当前位置:首页>文档>第六章 第1讲 课时34 植被_9.2025地理总复习_2025年新高考资料_一轮复习_2025高考大一轮复习讲义+练习(完结)_2025高考大一轮复习地理(人教版)_配套Word版文档第一部分第三~七章

第六章 第1讲 课时34 植被_9.2025地理总复习_2025年新高考资料_一轮复习_2025高考大一轮复习讲义+练习(完结)_2025高考大一轮复习地理(人教版)_配套Word版文档第一部分第三~七章

  • 2026-04-08 14:46:32 2026-03-14 03:43:59

文档预览

第六章 第1讲 课时34 植被_9.2025地理总复习_2025年新高考资料_一轮复习_2025高考大一轮复习讲义+练习(完结)_2025高考大一轮复习地理(人教版)_配套Word版文档第一部分第三~七章
第六章 第1讲 课时34 植被_9.2025地理总复习_2025年新高考资料_一轮复习_2025高考大一轮复习讲义+练习(完结)_2025高考大一轮复习地理(人教版)_配套Word版文档第一部分第三~七章
第六章 第1讲 课时34 植被_9.2025地理总复习_2025年新高考资料_一轮复习_2025高考大一轮复习讲义+练习(完结)_2025高考大一轮复习地理(人教版)_配套Word版文档第一部分第三~七章
第六章 第1讲 课时34 植被_9.2025地理总复习_2025年新高考资料_一轮复习_2025高考大一轮复习讲义+练习(完结)_2025高考大一轮复习地理(人教版)_配套Word版文档第一部分第三~七章
第六章 第1讲 课时34 植被_9.2025地理总复习_2025年新高考资料_一轮复习_2025高考大一轮复习讲义+练习(完结)_2025高考大一轮复习地理(人教版)_配套Word版文档第一部分第三~七章
第六章 第1讲 课时34 植被_9.2025地理总复习_2025年新高考资料_一轮复习_2025高考大一轮复习讲义+练习(完结)_2025高考大一轮复习地理(人教版)_配套Word版文档第一部分第三~七章
第六章 第1讲 课时34 植被_9.2025地理总复习_2025年新高考资料_一轮复习_2025高考大一轮复习讲义+练习(完结)_2025高考大一轮复习地理(人教版)_配套Word版文档第一部分第三~七章
第六章 第1讲 课时34 植被_9.2025地理总复习_2025年新高考资料_一轮复习_2025高考大一轮复习讲义+练习(完结)_2025高考大一轮复习地理(人教版)_配套Word版文档第一部分第三~七章
第六章 第1讲 课时34 植被_9.2025地理总复习_2025年新高考资料_一轮复习_2025高考大一轮复习讲义+练习(完结)_2025高考大一轮复习地理(人教版)_配套Word版文档第一部分第三~七章

文档信息

文档格式
docx
文档大小
2.624 MB
文档页数
9 页
上传时间
2026-03-14 03:43:59

文档内容

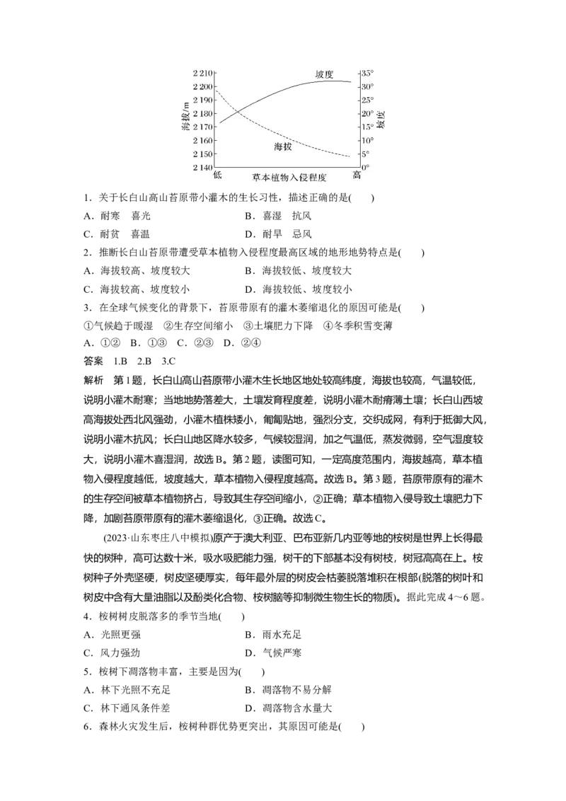
