当前位置:首页>文档>第五部分第二章第2讲课时89 青藏地区_9.2025地理总复习_2025年新高考资料_一轮复习_2025高考大一轮复习讲义+练习(完结)_2025高考大一轮复习地理(湘教版)_第五部分区域地理

第五部分第二章第2讲课时89 青藏地区_9.2025地理总复习_2025年新高考资料_一轮复习_2025高考大一轮复习讲义+练习(完结)_2025高考大一轮复习地理(湘教版)_第五部分区域地理

  • 2026-04-12 20:40:52 2026-03-17 02:22:22

文档预览

第五部分第二章第2讲课时89 青藏地区_9.2025地理总复习_2025年新高考资料_一轮复习_2025高考大一轮复习讲义+练习(完结)_2025高考大一轮复习地理(湘教版)_第五部分区域地理
第五部分第二章第2讲课时89 青藏地区_9.2025地理总复习_2025年新高考资料_一轮复习_2025高考大一轮复习讲义+练习(完结)_2025高考大一轮复习地理(湘教版)_第五部分区域地理
第五部分第二章第2讲课时89 青藏地区_9.2025地理总复习_2025年新高考资料_一轮复习_2025高考大一轮复习讲义+练习(完结)_2025高考大一轮复习地理(湘教版)_第五部分区域地理
第五部分第二章第2讲课时89 青藏地区_9.2025地理总复习_2025年新高考资料_一轮复习_2025高考大一轮复习讲义+练习(完结)_2025高考大一轮复习地理(湘教版)_第五部分区域地理
第五部分第二章第2讲课时89 青藏地区_9.2025地理总复习_2025年新高考资料_一轮复习_2025高考大一轮复习讲义+练习(完结)_2025高考大一轮复习地理(湘教版)_第五部分区域地理
第五部分第二章第2讲课时89 青藏地区_9.2025地理总复习_2025年新高考资料_一轮复习_2025高考大一轮复习讲义+练习(完结)_2025高考大一轮复习地理(湘教版)_第五部分区域地理
第五部分第二章第2讲课时89 青藏地区_9.2025地理总复习_2025年新高考资料_一轮复习_2025高考大一轮复习讲义+练习(完结)_2025高考大一轮复习地理(湘教版)_第五部分区域地理
第五部分第二章第2讲课时89 青藏地区_9.2025地理总复习_2025年新高考资料_一轮复习_2025高考大一轮复习讲义+练习(完结)_2025高考大一轮复习地理(湘教版)_第五部分区域地理
第五部分第二章第2讲课时89 青藏地区_9.2025地理总复习_2025年新高考资料_一轮复习_2025高考大一轮复习讲义+练习(完结)_2025高考大一轮复习地理(湘教版)_第五部分区域地理

文档信息

文档格式
docx
文档大小
1.608 MB
文档页数
9 页
上传时间
2026-03-17 02:22:22

文档内容

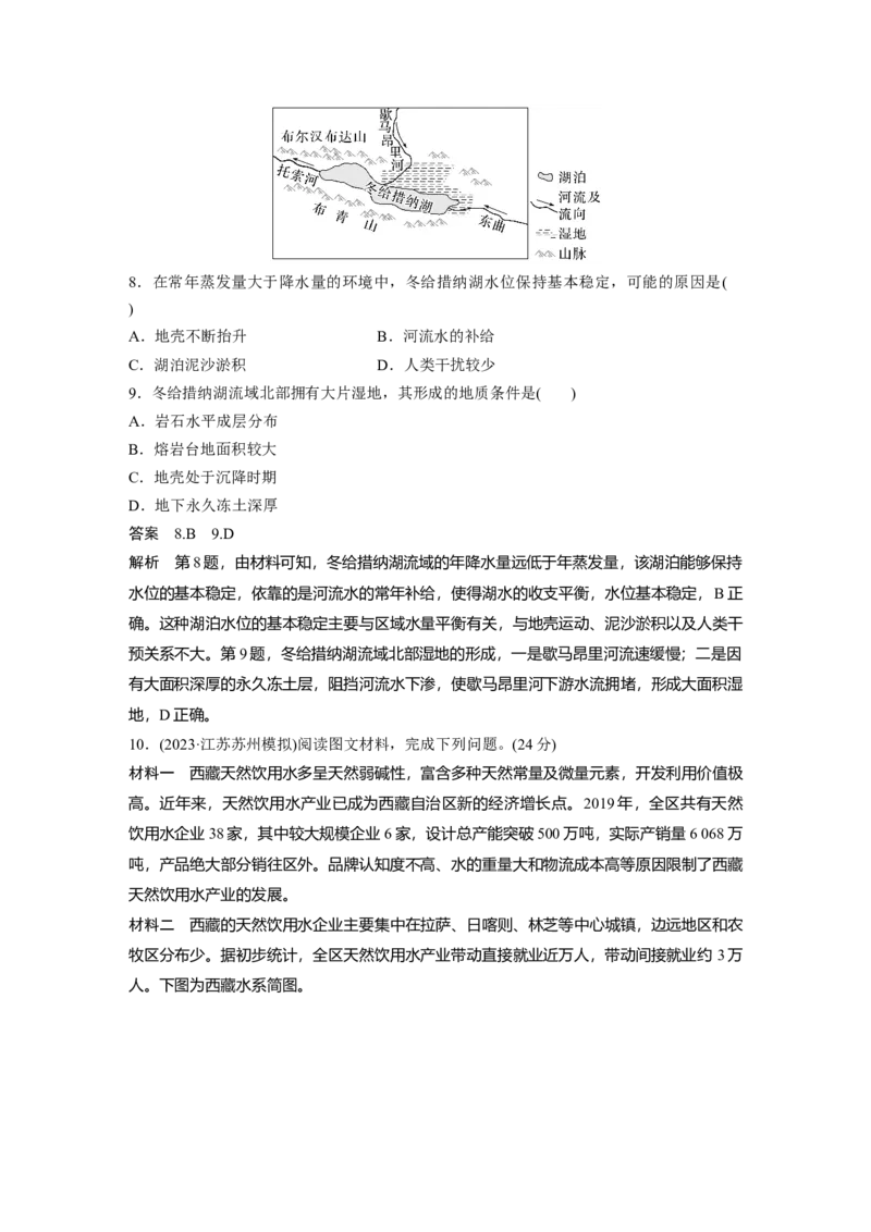
