当前位置:首页>文档>第一部分第五章课时30陆地水体间的相互关系_9.2025地理总复习_2025年新高考资料_一轮复习_2025高考大一轮复习讲义+练习(完结)_2025高考大一轮复习地理(湘教版)

第一部分第五章课时30陆地水体间的相互关系_9.2025地理总复习_2025年新高考资料_一轮复习_2025高考大一轮复习讲义+练习(完结)_2025高考大一轮复习地理(湘教版)

  • 2026-03-17 02:44:35 2026-03-14 00:38:30

文档预览

第一部分第五章课时30陆地水体间的相互关系_9.2025地理总复习_2025年新高考资料_一轮复习_2025高考大一轮复习讲义+练习(完结)_2025高考大一轮复习地理(湘教版)
第一部分第五章课时30陆地水体间的相互关系_9.2025地理总复习_2025年新高考资料_一轮复习_2025高考大一轮复习讲义+练习(完结)_2025高考大一轮复习地理(湘教版)
第一部分第五章课时30陆地水体间的相互关系_9.2025地理总复习_2025年新高考资料_一轮复习_2025高考大一轮复习讲义+练习(完结)_2025高考大一轮复习地理(湘教版)
第一部分第五章课时30陆地水体间的相互关系_9.2025地理总复习_2025年新高考资料_一轮复习_2025高考大一轮复习讲义+练习(完结)_2025高考大一轮复习地理(湘教版)
第一部分第五章课时30陆地水体间的相互关系_9.2025地理总复习_2025年新高考资料_一轮复习_2025高考大一轮复习讲义+练习(完结)_2025高考大一轮复习地理(湘教版)
第一部分第五章课时30陆地水体间的相互关系_9.2025地理总复习_2025年新高考资料_一轮复习_2025高考大一轮复习讲义+练习(完结)_2025高考大一轮复习地理(湘教版)
第一部分第五章课时30陆地水体间的相互关系_9.2025地理总复习_2025年新高考资料_一轮复习_2025高考大一轮复习讲义+练习(完结)_2025高考大一轮复习地理(湘教版)
第一部分第五章课时30陆地水体间的相互关系_9.2025地理总复习_2025年新高考资料_一轮复习_2025高考大一轮复习讲义+练习(完结)_2025高考大一轮复习地理(湘教版)
第一部分第五章课时30陆地水体间的相互关系_9.2025地理总复习_2025年新高考资料_一轮复习_2025高考大一轮复习讲义+练习(完结)_2025高考大一轮复习地理(湘教版)
第一部分第五章课时30陆地水体间的相互关系_9.2025地理总复习_2025年新高考资料_一轮复习_2025高考大一轮复习讲义+练习(完结)_2025高考大一轮复习地理(湘教版)
第一部分第五章课时30陆地水体间的相互关系_9.2025地理总复习_2025年新高考资料_一轮复习_2025高考大一轮复习讲义+练习(完结)_2025高考大一轮复习地理(湘教版)
第一部分第五章课时30陆地水体间的相互关系_9.2025地理总复习_2025年新高考资料_一轮复习_2025高考大一轮复习讲义+练习(完结)_2025高考大一轮复习地理(湘教版)
第一部分第五章课时30陆地水体间的相互关系_9.2025地理总复习_2025年新高考资料_一轮复习_2025高考大一轮复习讲义+练习(完结)_2025高考大一轮复习地理(湘教版)
第一部分第五章课时30陆地水体间的相互关系_9.2025地理总复习_2025年新高考资料_一轮复习_2025高考大一轮复习讲义+练习(完结)_2025高考大一轮复习地理(湘教版)

文档信息

文档格式
docx
文档大小
2.239 MB
文档页数
14 页
上传时间
2026-03-14 00:38:30