第 1 讲 自然环境的整体性 [课程标准] 1.通过野外观察或运用视频、图像,识别主要植被,说明其与自然环境的关 系。2.通过野外观察或运用土壤标本,说明土壤的主要形成因素。3.运用图表并结合实例, 分析自然环境的整体性和地域分异规律。 [基本概念] 植被、植被类型(如热带雨林);苔原、草原、草甸;土壤、土壤剖面、土壤肥 力(水、肥、气、热)、成土母质、有机质、矿物质;自然环境的整体性、生物循环。 [基本原理] 1.影响植被生长与分布的自然环境要素。2.影响土壤肥力高低的自然因素;影 响土壤水分多少的自然因素。3.自然环境的整体性原理。 [体系架构]课时 34 植被 1.植被与环境 (1)概念:自然界成群生长的各种植物的整体,称为植被,分为天然植被和人工植被。 (2)植被的垂直分层 在稳定的植被中,不同种类的植物群体,通过争夺阳光的生存竞争,占据一定的垂直空间, 从而形成分层明显的垂直结构。植被垂直分层与植被高度、气候条件关系密切。 思考 概括植被与环境的关系。 答案 天然植被一般按概括类型有规律地分布在适宜其生长的地方,对当地的环境具有适应 性;植物生长过程中,也改造其生长的土壤、水分等环境条件。 2.森林 类型 主要分布地区 气候特征 森林特征 植物种类丰富、垂直结构复 热带 热带雨林气候区和热 终年高温、降雨丰沛 杂,多藤本、附生植物,常见 雨林 带季风气候区 茎花、板根等现象 森林常绿,乔木多革质叶片, 常绿阔 亚热带季风气候区和 夏季炎热多雨,冬季 大部分植物的花期集中在春末 叶林 亚热带湿润气候区 温和且无明显干季 夏初,垂直结构较简单 落叶阔 温带季风气候区和温 夏季炎热或温暖,冬 乔木叶片宽阔,春季发叶,秋 叶林 带海洋性气候区 季寒冷,降水适宜 冬季落叶 以松、杉类植物为主的针叶 亚寒带 亚欧大陆和北美大陆 夏季短促、温和,冬 林,树叶缩小为针状,以抗寒 针叶林 的亚寒带地区 季漫长、寒冷 抗旱 回归教材 读必修第一册教材第84页图5.3“热带雨林的茎花和板根现象”,说明该现象 产生的原因。 答案 在热带雨林中,处于中、下层的树木难以与上层植物争夺阳光,无法让鲜花高占枝头, 它们就把花朵开在老枝和树干上,花朵易被昆虫发现,获得授粉的机会增多,有利于繁衍后 代。热带雨林地区常年高温多雨且土壤贫瘠,为了增大与表层土壤的接触面积,大量吸收养 分,支撑高大的树干,于是形成板根。 3.草原与荒漠 类型 主要分布地区 气候特征 植被特征 草 热带雨林一带的南北 全年高温,分干 湿季草原葱绿,干季草类 热带草原 原 两侧 湿两季 枯黄;有的热带草原中散生着乔木或灌木 夏季温暖,冬季 夏绿冬枯,植被高度较热 温带草原 温带地区的大陆内部 寒冷,气候干燥 带草原低 热带至温带的气候干 以旱生的灌木为主,也有 荒漠 干旱,降水稀少 旱地区 些非旱生的短生命植物 思考 热带草原和温带草原枯黄的原因相同吗? 答案 不相同。热带草原干季草类枯黄是适应气候干旱的结果,温带草原冬季草木凋零是适 应气候寒冷的结果。 1.植被与环境的关系 2.森林的功能 固碳释氧,净化空 森林是生态系统中的生产者,能大量吸收二氧化碳,释放出氧气,且 气 能吸收有害气体,释放负离子 ①林冠层:截留雨水,降低雨滴的落地速度,减弱雨水对地面土壤的 溅蚀。 ②枯枝落叶层:截留降水;吸收和阻延地表径流;抑制土壤水分蒸 涵养水源,保持水 发;防止土壤溅蚀;增强土壤抗侵蚀能力;森林土壤土质较为疏松、 土 团粒结构大,入渗性好,可增加降水入渗。故枯枝落叶层的蓄水减沙 效益显著。 ③根系:固土,减缓水流运动 积累营养物质,保 森林在生长过程中积累了大量营养物质,为人类及其他生物提供了食 护生物多样性 物和栖息环境 防风固沙,减轻灾 森林可以降低风速,减轻风沙、台风、霜冻等灾害 害 3.植被形态与自然环境的关系分析(1)植被不适应环境:分布稀疏、没有分布说明该地区环境条件较差,主要从气候、地形、 水文、土壤等方面分析原因。 (2)植被适应环境:能生长、生长旺盛说明植被具有适应该地区环境(尤其是恶劣环境)的能力。 如下表: 植被形态 对环境的适应性 根系发达 耐旱;耐贫瘠;抵抗强风 叶片厚、有蜡质层 反射阳光、减少蒸腾,抗旱 叶子细小 防蒸腾;防热量散失 茎粗壮 储水量大 倾斜 当地风力大 簇状或匍匐在地面 植株低矮,可防强风、保暖、耐土壤贫瘠 花色鲜艳 吸引动物为其传播花粉 生长速度快 当地气候暖季短或雨季短 4.天然植被与气候类型的对应关系(以北半球为例) (2023·山东地理)在亚欧大陆与美洲大陆北部,有一条横贯东西、面积广大的亚寒带针 叶林带,因其生态系统结构简单而被称为“绿色荒漠”,但却具有巨大的生态价值,是全球 重要的生物碳库之一。据此完成1~2题。 1.导致亚寒带针叶林带成为“绿色荒漠”的主要因素是( ) A.光照 B.热量 C.水分 D.土壤 2.亚寒带针叶林碳储量较高的主要原因是( ) A.生长季较长 B.有机物积累多 C.土壤肥力高 D.物种多样性高 [关键信息点拨] 亚欧大陆与美洲大陆北部地区,纬度高,气候寒冷,自然条件恶劣,生态系统结构简单。 气温低,生物循环缓慢,生态系统中有机物积累多,碳储量较大。 [地理原理再现] 影响植被生长与分布的自然地理环境要素请列举影响植被生长的自然环境要素。 答案 地貌、气候、水文、土壤。 答案 1.B 2.B 解析 第1题,由材料“在亚欧大陆与美洲大陆北部,有一条横贯东西、面积广大的亚寒带 针叶林带”,可知亚寒带针叶林生长在高纬度的亚寒带针叶林气候区,气候寒冷,自然条件 恶劣,进而推测在该区域其他树种难以生长,物种单一,只有耐寒的针叶林能够大量生长, 从而形成了生态系统结构简单的“绿色荒漠”,故选B。第2题,由所学知识可知,生态系 统中的碳储量包括生物体内的碳储量和土壤中的碳储量。由材料“横贯东西、面积广大的亚 寒带针叶林带”,得出亚寒带针叶林数量众多,生物体内碳储量较高;又因该区域纬度高、 气温低,土壤中微生物分解、代谢速度慢,土壤中的碳储量较高。整体来看,亚寒带针叶林 生态系统中有机物积累多,碳储量较高,故选B。 考向1 通过“地理环境对植被的影响”考查“区域认知” (2023·浙江海宁模拟)下图是“我国福建武夷山的植被垂直分布图”。据此完成1~2题。 1.关于甲区域的自然植被,判断正确的是( ) A.高山荒漠 B.高山冰雪带 C.亚高山草甸 D.高山针叶林 2.武夷山海拔1 800 m左右分布着苔藓矮林,推测其生长环境为( ) A.温暖,少雨,大风 B.低温,少雨,无风 C.温暖,多雨,无风 D.低温,多雨,大风 答案 1.C 2.D 解析 第1题,武夷山距海洋较近,降水较多,根据垂直带谱的分布规律,甲处位于苔藓矮 林之上,且海拔不算太高,最可能为亚高山草甸,不会形成荒漠,A错误、C正确;武夷山 地处亚热带季风气候区,纬度较低,山体海拔较低,甲处山顶气温较高,无冰雪带分布,B 错误;针叶林应分布在苔藓矮林以下,D错误。第2题,结合图例可看出,苔藓矮林分布在 针叶林以上,分布海拔较高,气温较低,A、C错误;能够生长森林且有苔藓分布,说明其 生长环境水分条件较好,较湿润;矮林植株低矮,树干弯曲,可推测其生长环境多大风,D正确、B错误。故选D。 考向2 通过“植被对地理环境的适应性”考查“综合思维” (2024·广东东莞模拟)重庆市万州区地处三峡库区消落带,该区域冬季淹水、夏季成陆, 由于长时间水陆交替,超过50%的原生植被难以生存,土壤侵蚀严重,生态环境脆弱,有 “世界级难题”之称。