式图。 (1)指出库里蒂巴以公交为主导的交通方式对解决城市问题的作用。(6分) (2)指出与地铁相比,库里蒂巴建设地面快速公交的优点。(4分) (3)说明沿快速交通线两侧进行高密度开发对城市发展的作用。(6分) (4)说明库里蒂巴工业区布局的优点。(6分) [关键信息点拨] 快速交通线使用大容量低排放公交车辆,说明通勤时间缩短、汽车尾气排放减少。 工业区布局在郊外,发展低污染工业,可提高城市环境质量,同时为其他产业发展提供空间;布局在快速交通线附近,可减少至市中心的交通时间。 [地理原理再现] 城镇化过程中的问题 指出城镇化过程中可能出现的问题。 答案 城镇化过程中会产生资源问题、污染问题、交通拥堵问题、社会问题等。 答案 (1) 减少交通拥堵和通勤时间,节约能源,减少汽车尾气排放 ( 空气污染 ) 。 (2) 投资少,工程量小 ( 建设难度小 ) ,建设时间短;交通组织灵活,方便乘客换乘。 (3)使人口分布、出行量与快速交通线在空间上重合,减少交通周转量和交通拥堵节点;提 高快速交通线沿线地区的土地利用效率;为发展轴间的广大地区开辟各式绿地提供可能。 (4)工业区布局在郊外,且发展低污染工业,有利于提高城市环境质量;为城市中心区第三 产业发展提供更大空间;布局在快速交通线附近,减少至市中心的交通时间。 考向1 通过“城镇化进程”考查“区域认知” (2023·四川雅安模拟)读“1949~2020年我国人口城镇化发展阶段划分示意图”,完成1 ~2题。 1.图中①②③④分别对应的城镇化发展阶段是( ) A.初期—初期—中期—中期 B.初期—中期—中期—后期 C.初期—中期—后期—逆城市化 D.初期—初期—中期—后期 2.影响1992年至1997年间我国城镇化增速的主要原因是( ) A.户籍政策全面放开 B.经济增长速度快 C.人口自然增长率高 D.资源环境承载力激增 答案 1.A 2.B 解析 第1题,根据所学知识可知,城镇化发展一般经历初期阶段(城镇化水平低于30%)、 中期阶段(城镇化水平30%~70%)、后期阶段(城镇化水平高于70%)。读图可知,①②时期 城镇化水平低于30%,③④时期城镇化水平介于30%~70%之间,故选A。第2题,1992~1997年我国户籍政策并未完全放开,A错误;1992~1997年,我国工业化水平快速提高, 经济增速快,促进城镇化水平快速提高,B正确;1992~1997年我国仍然实行严格的计划 生育政策,人口自然增长率不高,且人口自然增长率和城镇化增速关系不大,C错误;城镇 化水平会影响资源环境承载力,但资源环境承载力不会出现激增,D错误,故选B。 考向2 通过“城镇化影响”考查“综合思维” (2024·山东德州联考)徽州是徽商文化和徽派建筑的发祥地。自20世纪50年代以来,徽 州城镇化进程在给城市带来经济效益的同时,也给徽州地域文化和古建筑带来一定的冲击。 下图为“1950~2020年徽州城镇化率和古建筑数量变化图”。据此完成3~4题。 3.徽州城镇化率快速上升产生的负面效应是( ) A.城区内交通线路缩短 B.城区第三产业增速减慢 C.城区古建筑景观减少 D.城区人口年龄趋于老龄化 4.2010年后徽州古建筑数量减少趋势明显减慢,得益于( ) A.农村务工人员租赁古建筑居住 B.城镇化中拆迁古建筑成本较高 C.居民和政府复建许多仿古建筑 D.政府加强对古建筑的有效保护 答案 3.C 4.D 解析 第3题,随着徽州城镇化率快速上升,城镇用地面积扩大,城区内交通线路会延长, A错误;随着城镇化率快速上升,城镇人口越来越多,服务业等第三产业需求增多,第三产 业增速加快,B错误;读图可知,随着徽州城镇化率快速上升,城区古建筑数量减少,城市 用地增多,会拆迁、破坏一部分古建筑,C正确;徽州城镇化率快速上升,会提供更多的就 业机会,吸引劳动力(以青壮年劳动力为主)从事第二、第三产业,青壮年劳动力数量增多, 城区人口年龄趋于年轻化,D错误。