课时 89 青藏地区 1.填出本区的邻国 ①印度,②尼泊尔,③不丹,④缅甸。 2.填出下列地形区名称 山脉:A横断山脉,B祁连山,D巴颜喀拉山,E昆仑山,F唐古拉山,其中D山脉是长江 和黄河两条大河的分水岭。 盆地:C柴达木盆地。高原:N青藏高原。 谷地:L雅鲁藏布江谷地,W湟水谷地,是青藏地区主要农业分布区。 3.填出下列河流的名称 M黄河,K金沙江,I澜沧江,H怒江,G雅鲁藏布江,世界第一大峡谷位于图中G、H、 I、K、M等河流中的G 河流上,该河段水能资源丰富的原因是水量大,落差大。 4.本区除水能资源丰富外,太阳能资源、地热资源、矿产资源都很丰富 城市⑤拉萨有“日光城”之称;⑥是我国最大的地热发电站羊八井地热电站,本区地热资源 丰富的原因是处于甲印度洋板块和乙亚欧板块交界处。 5.填出下列矿产及矿产地名称 Q钾盐、察尔汗;T石油、冷湖。 6.城市与交通 城市:⑦西宁,⑧格尔木。铁路线:⑨青藏铁路,于2006年7月1日全线通车。 1.青藏地区地理特征 (1)自然地理特征 角度 特征区域定位 平均海拔在4 000米以上,号称“世界屋脊”,以高原、山地、盆地为 地形 主 高原山地气候,冬寒夏凉,太阳辐射强烈;是我国夏季气温最低的地 气候 区;降水季节分布不均,自东南向西北内陆减少 西北部属内流区;东南部是许多大江大河的发源地;高原湖泊星罗棋 水文 布,多内流湖,主要有青海湖、纳木错等 植被 以高寒草地为主 矿藏丰富(柴达木盆地被称为“聚宝盆”),太阳能、地热能(温泉)、水能 资源 等清洁能源丰富 (2)人文地理特征 角度 特征 人口、城 人口较少,城镇化水平低;人口、城市主要分布在河谷地带,人口环境 市 承载力小 ①高寒牧业:牦牛、藏绵羊、藏山羊等优良畜种; 农业 ②河谷农业:青稞、小麦、豌豆 工业 西宁(毛织);拉萨(皮革、毛毯);林芝(毛织) 交通 公路运输是最重要的交通运输方式,以拉萨为中心,铁路有青藏铁路 环境问题 三江源自然保护区:不合理伐林、放牧、耕作,造成湿地退化 2.用整体性原理分析青藏地区地理特征 3.青藏高寒区发展农牧业的条件(1)有利条件:①光照充足,是全国太阳辐射能最多的地区,日照时间长,气温日较差大, 植物光合作用强,为农作物高产提供了自然前提;②有大面积的高山草甸草原,是良好的牧 场;③东部及南部河谷地带热量和水分条件提供了发展农业多种经营的可能性。 (2)不利条件:①大部分地区热量不足,无霜期极短,只能种植青稞、小麦、豌豆等耐寒作 物和放牧牦牛、藏绵羊等高寒牲畜;②土壤质粗层薄。 考向1 通过“人口分布”考查“区域认知” (2023·河南郑州模拟)为推动青藏高原可持续发展和生态文明建设,某研究团队对青藏高 原自然环境和人口分布进行了相关研究,并划定了人口稠密区和稀疏区分界线。下面图 1为 “青藏高原位置示意图”,图2为“青藏高原人口密度变化示意图”。据此完成1~3题。 1.下列四地最有可能是青藏高原寒旱中心的是( ) A.甲地 B.乙地 C.丙地 D.丁地 2.图中最接近该研究团队划出的人口稠密区和稀疏区分界线的是( ) A.H-I一线 B.J-K一线 C.M-N一线 D.P-Q一线 3.未来青藏高原人口稀疏区( ) A.人口迁入更为活跃 B.可能成为区域人口主要聚居区 C.应多规划建设交通干线 D.人口生计方式可能发生改变 答案 1.A 2.C 3.D解析 第1题,通过经纬度并结合所学知识可知,甲位于藏北高原,乙位于祁连山西段,丙 位于念青唐古拉山西部,丁位于横断山区。