当前位置:首页>文档>第三章 第4讲 课时19 影响气候的主要因素_9.2025地理总复习_2025年新高考资料_一轮复习_2025高考大一轮复习讲义+练习(完结)_2025高考大一轮复习地理(人教版)

第三章 第4讲 课时19 影响气候的主要因素_9.2025地理总复习_2025年新高考资料_一轮复习_2025高考大一轮复习讲义+练习(完结)_2025高考大一轮复习地理(人教版)

  • 2026-03-31 23:34:48 2026-03-14 01:13:51

文档预览

第三章 第4讲 课时19 影响气候的主要因素_9.2025地理总复习_2025年新高考资料_一轮复习_2025高考大一轮复习讲义+练习(完结)_2025高考大一轮复习地理(人教版)
第三章 第4讲 课时19 影响气候的主要因素_9.2025地理总复习_2025年新高考资料_一轮复习_2025高考大一轮复习讲义+练习(完结)_2025高考大一轮复习地理(人教版)
第三章 第4讲 课时19 影响气候的主要因素_9.2025地理总复习_2025年新高考资料_一轮复习_2025高考大一轮复习讲义+练习(完结)_2025高考大一轮复习地理(人教版)
第三章 第4讲 课时19 影响气候的主要因素_9.2025地理总复习_2025年新高考资料_一轮复习_2025高考大一轮复习讲义+练习(完结)_2025高考大一轮复习地理(人教版)
第三章 第4讲 课时19 影响气候的主要因素_9.2025地理总复习_2025年新高考资料_一轮复习_2025高考大一轮复习讲义+练习(完结)_2025高考大一轮复习地理(人教版)
第三章 第4讲 课时19 影响气候的主要因素_9.2025地理总复习_2025年新高考资料_一轮复习_2025高考大一轮复习讲义+练习(完结)_2025高考大一轮复习地理(人教版)
第三章 第4讲 课时19 影响气候的主要因素_9.2025地理总复习_2025年新高考资料_一轮复习_2025高考大一轮复习讲义+练习(完结)_2025高考大一轮复习地理(人教版)
第三章 第4讲 课时19 影响气候的主要因素_9.2025地理总复习_2025年新高考资料_一轮复习_2025高考大一轮复习讲义+练习(完结)_2025高考大一轮复习地理(人教版)
第三章 第4讲 课时19 影响气候的主要因素_9.2025地理总复习_2025年新高考资料_一轮复习_2025高考大一轮复习讲义+练习(完结)_2025高考大一轮复习地理(人教版)
第三章 第4讲 课时19 影响气候的主要因素_9.2025地理总复习_2025年新高考资料_一轮复习_2025高考大一轮复习讲义+练习(完结)_2025高考大一轮复习地理(人教版)
第三章 第4讲 课时19 影响气候的主要因素_9.2025地理总复习_2025年新高考资料_一轮复习_2025高考大一轮复习讲义+练习(完结)_2025高考大一轮复习地理(人教版)
第三章 第4讲 课时19 影响气候的主要因素_9.2025地理总复习_2025年新高考资料_一轮复习_2025高考大一轮复习讲义+练习(完结)_2025高考大一轮复习地理(人教版)
第三章 第4讲 课时19 影响气候的主要因素_9.2025地理总复习_2025年新高考资料_一轮复习_2025高考大一轮复习讲义+练习(完结)_2025高考大一轮复习地理(人教版)

