当前位置:首页>文档>第一章 课时41 人口分布与人口容量_9.2025地理总复习_2025年新高考资料_一轮复习_2025高考大一轮复习讲义+练习(完结)_2025高考大一轮复习地理(人教版)_配套Word版文档第二部分

第一章 课时41 人口分布与人口容量_9.2025地理总复习_2025年新高考资料_一轮复习_2025高考大一轮复习讲义+练习(完结)_2025高考大一轮复习地理(人教版)_配套Word版文档第二部分

  • 2026-04-11 21:07:11 2026-03-13 14:39:40

文档预览

第一章 课时41 人口分布与人口容量_9.2025地理总复习_2025年新高考资料_一轮复习_2025高考大一轮复习讲义+练习(完结)_2025高考大一轮复习地理(人教版)_配套Word版文档第二部分
第一章 课时41 人口分布与人口容量_9.2025地理总复习_2025年新高考资料_一轮复习_2025高考大一轮复习讲义+练习(完结)_2025高考大一轮复习地理(人教版)_配套Word版文档第二部分
第一章 课时41 人口分布与人口容量_9.2025地理总复习_2025年新高考资料_一轮复习_2025高考大一轮复习讲义+练习(完结)_2025高考大一轮复习地理(人教版)_配套Word版文档第二部分
第一章 课时41 人口分布与人口容量_9.2025地理总复习_2025年新高考资料_一轮复习_2025高考大一轮复习讲义+练习(完结)_2025高考大一轮复习地理(人教版)_配套Word版文档第二部分
第一章 课时41 人口分布与人口容量_9.2025地理总复习_2025年新高考资料_一轮复习_2025高考大一轮复习讲义+练习(完结)_2025高考大一轮复习地理(人教版)_配套Word版文档第二部分
第一章 课时41 人口分布与人口容量_9.2025地理总复习_2025年新高考资料_一轮复习_2025高考大一轮复习讲义+练习(完结)_2025高考大一轮复习地理(人教版)_配套Word版文档第二部分
第一章 课时41 人口分布与人口容量_9.2025地理总复习_2025年新高考资料_一轮复习_2025高考大一轮复习讲义+练习(完结)_2025高考大一轮复习地理(人教版)_配套Word版文档第二部分
第一章 课时41 人口分布与人口容量_9.2025地理总复习_2025年新高考资料_一轮复习_2025高考大一轮复习讲义+练习(完结)_2025高考大一轮复习地理(人教版)_配套Word版文档第二部分
第一章 课时41 人口分布与人口容量_9.2025地理总复习_2025年新高考资料_一轮复习_2025高考大一轮复习讲义+练习(完结)_2025高考大一轮复习地理(人教版)_配套Word版文档第二部分
第一章 课时41 人口分布与人口容量_9.2025地理总复习_2025年新高考资料_一轮复习_2025高考大一轮复习讲义+练习(完结)_2025高考大一轮复习地理(人教版)_配套Word版文档第二部分
第一章 课时41 人口分布与人口容量_9.2025地理总复习_2025年新高考资料_一轮复习_2025高考大一轮复习讲义+练习(完结)_2025高考大一轮复习地理(人教版)_配套Word版文档第二部分
第一章 课时41 人口分布与人口容量_9.2025地理总复习_2025年新高考资料_一轮复习_2025高考大一轮复习讲义+练习(完结)_2025高考大一轮复习地理(人教版)_配套Word版文档第二部分
第一章 课时41 人口分布与人口容量_9.2025地理总复习_2025年新高考资料_一轮复习_2025高考大一轮复习讲义+练习(完结)_2025高考大一轮复习地理(人教版)_配套Word版文档第二部分