藏北高原、念青唐古拉山西部海拔高、气温低, 气候寒冷,祁连山西段、横断山区海拔相对较低,气候不如其他两个地区寒冷,B、D排除; 念青唐古拉山西部有来自印度洋的湿润水汽,降水较多,不是干旱中心,C排除;所以四地 中最有可能是青藏高原寒旱中心的是甲,A正确。第2题,由图2可知,沿100°E、90°E经 线、38°N往南至28°N人口密度大,位于青藏高原的东南部,所以人口稠密区和稀疏区分界 线应该是东北—西南走向,M-N一线为东北—西南走向,C正确。第3题,由上题可知, 青藏高原人口稀疏区位于青藏高原西北部,自然条件恶劣,不可能成为区域人口主要聚居区, 所以对人口的吸引力比较小,人口迁入不活跃,A、B错误;青藏高原西北部修建交通干线 的难度大、成本高,且人口稀疏区对交通的使用率低、需求量少,C错误;未来青藏高原人 口稀疏区的居民为了适应当地恶劣的自然条件,人口生计方式可能发生改变,故选D。 考向2 通过“地质灾害”考查“综合思维” (2024·陕西商洛模拟)下面图甲为“青藏高原和横断山区地质灾害综合分区图”,图示区 域多滑坡、泥石流、崩塌等地质灾害;图乙为“三大分区地质灾害易发区和非易发区的面积 占比图”。据此完成4~6题。 4.图甲中分区Ⅰ、Ⅱ、Ⅲ分别对应图乙中的( ) A.①②③ B.③②① C.①③② D.②③① 5.分区Ⅲ地质灾害非易发区集中分布于( ) A.东部 B.南部 C.西南部 D.西北部6.相较于分区Ⅱ、Ⅲ,与分区I地质灾害形成关系最为密切的特征是( ) A.植被覆盖率高 B.谷地多呈南北走向 C.地震发生频率高 D.昼夜温差大 答案 4.A 5.D 6.B 解析 第4题,滑坡、泥石流和崩塌等地质灾害的发生与降水、岩性和植被覆盖率等因素密 切相关,但主要的诱发因素是降水,分区Ⅲ降水少,人口密度在三个区中最小,地质灾害非 易发区的面积占比是最高的,对应图乙中的③;分区I地为横断山区,山高谷深,且降水集 中多暴雨,地质灾害易发区的面积占比是最高的,对应图乙中的①。A正确。第5题,青藏 高原降水量的空间分布特征是由东南向西北逐渐减少,越往北降水越稀少,因此分区Ⅲ西北 部地质灾害非易发区分布较为集中,D正确。第6题,植被覆盖率高,滑坡、泥石流等地质 灾害发生频率应较低,A错误;并不能确定分区I地震发生频率高于分区Ⅱ、Ⅲ,C错误; 昼夜温差大的区域是分区Ⅲ,D错误;由于谷地多呈南北走向,有利于湿润的气流进入分区 I,降水充沛,易诱发地质灾害,B正确。 课时精练 (2023·广东广州模拟)下垫面与大气之间通过对流(包括乱流)完成输送的热量被称为“感 热通量”。当地温高于气温,热量由地面传送给近地面较冷的空气并促使其增热,感热通量 为正值;反之为负值。而下垫面由于水汽蒸发(蒸腾)而向大气传输的热量被称为“潜热通 量”。下图示意1979~2014年青藏高原平均地表感热、潜热通量的季节变化。据此完成1 ~2题。 1.春季青藏高原感热通量值迅速增加,主要原因可能是( ) A.太阳辐射减弱 B.积雪融化 C.地表风速减小 D.云量增加 2.推测下列青藏高原的区域中夏季潜热通量最大的是( ) A.藏南灌丛草原区 B.柴达木盆地荒漠区 C.西北高寒草原区 D.