当地经过多年的试栽,在消落带已成功引种了600多公顷的湿地大乔 木——中山杉,成为长江航道上一道靓丽的风景。下图为万州区“水中森林”景观。据此完 成3~4题。 3.推测中山杉具有的特征是( ) ①根系较浅 ②耐旱涝 ③耐盐碱 ④树干挺拔 A.①②③ B.②③④ C.①③④ D.①②④ 4.中山杉在解决世界级生态脆弱问题中的表现是( ) A.调节径流、防范洪涝 B.防风固沙、保护农田 C.减少淤积、扩充库容 D.护岸固土、净化水体 答案 3.B 4.D 解析 第3题,据材料可知,中山杉生长在三峡库区消落带,该区域冬季淹水、夏季成陆, 故其具有根系发达、耐旱涝、耐盐碱、树干挺拔的特征,②③④正确,选B。第4题,中山 杉生长在三峡库区消落带,根系发达,可以防止水土流失,降解水中污染物质,起到护岸固 土、净化水体的作用,D正确;但也加快了泥沙沉积,可能会减小库容,C错误;对调节径 流、防范洪涝关系不大,A错误;三峡库区消落带没有农田分布,B错误。 课时精练 (2024·贵州六校联盟模拟)位于长白山西坡海拔2 000~2 500 m的高山苔原,其环境特征 与极地苔原相似,植被以多年生小灌木和苔藓地衣为主,小灌木植株矮小,匍匐贴地,强烈 分支,交织成网。一般情况下,热量需求越高的植被,吸收养分的能力越强。在全球气候变 化的背景下,原先位于较低海拔的草本植物不断上侵,而苔原带原有的灌木开始萎缩退化。 下图为“草本植物入侵程度与环境因子的关系图”。据此完成1~3题。1.关于长白山高山苔原带小灌木的生长习性,描述正确的是( ) A.耐寒 喜光 B.喜湿 抗风 C.耐贫 喜温 D.耐旱 忌风 2.推断长白山苔原带遭受草本植物入侵程度最高区域的地形地势特点是( ) A.海拔较高、坡度较大 B.海拔较低、坡度较大 C.海拔较高、坡度较小 D.海拔较低、坡度较小 3.在全球气候变化的背景下,苔原带原有的灌木萎缩退化的原因可能是( ) ①气候趋于暖湿 ②生存空间缩小 ③土壤肥力下降 ④冬季积雪变薄 A.①② B.①③ C.②③ D.②④ 答案 1.B 2.B 3.C 解析 第1题,长白山高山苔原带小灌木生长地区地处较高纬度,海拔也较高,气温较低, 说明小灌木耐寒;当地地势落差大,土壤发育程度差,说明小灌木耐瘠薄土壤;长白山西坡 高海拔处西北风强劲,小灌木植株矮小,匍匐贴地,强烈分支,交织成网,有利于抵御大风, 说明小灌木抗风;长白山地区降水较多,气候较湿润,加之气温低,蒸发微弱,空气湿度较 大,说明小灌木喜湿润,故选B。第2题,读图可知,一定高度范围内,海拔越高,草本植 物入侵程度越低,坡度越大,草本植物入侵程度越高。故选B。第3题,苔原带原有的灌木 的生存空间被草本植物挤占,导致其生存空间缩小,②正确;草本植物入侵导致土壤肥力下 降,加剧苔原带原有的灌木萎缩退化,③正确。故选C。 (2023·山东枣庄八中模拟)原产于澳大利亚、巴布亚新几内亚等地的桉树是世界上长得最 快的树种,高可达数十米,吸水吸肥能力强,树干的下部基本没有树枝,树冠高高在上。桉 树种子外壳坚硬,树皮坚硬厚实,每年最外层的树皮会枯萎脱落堆积在根部(脱落的树叶和 树皮中含有大量油脂以及酚类化合物、桉树脑等抑制微生物生长的物质)。据此完成4~6题。 4.桉树树皮脱落多的季节当地( ) A.光照更强 B.雨水充足 C.风力强劲 D.气候严寒 5.桉树下凋落物丰富,主要是因为( ) A.林下光照不充足 B.凋落物不易分解 C.林下通风条件差 D.凋落物含水量大 6.森林火灾发生后,桉树种群优势更突出,其原因可能是( )A.