文档信息

文档格式
docx
文档大小
3.384 MB
文档页数
13 页
上传时间
2026-03-13 14:39:40

文档内容

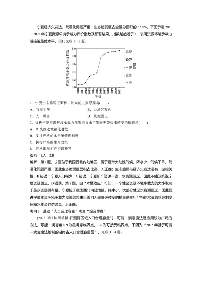
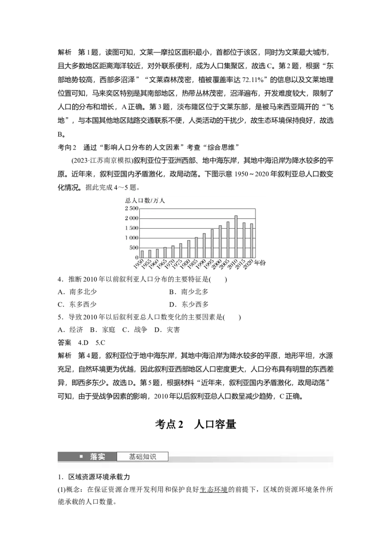
[课程标准] 运用资料,描述人口分布、迁移的特点及其影响因素,并结合实例,解释区域 资源环境承载力、人口合理容量。 [基本概念] 人口密度、区域资源环境承载力、人口合理容量;人口迁移、人口自然增长、 人口机械增长。 [体系架构] 课时 41 人口分布与人口容量 考点 1 人口分布 1.世界人口的分布 (1)分布特点:很不均匀。 (2)从全球来看 按半球 近90%的人口居住在北半球 按纬度 集中在北纬10°~50°地带 按距离海洋远近 60%左右的人口居住在离海岸200 千米以内的沿海地区按海拔 近80%的人口居住在海拔500 米以下的低平地区 (3)从区域来看 按地区 四大人口稠密区:东亚、南亚、欧洲西部、北美东部 按大洲 亚洲、非洲和拉丁美洲人口约占世界总人口的85% 按国家 截至2021年年底,人口超过1亿的国家有中国、印度、美国等 概念解读 人口密度 人口密度是指某一区域单位面积人口数量的多少,并不能反映本区域内的人口分布格局,却 是衡量不同区域人口分布的重要指标。 2.影响人口分布的因素 (1)自然因素:自然环境对人口分布的影响明显,其中气候、地形等自然因素的影响尤为重 要。 (2)人文因素:主要受生产力水平和社会生产方式、经济发展水平、历史、政治、军事、文 化等因素的影响。 回归教材 读必修第二册教材第7页图1.9“中国人口的分布(2010年)”,简述中国人口分 布的特点。 答案 黑河-腾冲(胡焕庸线)一线东南人口密集、西北人口稀疏。 1.影响人口分布的因素 影响因素 人口分布 原因 全世界近80%的人口居住 平原地区地形平坦、交通便利、易于开 地形 在海拔500米以下的低平 发,人类的工、农业生产活动多集中在 地区 此 北半球中、低纬度的沿海 气候温和湿润,适宜人类居住和农业生 自 气候 地区 产 然 一般来说,河流、湖泊沿岸供水方便, 因 人口分布在很大程度上取 水源 具有交通、水产养殖等方面的优势,利 素 决于水源分布 于人类生产和生活,人口较为密集 土壤肥沃的地区人口密度 土壤的自然肥力和耕作性能不同,开发 土壤 较大 利用程度也不同 矿产 矿产资源开发区人口稠密 矿产的开采提供了较多的就业机会 农业发达地区人口稠密 以农业经济为主 人 生产力水平和 文 人口迅速向城镇聚集 工业化带动城镇化 社会生产方式 因 人口不断向城镇聚集 生产力的发展,科技与管理技术的进步交通运输条件 交通便利的地区人口较多 交通对区域经济的发展起重要作用 人口大规模移动导致人口 素 政治、文化 战争、宗教、文化习俗、政策和历史等 分布的变化 2.我国人口分布的特点及原因 (2023·全国文综甲)技术进步对人口分布有重要影响。研究表明,1790~1870年,随着 蒸汽机等技术的应用,美国人口更加趋向临河分布; 1870 年后随着电力、机械等技术进步 , 美国的用水来源结构随之变化,河流对人口分布的重要性相对减弱。据此完成1~2题。 1.影响1790~1870年美国人口分布变化趋势的主要因素是( ) ①工业 ②农业 ③内河运输 ④公路运输 A.①③ B.①④ C.②③ D.②④ 2.1870年后,美国用水来源结构发生变化,主要表现为( ) A.河流水比例上升 B.河流水用量减少 C.地下水比例上升 D.地下水用量最多 [关键信息点拨] 蒸汽机等技术被广泛应用,制造业大发展;该时期美国工业主要分布在五大湖地区,该地 区内河航运发达,吸引人口临河分布。 随着科技的发展,电力、机械等技术替代了蒸汽机技术,工业化和城镇化迅速发展,对水 资源的需求量大大增加,地表水供给不足,人们加大对地下水的开发;随着技术进步,对地 下水的开发能力增强,使地下水在用水来源结构中比例上升。 由于技术进步,汽车出现,使公路运输大发展,内河运输地位也相对下降。 [地理原理再现] 人口分布的影响因素 简述人口沿河分布的原因。 答案 河流沿岸地区地形平坦、土壤肥沃、灌溉便利,利于农耕;河流具有供水、航运及军 事防御等功能。