文档信息

文档格式
docx
文档大小
2.002 MB
文档页数
13 页
上传时间
2026-03-14 01:13:51

文档内容

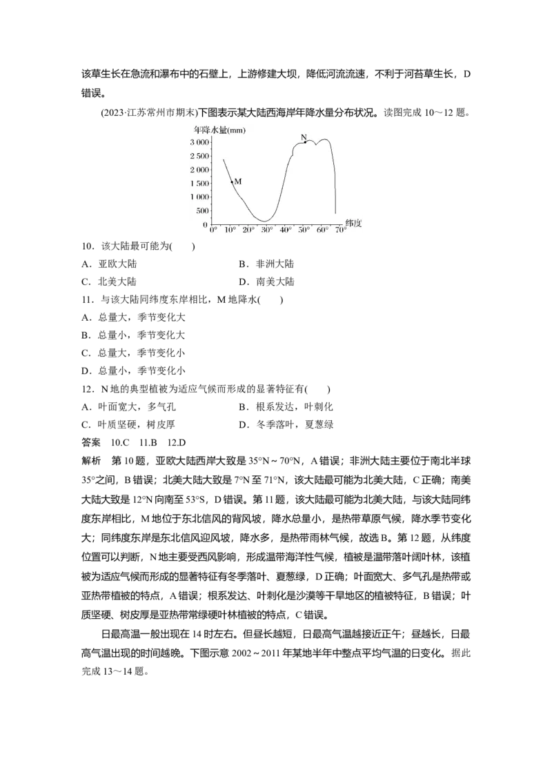
第 4 讲 气压带和风带对气候的影响 [体系架构] [课程标准] 运用示意图,说明气 压带、风带的分布,并分析气压 带、风带对气候形成的作用,以及 气候对自然地理景观形成的影响。 [基本概念] 气候、气温、降水、 对流雨、地形雨、锋面雨、台风 雨。 [基本原理] 气温、降水的影响因 素;气压带和风带对气候的影响; 世界主要气候类型的分布规律及其 气候特点。 课时 19 影响气候的主要因素 1.气压带对气候的影响 气压带 对气候的影响 低压带 盛行上升气流,水汽容易凝结,降水丰富,气候湿润 盛行下沉气流,水汽不易凝结,降水稀少。其中,暖高压控制的地区气候 高压带 炎热干燥,冷高压控制的地区气候寒冷干燥 2.风带对气候的影响 风带 对气候的影响 低纬度→高纬度 气温由高变低,水汽容易凝结,降水较多 高低纬间 高纬度→低纬度 气温由低变高,水汽不易凝结,降水较少 海洋→陆地 水汽充沛,降水较多 海陆间 陆地→海洋 水汽稀少,降水较少 3.气压带和风带的交替控制对气候的影响 (1)受气压带和风带交替控制的地区,气候特点呈现显著的季节差异。 (2)一个地区气候的形成是太阳辐射、大气环流、海陆位置、地形、洋流等因素综合影响的结果。 4.气候与自然景观 (1)同一纬度地区,不同气候类型自然景观不同。 撒哈拉沙漠 我国南方地区 气候类型 热带沙漠气候 亚热带季风气候 气候特征 终年炎热、少雨,温差大 雨热同期,降水丰富 水文 河流稀少 河网密集 风力作用强,空气极为干燥,风沙地貌广 地貌 流水作用强,河流地貌广泛发育 布 只有少数耐干旱的植物生存,形成荒漠景 植被 植被繁茂,形成常绿阔叶林景观 观 (2)不同纬度地区,同一气候类型的不同时间,自然景观不同。举例如下: 塞伦盖蒂和马萨伊马拉均为干湿季分明的热带草原气候。由于赤道低压带的季节移动,每年 5月中下旬,雨带向北移动,塞伦盖蒂地区进入干季,而其北侧的马萨伊马拉会延迟进入干 季,食草动物便追随降水由南往北迁徙到马萨伊马拉;每年10月前后,塞伦盖蒂重返湿季, 由于草原面积较小的马萨伊马拉无法提供长期的食物,食草动物便回迁到塞伦盖蒂。 1.气候要素——气温 (1)影响气温的因素分析 因素 具体表现 纬度低,太阳高度大,太阳辐射能多,气温高,气温日较差大、年较差小; 纬度因素 纬度高,太阳高度小,太阳辐射能少,气温低,气温日较差小、年较差大 沿海:冬季降温慢,夏季升温慢,冬温夏凉,气温年较差小; 海陆位置 内陆:冬季降温快,夏季升温快,冬冷夏热,气温年较差大海拔 地势高,气温低;地势低,气温高 山地 冷空气受阻、堆积,迎风侧气温更低,背风侧气温较高; 阻挡 暖空气受阻、堆积,迎风侧气温更高,背风侧气温较低 地形 封闭 谷地、盆地等地形封闭,热量不易扩散,气温较高 地形 坡向 山地阳坡气温高,阴坡气温低 洋流 暖流增温,寒流降温 冬季风 如距离冬季风源地越近,气温越低 (2)造成两地气温差异因素的分析方法 ①如果是相距较远的南北两地,则年均温大小差异的主要影响因素一般考虑纬度因素。 ②如果是相距较远的东西两地,则年(日)温差大小的主要影响因素一般考虑海陆位置(距海远 近)因素。 ③如果是距离较近的两地,气温大小有明显差异,则一般考虑地形因素。 ④如果是位于大陆同纬度东西岸的两地,则气温大小差异一般要考虑洋流因素。 ⑤如果某地冬温明显偏高,则可能有地形对冬季风起阻挡作用,常考虑地形因素;如果夏温 明显偏低,则可能位于海拔较高的山地或高原。 2.气候要素——降水 (1)形成条件 ①充足的水汽供应; ②气流上升达到过饱和状态; ③有足够的凝结核; ④水滴增大到能降落到地面。 (2)降水的类型 对流雨 地形雨 锋面雨 台风雨 图 示 迎风坡:暖湿空气被 迫抬升,气温降低, 冷、暖气团相 成 大气受热膨胀上升, 暖湿空气围绕台风 饱和空气成云致雨。 遇,暖气团上 因 水汽在高空冷却凝结 中心旋转上升 背风坡:空气下沉, 升,水汽冷凝 气温升高,降雨减少 强度大、历时短、范 强度大,多为暴 特 在迎风坡产生降水, 持续的时间长, 围小,常伴有暴风、 雨,且常伴有狂 征 背风坡降水少 范围广,强度小 雷电 风、雷电,历时短 分 主要在赤道地区,我 山地的迎风坡 我国东部地区夏 我国夏秋季节的东国夏季的午后也会出 布 秋季节 南沿海地区 现 (3)影响降水的因素分析 因素 具体表现 ①气流上升易形成降水,如赤道低压带; ②风由低纬度吹向高纬度易形成降水,如西风带控制区降水较多; 大气环流 ③副热带高压带或信风带控制区降水较少; ④风由海洋吹向陆地易形成降水,如夏季风 海陆位置 深居内陆,大陆性强,降水少;位于沿海,海洋性强,降水丰富 坡向 迎风坡降水多,背风坡降水少 地 平原利于水汽深入;盆地、谷地地形封闭,水汽难以进入;赤道附近地势 类型 形 高的地区,对流减弱,降水减少 山脉走向 与气流方向平行,有利于水汽深入;与气流方向垂直,阻挡水汽深入 洋流 暖流增湿;寒流减湿 下垫面 植被覆盖率高,水域面积大,大气中水汽含量充足;裸地水汽含量少 人类活动 凝结核(城市雨岛) (4)造成两地降水差异的主要因素的判断方法 ①首先根据经纬度、海陆位置等判断两地所处的气压带、风带位置,即大气环流的不同。 ②如果是相距较近的两地,降水有明显差异,一般考虑受地形(迎、背风坡)因素的影响。 ③如果是同纬度大陆东西两岸的两地,除考虑大气环流因素外,一般还要考虑受洋流因素的 影响。 方法技巧 等温线图的判读(2023·全国文综乙)位于日本海附近的珲春与内陆的辽源各日 最高气温时刻 ( 北京时间 )  的月均值不同。 规定各日最高气温时刻与月均值相差超过 1 小时为偏离 。据此完成1~3题。 1月偏 7月偏 气象 1月各日最高 7月各日最高 经度 纬度 离天 离天 台站 气温时刻均值 气温时刻均值 数/天 数/天 珲春 130.35°E 42.86°N 约14时00分 20.8 约14时40分 19.6 辽源 125.15°E 42.90°N 约13时20分 14.4 约13时50分 17.2 1.珲春7月各日最高气温时刻均值滞后当地正午约( ) A.1小时40分钟 B.2小时00分钟 C.2小时40分钟 D.3小时20分钟 2.珲春的最高气温时刻月均值滞后当地正午的时间长于辽源,原因是珲春( ) A.降水多 B.受海洋影响强 C.