文档内容

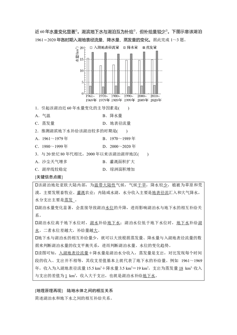
课时 30 陆地水体间的相互关系 1.相互联系的陆地水体 (1)概念:地球上的陆地水是指分布在陆地的各类水体的总称。 (2)类型 ①地表水:包括河水、湖泊水、沼泽水、冰川、生物水等。 ②地下水:埋藏于地表以下的水。 回归教材 读选择性必修1教材第90页图4-2“陆地上的水体及其相互关系示意”,在下 图中添加箭头以表示水体之间的相互补给关系。 答案 2.河流的补给 我国主要分布 径流量的季节变 补给类型 补给特点 主要影响因素 地区 化示意图 雨水补给(最 流域降水量及其 不连续性和集中性 东部季风区 重要) 变化 季节性积雪 气温高低、积雪 连续性和日变化 东北地区 融水补给 厚度、地形状态 冰川融水补 从多年平均来看, 西北和青藏高原 气温高低 给 对河流径流的丰枯 地区具有调节作用 湖泊水位与河流 湖泊和沼泽 削峰补枯,使河流 水位的高低关 普遍 水补给 径流过程趋于缓和 系、湖泊规模和 所在位置 深层地下水补给稳 定,水量只有年际 地下水水位与河 地下水补给 变化;浅层地下水 流水位的高低关 普遍 补给水量有明显的 系 季节变化 概念辨析 季节性积雪融水补给与冰川融水补给 (1)季节性积雪融水补给主要在纬度较高地区,春季气温回升,季节性积雪融水大量补给河 流形成春汛。 (2)冰川融水补给是在高海拔地区,夏季气温升高,高山冰川融水补给河流形成夏汛。在干 旱地区,以冰川融水补给为主的河流,冬季多出现断流。 思考 河流水与地下水、湖泊水之间是不是总是存在相互补给的关系? 答案 河流水与地下水、湖泊水之间并不总是存在相互补给的关系。在特殊情况下,如黄河 下游为地上河,河流水位总是高于地下水位,因此总是河流水补给地下水;河流源头的湖泊 水位总是高于河流水位,因此总是湖泊水补给河流水。 1.河流补给类型的判断方法 (1)依据河流流经地区的气候、地形条件判断 补给 汛期 分布 热带雨林气候区;热带草原气候区; 取决于降水的季 湿润区 雨水 季风气候区;地中海气候区;温带海 节变化 洋性气候区 温带、亚寒带等 冬季有降雪的地 季节性积雪融水 春季 区:我国东北地 干旱区 温带大陆性气候区 区、俄罗斯等 河流发源于高大 永久性积雪和冰 夏季(主要) 山体,山体海拔 川融水 高于当地雪线 (2)依据径流变化过程判断以雨水补给为主的河流,其径流量与降水变化一致;以冰雪融水补给为主的河流其径流量取 决于气温,河流径流高峰在夏季;以地下水补给为主的河流,径流平稳;湖泊对径流具有调 节作用,使径流过程趋于缓和;春季有明显汛期的河流则为季节性积雪融水补给。 2.河流流量曲线图的判读 (1)识别图中纵、横坐标代表的地理事物名称、单位及数值,特别是纵坐标。 一般横坐标表示时间变化,纵坐标反映数值特征(高低、变化幅度以及极值出现的时间)。上 面甲、乙两图中横坐标均表示时间,甲图中纵坐标为河流流量与降雨量,乙图中纵坐标为河 流流量与气温。 (2)以横坐标的时间变化为主线,结合流量过程曲线的数值变化,分析其水文特征 ①阅读图中流量过程曲线,依据纵坐标中的流量数值(绝对值或相对值)推断河流全年流量(或 多年平均流量)的大小。 ②分析图中流量过程曲线的变化幅度,确定河流流量的枯水期、丰水期(或枯水年、丰水年) 的时间段、丰水期和枯水期流量的差值大小;是否有断流,断流出现在哪几个月份等;说明 河流流量年内季节变化规律(或流量年际变化规律)。如上图,甲河流量较大,汛期出现在4 ~7月份,冬季是枯水期。乙河流量较小,气温越高,流量越大,冬季出现断流。 (3)结合河流的流量,并对照河流汛期确定河流的补给形式 ①汛期出现在夏秋季、枯水期在冬春季的河流,一般多为雨水补给,但地中海气候区河流刚 好相反。 ②汛期出现在夏季的河流,除雨水补给外,也可能是永久性积雪和冰川融水补给。 ③春季和夏季出现两个汛期的河流,除雨水补给外,还可能有季节性积雪融水补给。 ④河流在冬季断流可能是河水封冻的缘故,内流河往往是由于气温低,冰川不融化,没有冰 雪融水补给所致。 ⑤曲线变化和缓,多是地下水补给,也可能是热带雨林气候区或温带海洋性气候区的河流。 如上图,甲河流量与降水量的对应关系明显,说明以雨水补给为主;乙河流量与气温的对应 关系明显,说明以冰雪融水补给为主。 (4)确定河流所在区域的气候特征 图中甲河水量丰富,主要分布于我国东南沿海的季风气候区;乙河水量较小,主要分布于我 国西北内流区,以温带大陆性气候为主。 (2022·湖南地理)位于中亚的某内陆咸水湖,拥有较丰富的湿地和动植物资源,该湖泊近60年水量变化显著。湖滨地下水与湖泊互为补给,但补给量较少。下图示意该湖泊 1961~2020年各时期入湖地表径流量、降水量、蒸发量的变化。据此完成1~3题。 1.引起该湖泊近60年水量变化的主导因素是( ) A.气温 B.降水量 C.蒸发量 D.地表径流量 2.推测湖滨地下水补给该湖泊较多的时期是( ) A.1961~1979年 B.1970~1989年 C.1980~1999年 D.2000~2020年 3.与20世纪80年代相比,2000年以来该湖泊湖岸地区( ) A.沙尘天气增多 B.灌溉面积扩大 C.湖岸线较稳定 D.绿洲面积增加 [关键信息点拨] 该湖泊地处亚欧大陆内部,为温带大陆性气候,气候干旱,降水较少,植被为草原和荒 漠,主要发展畜牧业、灌溉农业;内陆咸水湖,水分收入主要是地表径流汇入和大气降水, 水分支出主要是蒸发_。 湖泊水量变化显著,会直接导致湖泊水位的升降,进而影响湖泊水与地下水的相互补给关 系。 湖泊水位高于地下水位时,湖水补给地下水;湖泊水位低于地下水位时,地下水补给湖 水。二者水位差越大,补给量越大。 地下水与湖泊水的相互补给量少,就可以大致根据蒸发量、降水量与入湖地表径流量的数 据来判断湖泊水量的收支平衡关系,进而判断湖泊水量、水位的变化趋势。 读图可知,入湖地表径流量+降水量是湖泊水分收入,蒸发量是支出,对比发现每个时间 段的收入、支出并不相等,其收支差值基本上就代表了地下水的补给量。例如 1961~1969 年,收入为入湖地表径流量15.5 km3+降水量3.5 km3=19 km3,支出为蒸发量18 km3, 收入 与支出的差值为1 km3,收入大于支出,也就是湖泊水补给地下水。 [地理原理再现] 陆地水体之间的相互关系 简述湖泊水和地下水之间的相互补给关系。答案 湖泊水位高于地下水位时,湖泊补给地下水;湖泊水位低于地下水位时,地下水补给 湖水。水位差越大,补给量越大。 答案 1.D 2.B 3.D 解析 第1题,气温一般是通过蒸发来影响湖区水量的,气温越高、蒸发量越大,水量可能 就越少。蒸发量虽然也受湖面面积、风力大小、空气湿度、太阳辐射、气压等因素的共同影 响,但主要是受气温影响。图中蒸发量变化幅度较小,意味着气温没有趋势性明显的变化, A、C错;柱状图显示,降水量略有波动,但没有明显的趋势性变化,与“水量变化显著” 不符,B错;图示中,有明显变化趋势的只有入湖地表径流量,D正确。第2题,材料信息 表明,湖滨地下水与湖泊互为补给,补给方向取决于两者的水位高低,读图可知,1961~ 1969年,入湖地表径流量+降水量>蒸发量,湖泊水位应上升,此时湖水补给湖滨地下水; 1970~1989年,入湖地表径流量+降水量<蒸发量,湖泊水量明显减少,水位明显下降, 此时湖滨地下水补给湖水明显;1990~2020年,入湖地表径流量与降水量之和略大于蒸发 量,湖泊水位缓慢上升,此时湖滨地下水与湖水之间相互补给量不大。