其他树种全部枯死 B.大火利于种子萌发 C.林区病虫害加剧 D.林下土壤养分减少 答案 4.B 5.B 6.B 解析 第4题,桉树原产地常年热量充足,雨水充沛的季节木质部生长快,老的树皮会被胀 裂脱落,B正确;光照更强、风力强劲、气候严寒的条件下桉树生长的速度较慢,树皮不易 脱落。第5题,据材料可知,桉树下凋落物中含有大量抑制微生物生长的物质,堆积的树皮 和枯枝落叶不易被微生物分解,故凋落物丰富;林下光照不充足、林下通风条件差、凋落物 含水量大的情况下凋落物不易分解,故凋落物不易分解是主要原因。B正确。第6题,桉树 种子外壳坚硬,需要较长时间腐烂裂开,种子才能自然萌发,森林大火带来的高温利于种子 的外壳爆裂,使其得以快速萌发,导致桉树的占比提高,其种群优势更突出,B正确;其他 树种全部枯死导致生态系统失衡、林区病虫害加剧、林下土壤养分减少不利于桉树生长。 (2023·湖北武汉模拟)胡杨是落叶型乔木,高10~15米,是世界稀有树种之一。胡杨叶 片奇特,有针形、卵圆形、锯齿状扇形等。三种叶片长宽比依次减小,而叶片厚度则依次增 大,表皮蜡质层也逐渐增厚。新疆沙雅县有我国最大胡杨林群落。近几十年来,该县胡杨林 退化,病虫害严重。经生态补水后,胡杨林有所恢复。下图示意沙雅县位置。据此完成7~ 9题。 7.与塔里木河沿岸相比,渭干河冲积扇上胡杨林面积较小,其自然原因是( ) A.土壤含水量大 B.地下水埋藏深 C.黄土分布广泛 D.乱砍滥伐严重 8.在同一株成年胡杨树冠的底部到顶部,叶片分布状况依次是( ) A.针形、卵圆形、锯齿状扇形 B.针形、锯齿状扇形、卵圆形 C.锯齿状扇形、针形、卵圆形 D.锯齿状扇形、卵圆形、针形 9.给胡杨林生态补水的最佳时段是( )A.1~2月 B.4~5月 C.7~8月 D.10~11月 答案 7.B 8.A 9.C 解析 第7题,该地区气候干旱,渭干河冲积扇地势较高,地下水埋藏深,不利于胡杨林生 长,B正确。第8题,在同一株成年胡杨树冠的底部到顶部,光照逐渐增强,为了更好地进 行光合作用,叶片逐渐增大,为了减少植物蒸腾,以储存更多水分,叶片逐渐增厚。根据材 料可知,由底部到顶部,叶片分布状况依次是针形、卵圆形、锯齿状扇形,A正确。第9题, 生态补水的季节要考虑可行性和作用。夏季,气温高,高山冰雪融水补给量大,为生态补水 提供水源。生态补水的主要作用是满足生态系统对水的需求,夏季植被生长茂盛,耗水量大, 此时补水,可提高地下水位,为植被生长提供充足的水源,补水效果明显。因此给胡杨林生 态补水的最佳时段是夏季(7~8月),故选C。 10.(2024·湖南部分名校联盟联考)阅读图文材料,完成下列要求。(12分) 流石滩是植物能够抵达的上限,其环境异常恶劣,只有少数物种经受住了这样的环境。 流石滩上并没有太强的种内竞争和种间竞争,这里分布的垫状植物具有紧贴地面、周身被毛 的特点,根系向纵深发展或平行发展的横走根,外层有致密的枝叶,叶片呈紫红色。下图为 垫状植物景观图。 (1)根据垫状植物的特点指出流石滩处的气候特征。(8分) (2)说明垫状植物两种根系与环境的关系。(4分) 答案 (1)垫状植物紧贴地面,说明该地多大风天气;周身被毛,说明该地气温低;叶片呈 紫红色,说明该地太阳辐射强烈(紫外线强烈);外层有致密的枝叶,说明该地昼夜温差大。 (2)流石滩地下水埋藏深,向纵深发展的根系便于吸取地下水且能牢固地扎下地基;流石滩 的碎石极易松动滑走,横走根便于在植株被连根拔起之后重新扎根生长。