风力强 D.受山地影响强 3.辽源冬季偏离天数少,说明辽源冬季多( ) A.雨雪天气 B.温带气旋 C.晴朗天气 D.冷锋过境 [关键信息点拨] 珲春位于日本海沿岸,受海洋影响强,气温的变化缓慢,最高气温时刻出现的比较晚。 辽源位于内陆,大陆性更强,气温的变化比较快,最高气温时刻出现的比较早。 表格中出现的时间均为北京时间,结合表中珲春和辽源的经度,可计算出两者的地方时。 如珲春7月各日最高气温时刻均值为北京时间14:40,珲春经度约130°E,北京时间为 120°E的地方时,经度相差10°,时间相差40 分钟,根据时间计算“东加西减”,可计算出 珲春7月各日最高气温时刻均值为地方时 15 : 20 左右。 偏离天数少即每天的最高气温出现的时刻与月平均值相差少,说明天气比较稳定,正常的 天数多。 [地理原理再现] 影响气温的因素 列举影响气温的因素。 答案 纬度因素、海陆位置、地形、洋流、大气环流(如冬季风)、天气、人类活动等。 答案 1.D 2.B 3.C 解析 第1题,珲春经度约130°E,7月各日最高气温时刻均值约为北京时间14:40,地方时 为15:20左右,滞后当地正午(地方时12:00)约3小时20分钟,选D。第2题,海水的比 热容大于陆地,珲春位于日本海沿岸,受海洋影响大,气温变化缓慢,最高气温出现的时刻较晚;辽源位于内陆,大陆性更强,气温变化比较快,最高气温出现的时刻比较早,选 B。 第3题,偏离天数少,即实际每天的最高气温出现的时刻与月平均值相差少,说明天气正常 的天数多,晴朗天气多,选C。复杂天气会干扰一天中最高气温的出现时刻,排除 A、B、 D。 考向1 通过“影响降水的因素”考查“综合思维” (2024·广东湛江模拟)我国西南地区某市江山交错,起伏剧烈,多喀斯特地貌,常年多雾。 下图示意该市1965~2015年四季降水变化趋势。据此完成1~2题。 1.该市降水主要集中在( ) A.冬春季节 B.春夏季节 C.夏秋季节 D.秋冬季节 2.该市降水从东北至西南递减,其主要影响因素是( ) A.季风、河流 B.地形、光照 C.河流、光照 D.季风、地形 答案 1.B 2.D 解析 第1题,读图可知,该市降水主要集中于夏季和春季,秋季和冬季降水较少,故选 B。第2题,根据材料可知,该市位于我国西南地区,为亚热带季风气候,降水主要来自季 风挟带的海洋上的湿润气流;同时该市江山交错,起伏剧烈,多喀斯特地貌,因此该市降水 区域差异受地形影响,故该市降水空间差异的主要影响因素是季风和地形,D正确;河流和 光照对该市降水影响较小,排除A、B、C。 考向2 通过“气候舒适度”考查“区域认知” (2023·北京海淀区模拟)气候舒适度评价需要综合考量气温、湿度、风和日照对人体热舒 适感的影响。下表为“我国四个城市多年平均气候舒适度统计表”(单位:天数)。据此完成 3~4题。 城市 春季(3~5月) 夏季(6~8月) 秋季(9~11月) 冬季(12月~次年2月) 深圳 74.3 13.8 62.4 86 甲 60.2 83.7 55.5 0.3乙 75.9 14.8 63.6 82.8 丙 76.5 86.1 79.2 25.5 3.推测甲、乙、丙分别是( ) A.兰州、成都、香港 B.长春、广州、贵阳 C.哈尔滨、海口、重庆 D.济南、沈阳、西宁 4.