因此湖滨地下水补给 该湖泊较多的时期是1970~1989年,故选B。第3题,根据湖区水量收支差额比较,20世 纪80年代蒸发量>入湖地表径流量+降水量,是湖泊面积最小的时期。与 20世纪80年代 相比,2000年以来的降水量基本一致,蒸发量略有增加,而入湖地表径流量增加明显,总 体来说是湖泊的水量收入>支出,湖泊水位升高,湖泊面积扩大,湖岸地区沙尘天气减少, A错;湖泊面积增大,湖岸线向陆地方向移动,C错;入湖地表径流量增大,湖岸地区水资 源条件改善,绿洲面积也相应增加,选D。灌溉面积扩大,会因引入湖河水灌溉而加剧入湖 地表径流量的减少,导致湖泊面积减小,与题意不符,B错。 考向1 通过“河流径流量的变化”考查“综合思维” (2024·河南南阳模拟)阿克苏河位于新疆维吾尔自治区塔里木盆地西部,以山地降水及冰 雪融水补给为主,该流域多年干旱少雨,年平均降水量为 47.3 mm,而蒸发量达 2 100 mm。下图示意1961~2001年阿克苏河径流量距平和阿克苏市年平均气温变化。据此完成1 ~3题。 1.图中信息显示,阿克苏河径流量距平( )A.1974年前后为偏丰 B.20世纪60年代变化幅度最大 C.1994年以后为偏枯 D.20世纪80年代变化幅度最小 2.与1965~1967年阿克苏河径流量距平变化最密切相关的是( ) A.降水量 B.蒸发量 C.全球气候变暖 D.植被破坏 3.1997~2001年,阿克苏市年平均气温变化对阿克苏河水文特征的主要影响是( ) A.河床不断变窄 B.汛期提前 C.径流量持续增加 D.含沙量增大 答案 1.D 2.B 3.B 解析 第1题,据图分析可知,1974年前后该河径流量距平为负值,说明河流径流量较小 1974年前后为偏枯,A错;20世纪90年代径流量距平的变化幅度最大,B错;1994年以后 该河径流量距平为正值,说明河流径流量较大,即1994年以后为偏丰,C错;20世纪80年 代阿克苏河径流量距平的变化幅度最小,D对。第2题,根据材料分析可知,阿克苏河流域 多年干旱少雨,年降水量小,蒸发量大。结合图可知,1965~1967年阿克苏市年平均气温 呈下降,蒸发量减少,使得该时段阿克苏河径流量距平呈增加趋势,B对,C错;阿克苏河 流域年平均降水量较小,对该流域径流量距平变化的影响较小,A错;没有信息显示1965 ~1967年阿克苏河流域植被遭到破坏,D错。第3题,据图分析可知,1997~2001年,阿 克苏市年平均气温呈波动上升趋势,随着气温升高,冰雪消融提前,导致阿克苏河汛期提前, B对;图中显示,1997~2001年,阿克苏河径流量距平波动上升,说明径流量波动增加,C 错;河床特征是水系特征,不是水文特征,A错;根据图文信息无法判断河流含沙量变化状 况,D错。 考向2 通过“河流与地下水的补给关系”考查“区域认知” (2023·江苏南京师大附中模拟)下图是“我国某地地形剖面及该地春季地下水埋藏深度 (地下水面距地面的垂直距离)示意图”。读图,完成4~5题。 4.若①②处有河流经过,则( )A.①处地下水补给河水 B.②处可能是地上河 C.②处地下水补给河水 D.两处都是河水补给地下水 5.该地可能位于( ) A.黄土高原 B.四川盆地 C.华北平原 D.珠江三角洲 答案 4.C 5.D 解析 第4题,如下图,用地形剖面线上某点对应的海拔减去该点对应的地下水埋藏深度即 为该点地下水水位的海拔,将其海拔连成线,即等水位线。据等水位线则可推断出①处河水 水位高于两侧地下水水位,河水补给地下水,A错误;②处则是河水水位低于两侧地下水水 位,地下水补给河水,不可能为地上河,C正确,B、D错误。 