第4题,政府对古建筑修复以及保护的重视程度逐渐提 高,使得2010年后徽州古建筑数量减少趋势明显减慢,D正确。地理实践 11 海绵城市 1.含义:指城市建设中充分发挥原始地形、地貌对降雨的积存作用、自然下垫面对雨水的 渗透作用,以及植被、土壤、湿地吸纳与净化作用,使城市像“海绵”一样,下雨时吸水、 蓄水、渗水、净水,需要时将蓄存的水“释放”并加以利用。 2.原理 3.功能 赣州古城千年不涝,主要得益于前人根据地形,随形就势修建了地下排水系统——福 寿沟。福寿沟内连水塘,外通江河,沟口安有可自动关闭的单向“水窗”。赣州古城排水系 统符合“海绵城市”理念,体现了我国古代人民的治水智慧。读图,完成1~2题。1.赣州古城排水系统的治水智慧体现在( ) ①利用天然地势特点,加快了城内雨水外排速度 ②在城内修建多个水塘,暴雨时可大量蓄 积雨水 ③设计地下排水系统,能将雨水及时排入江河中 ④修缮护城河,从源头控制雨水, 减少了地表径流 A.①③④ B.②③④ C.①②③ D.①②④ 2.单向水窗的作用是( ) A.沟内水位低于河水水位时,水窗冲开,排出过量雨水 B.沟内水位高于河水水位时,水窗关闭,排出过量雨水 C.河水水位高于沟内水位时,水窗关闭,防止河水倒灌 D.河水水位低于沟内水位时,水窗冲开,防止河水倒灌 答案 1.C 2.C 解析 第1题,由材料“根据地形,随形就势修建了地下排水系统——福寿沟。福寿沟内 连水塘,外通江河,沟口安有可自动关闭的单向‘水窗’”及图中信息可知,赣州古城排水 系统利用天然地势特点,能够使城内雨水快速外排;在城内修建多个水塘,暴雨时可大量蓄 积雨水;设计地下排水系统,能将雨水及时排入江河中,从而避免雨涝威胁,①②③正确。 赣州位于亚热带季风气候区,年降水量较大,靠人为的力量不可能从源头控制雨水,④错误, 故选C。第2题,福寿沟的水窗可以借助水力自动开启、关闭。洪水期,河水水位上涨,高 于沟内水位时,水窗借河中水力关闭,防止河水倒灌,C正确、B错误。洪水消退后,河水 水位下降,低于沟内水位时,排水道的水力冲开水窗,使水塘及城内蓄积雨水顺利排入河内, A、D错误。 3.(2024·云南大理模拟)阅读图文材料,完成下列要求。(13分) 武汉市某中学环保社的社员们发现,每当暴雨过后,校园道路常会出现积水的现象。社 员们结合课堂所学知识,在老师的指导下,分析校园积水的原因,经讨论研究后提出了构建 海绵校园的规划与设想,共谋学校的绿色发展。下面图1和图2分别为该中学校园道路积水 实景图及海绵校园规划设计原理图。注:下凹式绿地主要由校园内的草坪改建而成,地势中低周高,截面一般为倒三角形、半圆 形等。 (1)请从下垫面的角度分析暴雨过后校园道路积水的原因。(4分) (2)推测该中学今后建设海绵校园时选取路面材料应具备的特点。(3分) (3)该校学生设计的海绵校园规划能否彻底解决校园积水问题?请表明你的观点并说明理由。 (6分) 答案 (1)校园路面硬化率高,雨水难以下渗;地势低平,地表大面积积水难以排泄,造成 道路积水。 (2)价格便宜;具备透水性;坚实耐用。 (3)能。理由:海绵校园规划设计的方面较多,有助于实行校园的全面改造;选择材料多样, 如透水砖耐用、透水,能够彻底解决校园积水问题。 或不能。理由:当降水强度大于透水砖的渗透速率,或者超过收集雨水的容量上限时,可能 出现地面积水;此外透水砖、下凹式绿地、绿色屋顶具有一定使用寿命,因此海绵校园并不 能彻底解决校园积水问题。 课时精练 (2024·山西太原模拟)重庆市北碚区北靠缙云山,嘉陵江环城而过,是重庆九区之一。 2000年以来,北碚区迅速发展为重庆大都市的重要组成部分之一。