深圳冬季比夏季气候舒适度更高,主要原因是( ) A.气温日较差小 B.空气湿度大 C.盛行东南季风 D.太阳辐射弱 答案 3.B 4.D 解析 第3题,乙地气候舒适度与深圳最接近,可知其纬度位置应大致相同,所以乙地最可 能是广州;甲地冬季气候舒适度最低,说明冬季气候寒冷,纬度位置应该较高,为长春;丙 地春、夏、秋季气候舒适度都较好,可以判断出该地应该是贵阳。故选B。第4题,结合材 料和所学知识可知,深圳12月~次年2月属于冬季,由于该地纬度位置较低,气温较为温 和,相比夏季酷热天气气候舒适度更高,D正确。 课时精练 (2023·江苏南通模拟)赤峰市是内蒙古粮食主产区,主要种植玉米、高粱等。图1为“赤 峰市3个气象站位置示意图”,图2为“1961~2020年赤峰市3个气象站的年平均气温变化 示意图”。据此完成1~3题。1.图2中a、b、c对应的气象站依次为( ) A.赤峰、巴林左旗、林西 B.赤峰、林西、巴林左旗 C.巴林左旗、赤峰、林西 D.巴林左旗、林西、赤峰 2.影响三地气温差异的主要因素有( ) ①纬度位置 ②海陆位置 ③下垫面状况 ④大气环流 A.①② B.①③ C.②③ D.③④ 3.推测气温变化对当地粮食生产的主要影响是( ) A.多熟制向南推移 B.农产品品质提高 C.作物春播期提前 D.作物病虫害减轻 答案 1.A 2.B 3.C 解析 第1题,根据图中信息,赤峰纬度最低、海拔最低,热量最充足,年平均气温最高, 所以a对应赤峰。林西和巴林左旗纬度相当,但巴林左旗海拔低,热量条件更好,年平均气 温较高,b对应巴林左旗,故选A。第2题,据上题分析可以确定纬度位置是影响三地气温 差异的主要因素,①正确;赤峰、巴林左旗、林西三地均位于内蒙古,深居内陆,远离海洋, 都受大陆气团的影响较大,海陆位置、大气环流相差不大,②④错误;下垫面状况存在差异 (如植被覆盖率、农牧区的结构等)也会影响三地气温差异,③正确;选B。第3题,根据图 中气象站气温的变化,可以看出近年来,当地气温呈现波动上升的趋势,热量条件在变好, 当地春季作物春播期提前,C正确;当地热量有限,农作物一般一年一熟,A错误;热量条 件变好,冬季作物病虫害越冬容易,来年病虫害加剧,农产品品质降低,B、D错误。 (2024·山东青岛模拟)阿拉伯联合酋长国(简称阿联酋)年降水量不足100 mm,南部沙漠 不足60 mm,东北部稍多。东北部降水主要集中在2~3月,局部年降水量可达350 mm。 2015年阿联酋启动“造山引雨”项目研究,希望能缓解严重的水资源短缺问题。下图示意 阿联酋地理位置。据此完成4~6题。4.造成阿联酋降水时空分布差异的主要因素是( ) A.海陆位置、纬度 B.太阳辐射、地形 C.大气环流、洋流 D.大气环流、地形 5.阿联酋如果实施“造山引雨”,最适合的造山地点及理由是( ) A.甲—地形平坦,人口稀少 B.乙—地势较高,人口较多 C.丙—缺水严重,临近首都 D.丁—沙漠腹地,极度缺水 6.造山地点选定后,还需要考虑( ) ①山体高度 ②山体走向 ③山体的坡度 ④山体的植被覆盖 ⑤山体沟谷的数量 ⑥造山 对生态环境的影响 A.①②③④ B.①②③⑥ C.②④⑤⑥ D.