第5题,由图可知,该地海拔大部分在30 m以下,而黄土高原海拔在1 000~1 500 m左右, 四川盆地底部海拔在250~750 m左右,A、B排除;该地春季地下水水位较高,且出露地 表,如②处,①处此时河水水位高于地下水水位,河水水位较高,应为我国南方地区,D正 确;我国华北平原春季因气温回升快,蒸发旺盛,雨季尚未到来,降水少,容易形成春旱, 河水水位和地下水水位都较低,C错误。 答题指导 6 河流特征描述 1.河流水文特征分析 水文特 描述特征 影响因素 征要素 高或低,季节变化大或 主要与补给方式、河道特征有关。河流主要的补给 水位 小,汛期出现的时间及长 季节为汛期,此时水位高。河流流量相同的情况短 下,河道的宽窄、深浅影响水位的高低 河流流量的大小主要取决于河流的补给量与流域面 积的大小。一般来讲,补给量与流域面积越大,河 流量 大或小、季节变化大或小 流流量越大;河流流量的季节变化主要取决于河流 的补给方式 与流域内植被状况、地形坡度、地面物质结构及降 水强度等有关。一般来讲,地形坡度越大、地面物 含沙量 大或小 质越疏松、植被覆盖度越差、降水强度越大,河流 含沙量就越大 无结冰期,最冷月均温>0 ℃;有结冰期,最冷月均 结冰期 有或无、长或短 温<0 ℃ 必须具备两个条件:①有结冰期;②由较低纬流向 凌汛 有或无 较高纬的河段 流速 快或慢 地形坡度 2.河流水系特征分析 1.(2024·贵州遵义联考)阅读图文资料,完成下列要求。(16分) 奎屯河发源于天山山脉北麓,注入新疆最大的咸水湖——艾比湖。近 50年来,奎屯河 源头的补给水量增加趋势明显,艾比湖的湖面却不断萎缩,湖滨地区频发沙尘暴。气象数据 显示,将军庙水文站多年平均降水量明显高于乌苏市气象站。目前奎屯河上游建有多座水库 大坝,主要用于防洪、发电以及解决下游农业区灌溉用水。(1)结合材料,试分析奎屯河的水文特征。(8分) (2)指出将军庙水文站多年平均降水量高于乌苏市气象站的原因。(4分) (3)结合材料及所学知识,分析艾比湖湖面不断萎缩的原因。(4分) 答案 (1)以积雪、冰川融水补给为主,径流量较小;夏季气温高,径流量大,冬季可能断 流,径流量季节变化大;流域植被较少,河流含沙量较大;流速较慢,冬季结冰。 (2)该地位于我国新疆西北部,盛行西风挟带水汽到达天山北部,受地形抬升,形成地形雨; 乌苏市气象站位于海拔较低、地势平坦的盆地边缘,水汽受地形抬升作用不明显,降水较少 (或将军庙水文站海拔较高,水汽受地形抬升明显,降水较多)。 (3)气候变暖,湖水蒸发旺盛;上游修建水库大坝以及农业灌溉用水增加,入湖水量减少等。 2.(2023·河南信阳模拟)阅读图文材料,完成下列要求。(20分) 河川径流量的变化对流域生态系统的植被、水循环以及生态环境具有重要影响。布哈河 发源于青海省天峻县疏勒南山,流域最高峰海拔 5 174 m(海拔4 000 m以上终年被冰雪覆盖, 4 000 m以下多为草原)。沙柳河发源于刚察县境内第一高峰桑斯扎山南麓,源头为冰冻沼泽 区。两河径流量占青海湖流域总径流量的64%,年径流量1956~2007年没有显著的变化趋 势,但月径流量差异显著。研究表明,1956~2007年全球气候变暖,高原气候也随之变暖, 但青海湖水位整体呈下降趋势。下图示意青海湖流域布哈河和沙柳河水系分布。 (1)对比分析布哈河与沙柳河水系特征的异同点。(6分)(2)布哈河最大月径流量大于沙柳河,最小月径流量小于沙柳河,试对此做出合理的解释。(4 分) (3)从水量平衡角度,分析1956~2007年青海湖水位整体下降的主要自然原因。(6分) (4)推测气温上升对该流域植被、水生生物的影响。