下图为“1972~2006年 重庆市北碚区城区用地重心变化的空间分布图”。据此完成1~3题。1.1972~2006年北碚区城区用地重心点变化距离约( ) A.500米 B.1 000米 C.1 500米 D.2 000米 2.影响北碚区城市扩张方向的主要因素是( ) A.地形 人口 B.人口 交通 C.河流 交通 D.河流 地形 3.2000年以来,北碚区城镇化发展的主要推动力是( ) A.矿产资源开采 B.交通条件改善 C.基础设施完善 D.产业发展加速 答案 1.C 2.D 3.D 解析 第1题,1972~2006年重心点变化距离可以根据比例尺估算,图上距离约为1.5厘米, 估算实地距离约为1 500米。故选C。第2题,北碚区北部为山区,东部为河流,皆会阻挡 城市扩张,从而使城市基本沿河流向西南扩张,D正确。根据图文信息无法获取人口分布信 息,交通线仅有水运,且北部地区临近嘉陵江,水运条件更好,A、B、C错误。第3题, 第二、三产业的发展加速是城镇化发展的主要推动力,D正确。 (2023·辽宁名校联盟模拟)科技创新中心是科技创新作为城市核心功能在地域空间的集中 体现。经济文化的发展,影响着创新活动的转移。美国自20世纪60年代起,新兴工业的发 展使创新活动中心向郊区转移;近年来,随着知识经济的发展,创新活动又向市区集聚,并 形成一种新的城市空间——创新街区。下图为“创新街区构成要素示意图”。据此完成4~ 5题。 4.美国不同时期创新活动中心的转移活动与城镇化进程对应正确的是( ) A.20世纪60年代——初期阶段 B.20世纪60年代——逆城市化阶段 C.创新街区阶段——再城市化阶段 D.创新街区阶段——逆城市化阶段 5.结合创新街区的要素,阐述其对我国旧城改造的借鉴意义有( ) ①积极引进高校等,加强创新的培育 ②完善基础设施,提供公共空间,便于创新的交流 ③加强企业的地域联系,分散布局 ④多提供面对面进行技术交流的机会 A.①③④ B.①②④ C.②③④ D.①②③ 答案 4.C 5.B解析 第4题,由材料可知,20世纪60年代,美国新兴工业的发展使创新活动中心向郊区 转移,美国此时进入了郊区化阶段,而非初期阶段和逆城市化阶段,A、B错误;近年来, 随着知识经济的发展,创新活动又向市区集聚,科技和人才向市区集中,美国进入了再城市 化阶段,C正确,D错误。第5题,结合创新街区的要素,积极引进高校等,加强创新的培 育;完善基础设施,提供公共空间,便于创新的交流;多提供面对面进行技术交流的机会, 以上措施都值得我国旧城改造借鉴,应加强企业的集聚和联系,而不是分散布局,故选B。 (2024·江西新余模拟)边境口岸城镇是我国新型城镇体系的重要组成部分。凭祥市为中越 边境口岸城镇,21世纪初期处于“岸城守望”状态,口岸与城市互动不足。2008年之后逐 渐形成“前岸中区后市”发展格局,“中区”不仅是连接口岸与城市中心的纽带,还能促使 口岸和城市中心真正的高度融合。下图示意凭祥市口岸与城市空间模式演变。据此完成6~ 8题。 6.该地口岸地区的城镇化发展主要得益于( ) A.过境货物贸易的发展 B.东南亚产业转移 C.过境旅游人数的增加 D.矿产资源丰富 7.与“前岸”相比,“后市”( ) A.人口密度更大 B.产业部门更多 C.对外交通更便捷 D.用地资源更少 8.最适宜在“中区”发展的产业是( ) A.物流产业 B.产品加工业 C.会展旅游业 D.原木贸易业 答案 6.A 7.B 8.B 解析 第6题,凭祥市为中越边境口岸城镇,该地口岸地区的城镇化发展主要得益于过境货 物贸易的发展,A正确;越南经济发展水平较低,是产业主要转入区,B错误;口岸地区的 城镇化与过境旅游人数增加无关,过境旅游只是经过该地区,不会成为当地的城镇人口,C 错误;该地口岸地区“城镇化”发展与矿产资源开发无关,D错误。故选A。