昆仑山地高寒荒漠区答案 1.B 2.A 解析 第1题,由材料“当地温高于气温,热量由地面传送给近地面较冷的空气并促使其增 热,感热通量为正值”可知,春季青藏高原感热通量值迅速增加是由于地温升高,最直接的 原因是春季气温回升后,地表覆盖的积雪融化,对太阳辐射的反射率降低,地表吸收的太阳 辐射增多,地温上升,B正确;太阳辐射减弱,到达地表的太阳辐射量减少,地温下降,A 错误;地表风速减小、云量增加主要影响气温,利于气温上升,感热通量值下降,C、D错 误。故选B。第2题,下垫面由于水汽蒸发(蒸腾)而向大气传输的热量被称为“潜热通量”, 草原区比荒漠区蒸腾量大,荒漠区比草原区干旱,水汽蒸发量少,B、D错误。青藏高原西 北高寒草原区气候寒冷,蒸发弱,与藏南灌丛草原区相比,夏季潜热通量小,A正确、C错 误。 (2023·山东威海模拟)近年来,日趋严重的光污染让越来越多的人无法欣赏、观测星空。 2018年西藏阿里、那曲暗夜星空保护地被正式收录入“世界暗夜保护地名录”,成为我国 首批得到国际组织认可的暗夜保护地。职业星空摄影师小李,曾沿219国道观星。下图示意 219国道沿线观星点。据此完成3~4题。 3.小李发现,哈尼梯田比帕米尔高原更适宜冬季观赏星空,是因为哈尼梯田( ) A.晴朗少云,大气透明度高 B.昼短夜长,观星时间长 C.海拔较低,光污染少 D.纬度较低,温度适宜 4.我国建立阿里等暗夜保护地的最主要目的是( ) A.科普天文知识 B.消除光污染 C.保护星空资源 D.带动经济发展 答案 3.D 4.C 解析 第3题,两地区冬季都晴朗少云,帕米尔高原海拔高,大气透明度更高,A错误;冬 季昼短夜长,观星时间长,是共同点,B错误;哈尼梯田比帕米尔高原海拔低,易受人为因 素影响,光污染较多,C错误;哈尼梯田纬度较低,海拔低,冬季夜晚温度较帕米尔高原高, 适宜观赏星空,D正确。第4题,日趋严重的光污染让越来越多的人无法欣赏、观测星空,西藏阿里、那曲的星空资源全球稀缺,需要得到精心保护,这是建立阿里等暗夜保护地的最 主要目的,C正确。 盐沼属于湿地的一部分,一般生长有盐生、耐盐植物。柴达木盆地是世界上盐沼连续分 布面积最大的地区,这些盐沼不仅蕴藏了丰富的盐业资源,还阻止了沙漠在盆地的肆意扩张。 该地盐沼中的植物群落常以湖水为中心、随地下水位深度和土壤盐渍化程度的不同环湖呈带 状有规律的分布。下图示意柴达木盆地盐沼植物分布剖面。据此完成5~7题。 5.柴达木盆地盐沼主要分布在( ) A.盆地边缘冲积扇 B.周围山间谷地 C.盆地底部平原 D.季节性河流沿岸 6.以下盐沼植被类型中分布在环带Ⅱ的是( ) A.盐壳 B.盐角草、碱蓬 C.芦苇 D.向草甸过渡植被 7.柴达木盆地多盐沼分布,原因之一是底部还加了一层“防渗膜”。这里的“防渗膜”是 指( ) A.盐沼植被 B.季节性积雪 C.永久性冰川 D.冻土层 答案 5.C 6.B 7.D 解析 第5题,根据材料“盐沼中的植物群落常以湖水为中心、随地下水位深度和土壤盐渍 化程度的不同环湖呈带状有规律的分布”可知,盐沼主要分布在盐湖的周围,也就是地下水 深度较浅、海拔较低的盆地底部平原地区。选C。