(4分) 答案 (1)相同点:两条河流均为树枝状水系,均由西北向东南流,最终注入青海湖。 不同点:布哈河发源于疏勒南山,流域面积大,支流多,流程长;沙柳河发源于桑斯扎山南 麓的冰冻沼泽,流域面积较小,支流较少,流程较短。 (2)布哈河流域面积较大,以冰川融水和雨水补给为主,对雨季降水、旱季蒸发的响应更敏 感,月径流量季节差异大;沙柳河流域面积小,源头为冰冻沼泽区,涵养水源的能力更强, 旱季时月径流量较布哈河大。 (3)青海湖水量输入有河川径流、雨水,水量输出主要是蒸发和下渗;河流径流量占青海湖 总径流量的比重高,入湖年径流量长期相对稳定;深居内陆,流域多年平均降水量较少,增 幅有限,对湖泊水位的抬升作用不明显;流域气温上升,尤其是冬、春季节气温有所升高, 湖面全年蒸发量增大,导致湖面萎缩。 (4)该流域气温上升,蒸发加强,流域内植被向耐旱种类演替;旱季径流量进一步减少,青 海湖水位下降,盐度上升,水生生物向咸水生物演替。 课时精练 (2024·山西阳泉统考)某节目摄制组到欧洲采访,历时一年,绘制出“欧洲四条河流的相 对流量(单位:万立方米/秒)变化示意图”。读图完成1~2题。 1.图中河流流量变化受气温影响明显的是( ) A.①③ B.③④ C.②④ D.②③ 2.①②③④四条河流的主要补给类型分别为( ) A.雨水、冰川融水、季节性积雪融水、雨水 B.冰川融水、季节性积雪融水、雨水、雨水C.雨水、雨水、冰川融水、季节性积雪融水 D.雨水、冰川融水、雨水、季节性积雪融水 答案 1.D 2.A 解析 图示为欧洲的河流,其中①河流的径流量变化较大,丰水期在冬季,枯水期在夏季, 有可能是分布在地中海气候区的河流,冬季受西风带的影响,降水多,主要靠雨水补给;② 河流7、8月(一年中气温最高时)径流量最大,说明受气温的影响大,主要是冰川融水补给; ③河流的汛期在春季,应该是以季节性积雪融水补给为主,受气温影响明显;④河流的径流 量较稳定,变化小,主要为温带海洋性气候的雨水补给。故第1题选D,第2题选A。 (2024·广西河池模拟)呼伦湖(如图)流域上游的阿尔山火山群是亚洲最大的火山群,玄武 岩地下水成为呼伦湖重要的补给水源。据此完成3~4题。 3.玄武岩地下水成为呼伦湖重要的补给水源,其必备条件有( ) ①玄武岩多气孔 ②玄武岩埋藏浅 ③断裂带发育 ④向斜构造发育 A.①③ B.①④ C.②③ D.②④ 4.推测由玄武岩地下水形成的流入呼伦湖的支流( ) A.水温较低 B.含沙量大 C.汛期较长 D.终年不冻 答案 3.A 4.D 解析 第3题,结合所学知识可知,玄武岩多气孔,孔隙中的储水量大,①正确;玄武岩中 的地下水可以通过断裂带向上运移,因此需要有连接玄武岩和地表的断裂带,与埋藏深度关 系不大,②错误、③正确;玄武岩为岩浆岩,由火山喷发形成,向斜构造形成于沉积岩中, ④错误。故选A。第4题,地下水埋藏于地下,受外界气温影响较小,且该流域上游的阿尔 山火山群是亚洲最大的火山群,使地下水可能受到地热的影响而终年不冻,其水温不会太低, A错误、D正确;该流域河湖较多,水分较为充足,植被主要以草原为主,水土流失程度较 轻,含沙量较小,B错误;该地以温带大陆性气候为主,降水主要在夏季,汛期较短,且地 下水补给较稳定,以地下水补给为主的河流无明显汛期,C错误。 (2023·湖南邵阳模拟)基流又称底水,即枯水期河流所能维持的最小水流。研究表明,土壤中的磷在一定条件下随着基流进入河流,成为河流的重要污染源。下表反映浙江省上梧溪 流域2021年3、4、8月的降雨量、蒸发量、基流深度及基流TP负荷量(注:TP负荷量是指 一定时段内由污染源进入水体的磷总量)。据此完成5~7题。 