第7题,由材 料“凭祥市为中越边境口岸城镇,21世纪初期处于‘岸城守望’状态,口岸与城市互动不 足”可知,凭祥市位于边境地区,长期以来,边民依托互市点,进行着简单的边贸活动,增 加收入,“前岸”贸易活动比较活跃,人口集中,“后市”发展较慢,而且面积更大,人口 密度较小,A错误;“前岸”主要以边境贸易活动为主,“后市”各种农副产品加工、以及资源型加工业和第三产业均有发展,产业部门更多,B正确;“前岸”对外交通更便捷,C 错误;“后市”向内地发展,用地资源更多,“前岸”受边境限制,用地资源有限,D错误。 故选B。第8题,由材料“‘中区’不仅是连接口岸与城市中心的纽带,还能促使口岸和城 市中心真正的高度融合”可知,最适宜在“中区”发展的产业是产品加工业,B正确;物流 产业在口岸地区(“前岸”)发展更有利,A错误;会展旅游业适合在城市发展,C错误;越 南限制原木出口,因此不适宜发展原木贸易业,D错误。故选B。 (2023·湖北华大新高考联盟模拟)随着城市人口的增长,全球城市建成区面积将大幅度增 加,城市用地面积的大幅度扩张以及人口大量涌入促进了超大城市的形成。下图示意纽约、 东京、孟买、天津不同阶段城市用地面积扩张率与人口增长率比值。据此完成9~11题。 9.图中城市用地面积扩张远快于人口增长的是( ) A.纽约 B.东京 C.天津 D.孟买 10.近些年孟买人口增长较快,但空间扩张速度却较缓慢的主要因素是( ) A.气候 B.地形 C.文化 D.经济 11.为缓解人口增长和空间扩张带来的城市问题,超大城市应该( ) A.提高土地集约利用程度 B.控制空间扩张,增加人口数量 C.控制人口增长和扩张速度 D.控制人口数量,加快空间扩张 答案 9.A 10.B 11.A 解析 第9题,读图可知,纽约城市用地面积扩张率与人口增长率比值最高,即城市用地面 积扩张远快于人口增长,A正确。第10题,“近些年孟买人口增长较快,但是空间扩张速 度较缓慢”,说明空间扩张受限,结合所学可知孟买东侧是西高止山脉,西侧是海洋,因此 是地形限制了其空间扩张,B正确;气候、文化对城市空间扩张影响不大,A、C错误;近 些年来,印度经济发展速度较快,会促进城市空间扩张,与题意不符,D错误。第11题, 超大城市往往存在人口快速扩张、城市用地紧张等问题,为缓解人口增长和空间扩张带来的城市问题,应该提高土地集约利用程度,促进城市高质量发展,A正确;盲目控制空间扩张 或者控制人口数量都不利于城市可持续发展,B、C、D错误。 12.(2024·甘肃张掖模拟)阅读图文资料,完成下列要求。(20分) 墨尔本于20世纪中期成为一座现代化工业城市。20世纪70年代后,墨尔本的重化工业 陆续迁往东南亚地区,现代服务业开始取代传统制造业成为城市发展的重心。20世纪90年 代,墨尔本进入了生态规划理念为指导的城市规划时代。下面左图示意20世纪50年代和70 年代墨尔本各行政区人口占总人口的比例,下图示意1980年雅拉河沿岸港区与墨尔本中央 商务区(CBD)位置。 (1)据图描述1950~1980年期间墨尔本城镇化的特点。(4分) (2)分析20世纪80年代雅拉河沿岸港口地带成为墨尔本重点改造区的有利条件。(8分) (3)说明在生态规划理念指导下,墨尔本中心城区改造重点推行“步行城市”建设的原因。(8 分) 答案 (1)市中心空洞化(城市中心区人口比重下降);郊区化(郊区人口比重上升)。 (2)位于市中心,位置优越;有大量闲置厂房和土地;临近河流和港口,交通便利;原有基 础设施完善;临近河流,环境条件优越(利于景观改造)。(任答4点) (3)减轻老城区交通拥堵;有利于发展休闲产业(促进零售、休闲等产业发展);促进消费,放 慢生活节奏;老城区原有的道路系统较狭窄;减少交通环境污染(绿色出行,减少交通能源 消耗)。(任答4点)