第6题,湖水干涸后,水中的盐碱沉积, 凝结成坚硬的盐壳,A错;盐角草、碱蓬是适合生长在盐田的生物,环带Ⅱ地下水埋藏浅, 含盐量高,适合盐角草、碱蓬的生长,B正确;芦苇多生长于池沼、河岸、溪边浅水地区, 常形成苇塘,不耐盐碱,C错;向草甸过渡的植被应位于离盐湖较远的地带,D错。选B。 第7题,柴达木盆地位于青藏高原,海拔高,土壤含有冻土层,可以防止盐分的下渗。选 D。 (2024·广东深圳模拟)冬给措纳湖地处青藏高原东北部,青海省布青山(昆仑山脉东段中 支阿尼玛卿山的一段)、布尔汗布达山(昆仑山脉东段北支)之间,面积232.2 km2,湖面海拔4 090 m,年降水量约300 mm,年蒸发量约1 000 mm。冬给措纳湖拥有一大片湿地,给人以 心灵震撼之美。下图示意冬给措纳湖水系。据此完成8~9题。8.在常年蒸发量大于降水量的环境中,冬给措纳湖水位保持基本稳定,可能的原因是( ) A.地壳不断抬升 B.河流水的补给 C.湖泊泥沙淤积 D.人类干扰较少 9.冬给措纳湖流域北部拥有大片湿地,其形成的地质条件是( ) A.岩石水平成层分布 B.熔岩台地面积较大 C.地壳处于沉降时期 D.地下永久冻土深厚 答案 8.B 9.D 解析 第8题,由材料可知,冬给措纳湖流域的年降水量远低于年蒸发量,该湖泊能够保持 水位的基本稳定,依靠的是河流水的常年补给,使得湖水的收支平衡,水位基本稳定,B正 确。这种湖泊水位的基本稳定主要与区域水量平衡有关,与地壳运动、泥沙淤积以及人类干 预关系不大。第9题,冬给措纳湖流域北部湿地的形成,一是歇马昂里河流速缓慢;二是因 有大面积深厚的永久冻土层,阻挡河流水下渗,使歇马昂里河下游水流拥堵,形成大面积湿 地,D正确。 10.(2023·江苏苏州模拟)阅读图文材料,完成下列问题。(24分) 材料一 西藏天然饮用水多呈天然弱碱性,富含多种天然常量及微量元素,开发利用价值极 高。近年来,天然饮用水产业已成为西藏自治区新的经济增长点。2019年,全区共有天然 饮用水企业38家,其中较大规模企业6家,设计总产能突破500万吨,实际产销量6 068万 吨,产品绝大部分销往区外。品牌认知度不高、水的重量大和物流成本高等原因限制了西藏 天然饮用水产业的发展。 材料二 西藏的天然饮用水企业主要集中在拉萨、日喀则、林芝等中心城镇,边远地区和农 牧区分布少。据初步统计,全区天然饮用水产业带动直接就业近万人,带动间接就业约 3万 人。下图为西藏水系简图。(1)从水资源的角度,分析西藏发展天然饮用水产业的优势。(6分) (2)简述西藏天然饮用水产业布局在中心城镇的有利条件。(6分) (3)说出西藏天然饮用水销往区外的最主要的运输方式,并分析原因。(6分) (4)为打破西藏天然饮用水产业发展中的销售困境提出合理化建议。(6分) 答案 (1)亚洲水塔,水资源丰富;西藏天然饮用水多呈天然弱碱性,富含多种天然常量及 微量元素,水质优;人类活动少,污染小。 (2)基础设施较完善;配套协作条件好;人口较密集,劳动力较丰富。 (3)铁路运输。原因:饮用水质量大、距离市场远。 (4)加大网络营销力度,进一步拓宽销售渠道;发挥对口援藏政策优势,拓宽区外销售渠道, 拓展市场;扩大产能,降低成本,提高市场占有率;打造品牌,提升市场知名度。