月份 降雨量/mm 蒸发量/mm 基流深度/mm 基流TP负荷量/kg 3 207.4 39.8 84.74 231.46 4 84.9 65.1 47.33 133.22 8 215 96.2 51.54 69.54 5.基流的主要补给水源是( ) A.雨水 B.湖泊水 C.地下水 D.积雪融水 6.基流径流量3月比4月大的原因可能有( ) ①植被需水量较多 ②农业生产灌溉用水量较多 ③植被需水量较少 ④农业生产灌溉用水量较少 A.①② B.①④ C.②③ D.③④ 7.8月比3月基流TP负荷量低的原因可能是( ) A.8月地表径流量大 B.8月植物快速生长需肥量大 C.3月地表径流量小 D.3月植物返青需肥量大 答案 5.C 6.D 7.B 解析 第5题,结合材料“基流又称底水,即枯水期河流所能维持的最小水流”可知,基流 在枯水期仍然有水源补给,说明其主要补给水源是常年性的,可以常年大范围补给整个流域 的只有地下水,故选C。第6题,结合材料,基流径流量3月比4月大主要是由于此时该地 区刚进入春季,气温较低,植被需水量较少;大部分农作物刚刚播种,农业生产灌溉用水量 较少,③④正确,故选D。第7题,结合材料“TP负荷量是指一定时段内由污染源进入水 体的磷总量”可知,其主要来源是农业活动中过量施肥产生的污染,8月比3月基流TP负 荷量低是因为8月植物生长旺盛,吸收肥料的数量大于3月;径流量可以改变水体中磷含量 的浓度,但不能改变TP负荷量,故选B。 8.(2023·安徽淮南模拟)阅读图文材料,完成下列要求。(26分) 材料一 鄱阳湖是我国第一大淡水湖,位于长江中下游南岸,高水位(20 m)时湖区面积超过 4 125 km2。一般来说,鄱阳湖的枯水期为10月到次年3月。鄱阳湖水位及五大河流(赣江、 抚河、信江、饶河、修水)径流量与长江的来水量密切相关。图1为鄱阳湖及周边水系图, 图2为长江与鄱阳湖多年平均作用频率图(河湖作用需达到一定流量标准)。 材料二 2022年9月18日,进入极枯水位的鄱阳湖通江水体面积萎缩,在裸露的湖滩中,由逐渐干涸的河道组成的“大地之树”(图3)呈现于扇三角洲上(注:扇三角洲是由邻近高地 推进到海、湖等稳定水体中的冲积扇,它是河流与海、湖共同作用的结果),让人们惊叹于 自然界的鬼斧神工。 (1)据图2指出正常年份不同时间段长江与鄱阳湖水体的补给关系。(6分) (2)指出2022年7、8月鄱阳湖面积大减的原因及由此带来的不利影响。(8分) (3)描述2022年鄱阳湖“大地之树”景观的形成过程。(4分) (4)为保持鄱阳湖水位稳定,有专家建议在湖口建闸,丰水期蓄水后关闭湖口闸门。对此方 案分析其利弊。(8分) 答案 (1)4~6月以鄱阳湖补给长江为主;7~10月长江水位高,补给鄱阳湖;11月~次年3 月,流量小,补给作用不明显。 (2)原因:鄱阳湖流域降水比往年异常偏少(五大河来水偏少);长江中上游地区降水偏少,长 江补给作用弱;(副高控制时间长)晴天多,气温高,水面蒸发量大;应对干旱,农业灌溉用水增多。 影响:农业灌溉用水紧张,导致农业减产;自来水取水点不断降低,影响用水安全;影响湖 区船只通航,同时提高了其他产业的运输成本;地表水缺乏,地下水位降低,流域生态用水 减少,威胁动植物生存。 (3)2022年鄱阳湖流域持续高温干旱,导致鄱阳湖水位快速下落,扇三角洲上高低起伏的湖 床逐渐裸露,湖底泥沙在不均衡的流水侵蚀作用下,形成深浅宽窄不同的冲沟,形似“大地 之树”。 (4)利:蓄水后关闭闸门水位高,增加淡水资源;枯水期湖泊面积扩大,水量稳定,利于发 展航运;稳定湖区生态环境,维护生物多样性。 弊:水位高,浅滩湿地面积缩小,不利于越冬候鸟栖息觅食;对长江调蓄作用减弱,旱涝灾 害增加;影响长江鱼类洄游,影响鱼类生长繁殖。