当前位置:首页>文档>第三章 第3讲 课时18 海陆分布对气压带和风带的影响_9.2025地理总复习_2025年新高考资料_一轮复习_2025高考大一轮复习讲义+练习(完结)_2025高考大一轮复习地理(人教版)

第三章 第3讲 课时18 海陆分布对气压带和风带的影响_9.2025地理总复习_2025年新高考资料_一轮复习_2025高考大一轮复习讲义+练习(完结)_2025高考大一轮复习地理(人教版)

  • 2026-04-04 20:47:23 2026-03-14 01:11:10

文档预览

第三章 第3讲 课时18 海陆分布对气压带和风带的影响_9.2025地理总复习_2025年新高考资料_一轮复习_2025高考大一轮复习讲义+练习(完结)_2025高考大一轮复习地理(人教版)
第三章 第3讲 课时18 海陆分布对气压带和风带的影响_9.2025地理总复习_2025年新高考资料_一轮复习_2025高考大一轮复习讲义+练习(完结)_2025高考大一轮复习地理(人教版)
第三章 第3讲 课时18 海陆分布对气压带和风带的影响_9.2025地理总复习_2025年新高考资料_一轮复习_2025高考大一轮复习讲义+练习(完结)_2025高考大一轮复习地理(人教版)
第三章 第3讲 课时18 海陆分布对气压带和风带的影响_9.2025地理总复习_2025年新高考资料_一轮复习_2025高考大一轮复习讲义+练习(完结)_2025高考大一轮复习地理(人教版)

文档信息

文档格式
docx
文档大小
1.303 MB
文档页数
4 页
上传时间
2026-03-14 01:11:10

文档内容

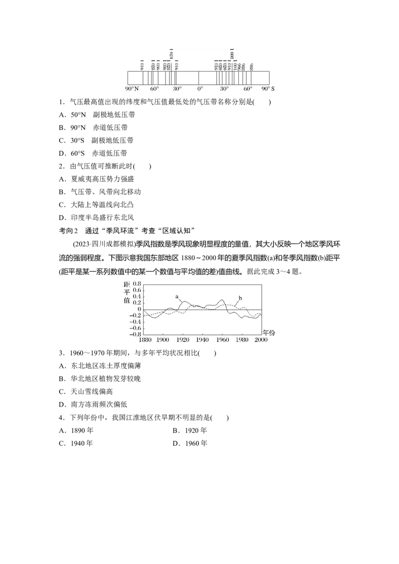
课时 18 海陆分布对气压带和风带的影响 1.海陆分布对气压带分布的影响 (1)原因:海陆的______差异。 ①冬季:陆地降温比海洋快,陆地气温较低,出现冷高压。 ②夏季:陆地增温比海洋快,陆地气温较高,出现热低压。 特别提醒 海陆热力差异的含义 海洋和陆地在热力性质方面存在差异——陆地的比热容比海洋小得多,即每升高或降低 1 ℃,陆地所需吸收或放出的热量要比海洋少。故陆地升温快、降温快,而海洋升温慢、降温 慢。 (2)影响 ①北半球:使纬向分布的________被分裂为一个个高、低____________。 ②南半球:______面积占绝对优势,气压带基本上呈______状分布。 回归教材 读选择性必修1教材第51页图3.12“1月海平面等压线分布”和图3.13“7月 海平面等压线分布”,在下图中填出虚线处的气压带及亚欧大陆气压中心的名称,并简述海 陆分布对北半球气压带的影响。 ________________________________________________________________________ ________________________________________________________________________ ________________________________________________________________________ 2.季风环流(1)概念:海陆上气压中心的季节变化,引起一年中盛行风向随__________有规律地变换, 形成季风。 (2)成因:海陆热力差异和___________________________________________。 ①海陆热力差异 ②气压带、风带的季节移动:信风越过赤道,受地转偏向力的影响,风向改变。 思考 结合上面季风示意图,简述南亚7月西南季风和澳大利亚1月西北季风的成因。 ________________________________________________________________________ ________________________________________________________________________ 东亚季风和南亚季风的比较 项目 东亚季风 南亚季风 季节 冬季 夏季 冬季 夏季 风向 西北风 东南风 东北风 西南风 蒙古、西伯利亚(亚 源地 蒙古、西伯利亚 太平洋 印度洋 欧大陆内部) 海陆热力差异及气压带、风带的季节移 成因 海陆热力差异 动 温带:寒冷干燥 性质 炎热多雨 温暖干燥 高温高湿 亚热带:温和少雨 比较 冬季风强于夏季风 夏季风强于冬季风 分布地区 我国东部、朝鲜半岛、日本等 印度半岛、中南半岛、我国西南地区等 亚热带季风气候、温带季风气 气候类型 热带季风气候 候 对农业 有利 雨热同期 生产的 不利 旱涝、寒潮等灾害 旱涝灾害 影响(2021·山东地理)“克拉香天气”出现在越南沿海地区,是一种持续时间较长的雾天伴 随蒙蒙细雨的天气,这种天气在越南北部沿海比南部沿海出现的概率更大。下图示意克拉 香天气出现时段的风向。据此完成1~2题。 1.越南北部沿海出现克拉香天气的概率更大,主要因为北部沿海比南部沿海( ) ①风速小 ②地面温度低 ③地势低 ④空气湿度大 A.①② B.①③ C.②④ D.③④ 2.克拉香天气易出现的时间段是( ) A.2~4月 B.5~7月 C.8~10月 D.11~次年1月 [关键信息点拨] “越南沿海地区”地处热带,气温较高,且靠近海洋,______旺盛,水汽丰富。 结合所学知识可知,雾天出现要有较充足的______,且温度可以下降到水汽达到饱和状 态。“持续时间较长”说明大气较______,即大气运动弱,如风力小、逆温现象等。 与南部沿海相比,北部沿海纬度______,地面温度____,海域面积______,且东部的海南 岛对______风有阻挡作用,导致北部沿海风力______。 结合所学知识可知,该区域夏季盛行______风,冬季盛行______风,从图中看出,此时该 区域盛行______风,据此可推测该区域正处于冬夏季风转换的季节。 答案 1.______ 2.______ 考向1 通过“海陆分布对气压带的影响”考查“综合思维” 读“90°E附近海平面气压图(单位:hPa)”,回答1~2题。1.气压最高值出现的纬度和气压值最低处的气压带名称分别是( ) A.50°N 副极地低压带 B.90°N 赤道低压带 C.30°S 副极地低压带 D.60°S 赤道低压带 2.由气压值可推断此时( ) A.夏威夷高压势力强盛 B.气压带、风带向北移动 C.大陆上等温线向北凸 D.印度半岛盛行东北风 考向2 通过“季风环流”考查“区域认知” (2023·四川成都模拟)季风指数是季风现象明显程度的量值,其大小反映一个地区季风环 流的强弱程度。下图示意我国东部地区 1880~2000年的夏季风指数(a)和冬季风指数(b)距平 (距平是某一系列数值中的某一个数值与平均值的差)值曲线。据此完成3~4题。 3.1960~1970年期间,与多年平均状况相比( ) A.东北地区冻土厚度偏薄 B.华北地区植物发芽较晚 C.天山雪线偏高 D.南方冻雨频次偏低 4.下列年份中,我国江淮地区伏旱期不明显的是( ) A.1890年 B.1920年 C.1940年 D.1960年