③④⑤⑥ 答案 4.D 5.B 6.B 解析 第4题,结合图文信息可知,阿联酋东北部降水主要集中在冬半年,且东北部有山地 地形,可以推断,其降水主要是冬半年来自亚欧大陆的冬季风经过海湾加湿作用之后,遇到 山地地形被迫抬升,遇冷形成降水,南部沙漠由于距海湾较远,水汽难以到达,因此造成该 国降水时空分布差异的主要因素是大气环流和地形,故选D。第5题,乙地位于阿联酋东北 部沿海地区,水汽来源较为充足,受由海洋吹来的湿润东北风影响较大,且地势相对较高, 造山成本较低,另外,当地人口较多,需水量大,最适合“造山引雨”,B正确;甲地人口 稀少,水资源需求量少,不适合“造山引雨”,A错误;丙地位于沙漠地区,地势低,造山 成本很大,C错误;丁地位于沙漠腹地,人口极度缺少,同时从海洋挟带的水汽含量已严重 不足,不适合“造山引雨”,D错误。第6题,山体高度过低会造成对湿润空气的抬升不足, 影响降水的形成,①正确;山体走向应尽量和风向保持相互垂直,这样才会截留更多湿润空 气,带来更多降水,②正确;山体坡度过陡则不利于水汽的爬升,甚至可能造成水汽绕过山 体,无法形成有效降水,③正确;植被覆盖度不会影响降水的形成,④错误;山体沟谷的数 量会影响降水之后雨水的汇集,对降水形成关系不大,⑤错误;该地生态环境脆弱,山体建 设要尽可能减少对原有生态环境的破坏,避免出现不可逆转的生态问题,⑥正确。故选B。(2023·江苏南通模拟)某河位于哥伦比亚中部人烟稀少的山区,该河流域为热带草原气候 (下图)。每年7~11月,河水会呈现五彩斑斓的景象,被称为“彩虹河”,由此成为著名的 旅游景点。河流中呈现红色的地方与水生植物河苔草有关,河苔草在不同的光照和水体环境 中呈现不同程度的红色,在荫蔽处为绿色。该草生长在急流和瀑布中的石壁上,要求水体洁 净、透光、透气。近几年,受到人类活动的干扰,河苔草的数量正在减少。据此完成7~9 题。 7.河苔草能够生长在急流和瀑布中的石壁上,是因为其( ) A.根茎抓力强 B.叶片较厚实 C.根系欠发达 D.叶片较宽大 8.每年7~11月,河苔草转为艳丽的红色主要是因为( ) A.湿季泥沙多,营养丰富 B.湿季转干季,光照充足 C.干季转湿季,光照减弱 D.干季降水少,热量充足 9.为了保护河苔草,当地政府可采取的措施是( ) A.关闭附近工厂,消除河流污染 B.下游修建水库,减少河流泥沙 C.限制景区客流,减少生态破坏 D.上游修建大坝,降低河流流速 答案 7.A 8.B 9.C 解析 第7题,由河苔草的生长环境分析可得,河苔草能够生长在急流和瀑布中的石壁上, 是因为河苔草的根茎抓力强,故选A。第8题,根据材料可知,河苔草在不同的光照和水体 环境中呈现不同程度的红色,在荫蔽处为绿色。河苔草转为艳丽的红色需要有充足的光照。 每年7~11月,该地由湿季转干季,光照充足,故选B。第9题,该地是著名的旅游景点, 为了保护河苔草,当地政府可限制景区客流,减少生态破坏,C正确;关闭附近工厂不利于 该地经济发展,不符合实际,A错误;下游修建水库,不会减少该地河流的泥沙,B错误;该草生长在急流和瀑布中的石壁上,上游修建大坝,降低河流流速,不利于河苔草生长,D 错误。 (2023·江苏常州市期末)下图表示某大陆西海岸年降水量分布状况。读图完成10~12题。 10.该大陆最可能为( ) A.亚欧大陆 B.非洲大陆 C.北美大陆 D.南美大陆 11.与该大陆同纬度东岸相比,M地降水( ) A.总量大,季节变化大 B.总量小,季节变化大 C.总量大,季节变化小 D.总量小,季节变化小 12.N地的典型植被为适应气候而形成的显著特征有( ) A.叶面宽大,多气孔 B.根系发达,叶刺化 C.叶质坚硬,树皮厚 D.冬季落叶,夏葱绿 答案 10.C 11.B 12.D 解析 第10题,亚欧大陆西岸大致是35°N~70°N,A错误;非洲大陆主要位于南北半球 35°之间,B错误;北美大陆大致是7°N至71°N,该大陆最可能为北美大陆,C正确;南美 大陆大致是12°N向南至53°S,D错误。第11题,该大陆最可能为北美大陆,与该大陆同纬 度东岸相比,M地位于东北信风的背风坡,降水总量小,是热带草原气候,降水季节变化 大;同纬度东岸是东北信风迎风坡,降水多,是热带雨林气候,故选B。第12题,从纬度 位置可以判断,N地主要受西风影响,形成温带海洋性气候,植被是温带落叶阔叶林,该植 被为适应气候而形成的显著特征有冬季落叶、夏葱绿,D正确;叶面宽大、多气孔是热带或 亚热带植被的特点,A错误;根系发达、叶刺化是沙漠等干旱地区的植被特征,B错误;叶 质坚硬、树皮厚是亚热带常绿硬叶林植被的特点,C错误。 日最高温一般出现在14时左右。但昼长越短,日最高气温越接近正午;昼越长,日最 高气温出现的时间越晚。下图示意2002~2011年某地半年中整点平均气温的日变化。据此 完成13~14题。13.该地整点平均气温的日变化表明,该地( ) A.地势高 B.纬度高 C.植被茂密 D.半年阴雨 14.图中数据信息来自该地区的( ) A.夏半年 B.冬半年 C.上半年 D.下半年 答案 13.B 14.A 解析 第13题,读图可知,该地所示的半年中,日平均气温较低,为-0.5 ℃,且整点平 均气温最高值出现在19时前后。根据材料,昼越长,日最高气温出现的时间越晚,说明该 地此半年昼很长,夜很短,应位于高纬度地区,B正确。其余选项均不能由整点平均气温推 出。第14题,根据材料,昼越长,日最高气温出现的时间越晚,说明该地此半年昼很长, 夜很短,所以图中所示信息为高纬度地区夏半年的气温统计数据,A正确。 15.(2023·山东聊城模拟)阅读图文资料,完成下列要求。(16分) 2022年11月中旬,美国多地雨雪连绵。11月16日开始,美国本土东北部多地普降大 雪,围绕五大湖地区的各州刷新多项降雪记录,并造成交通瘫痪、基础设施损坏等灾害。有 专家分析,“大湖效应”对五大湖地区暴雪起了重要作用。下图为 2022年11月18日某时 刻北美洲部分地区地面天气简图。图示时刻,丹佛的风速比底特律小。 (1)分析造成洛杉矶与查尔斯顿气温差异的主要原因。(4分) (2)结合所学知识分析丹佛风速比底特律小的原因,并在图中绘出底特律的风向。(6分) (3)说明底特律在“大湖效应”影响下,此次降雪的形成过程。(6分) 答案 (1)查尔斯顿位于强大冷高压高压脊控制区,受其影响,天气寒冷;洛杉矶位于低压 槽线附近,受冷高压影响小,气温较高。(2)底特律位于五大湖平原地区,地形平坦,摩擦力小,风速大;丹佛位于西部高原山地地 区,地形起伏大,受山地阻挡作用大,风速较小。 风向见下图: (3)底特律此时吹偏西风,冷空气掠过湖面,较暖的湖水加热低层冷空气,并提供水汽,低 层冷空气被加热后上升,凝结成云,云团抵达对岸并降下大雪。