答案 1.A 2.C 解析 第1题,蒸汽机的发明与应用,促进了美国制造业的发展,使得人口趋向工业发达地 区分布,①正确、②错误;美国早期的工业主要分布在五大湖地区,该地区内河运输发达, 吸引人口临河分布,③对;公路运输的主要交通工具是汽车,此时汽车需要的内燃机还没有 发明,④错。选A。第2题,1870年后随着电力、机械等技术进步,工业化与城镇化加速 发展,美国地表水数量越来越不能满足日益增长的用水需求,利用水源转向开采地下水,导 致地下水使用数量增加、比例上升,但数量上仍然以利用地表水为主,选C。 考向1 通过“影响人口分布的自然因素”考查“区域认知” (2024·云南昆明模拟)文莱位于加里曼丹岛北部,被马来西亚的沙捞越州分隔为不相连的 东西两部分,东部地势较高,西部多沼泽,首都斯里巴加湾是文莱最大城市。文莱森林茂密, 植被覆盖率达72.11%,沿海石油资源丰富。全国共有四个行政区。下图为“文莱四个行政 区分布图”。据此完成1~3题。 1.文莱人口密度最大的行政区是( ) A.淡布隆区 B.都东区 C.文莱—摩拉区 D.马来奕区 2.马来奕区人口分布受到一定限制,其因素主要是( ) A.丛林茂密,沼泽遍布 B.远离海洋,气候干燥 C.雨季过长,洪涝频发 D.土壤贫瘠,难以耕种 3.淡布隆区是生态环境保持良好的地区,主要是因为该行政区( ) A.山峦起伏,开发难度大 B.位置孤立,跨区联系不便 C.河流众多,航运价值低 D.地壳活跃,地质灾害频发 答案 1.C 2.A 3.B解析 第1题,读图可知,文莱—摩拉区面积最小,首都位于该区,同时为文莱最大城市, 且大多数地区距离海洋较近,对外联系便利,成为人口集聚区,故选C。第2题,根据“东 部地势较高,西部多沼泽”“文莱森林茂密,植被覆盖率达72.11%”的信息以及文莱地理 位置可知,马来奕区特别是其南部地区,热带丛林茂密,沼泽遍布,开发难度较大,限制了 人口的分布和增长,A正确。第3题,淡布隆区位于文莱东部,是被马来西亚隔开的“飞 地”,与本国其他地区陆路交通联系不便,人类活动的干扰少,故生态环境保持良好,故选 B。 考向2 通过“影响人口分布的人文因素”考查“综合思维” (2023·江苏南京模拟)叙利亚位于亚洲西部、地中海东岸,其地中海沿岸为降水较多的平 原。近年来,叙利亚国内矛盾激化,政局动荡。下图示意1950~2020年叙利亚总人口数变 化情况。据此完成4~5题。 4.推断2010年以前叙利亚人口分布的主要特征是( ) A.南多北少 B.南少北多 C.东多西少 D.东少西多 5.导致2010年以后叙利亚总人口数变化的主要因素是( ) A.经济 B.家庭 C.战争 D.灾害 答案 4.D 5.C 解析 第4题,叙利亚位于地中海东岸,其地中海沿岸为降水较多的平原,地形平坦,水源 充足,自然环境更为优越,因此叙利亚西部地区人口密度更大,人口分布具有明显的东西差 异,即西多东少。故选D。第5题,根据材料“近年来,叙利亚国内矛盾激化,政局动荡” 可知,由于受战争因素的影响,2010年以后叙利亚总人口数呈减少趋势,C正确。 考点 2 人口容量 1.区域资源环境承载力 (1)概念:在保证资源合理开发利用和保护良好生态环境的前提下,区域的资源环境条件所 能承载的人口数量。(2)影响因素:自然资源数量和质量、社会经济和科技发展水平、人均消费水平等。 2.人口合理容量 (1)概念:按照合理的生活方式,保障健康生活的水平,同时又在不妨碍未来人口生活质量 的前提下,一个国家或地区最适宜的人口数量。 (2)人口过快增长产生的问题 ①资源问题:人口数量越多,对于资源的占有量和使用量就越多,对资源造成巨大的压力, 导致资源短缺问题。 ②环境问题:造成区域的污染物排放量增加。 ③社会问题:过多的人口还会带来就业困难、住房紧张等一系列社会问题。 (3)保持人口合理容量的措施:各国政府,尤其是发展中国家尽最大可能把人口控制在合理 的规模之内;建立公平的国际秩序;尊重人地协调发展的客观规律,因地制宜制定本区域可 持续发展战略。 区域资源环境承载力与人口合理容量的关系 区域资源环境承载力与人口合理容量是两个既有联系又有区别的概念,具体如下所示。 项目 区域资源环境承载力 人口合理容量 概念图示 强调的是一个国家或地区的资源环 强调的是在保障可持续发展前提下的适 实质 境所能承载的最大人口数量(极限 度人口(最佳人口数)——是一个合理值 人口数)——是一个警戒值 人口与资源、环境、经济、社会协调发 角度 自然资源的承载力 区 展 别 意义 生存 发展 数量 大 小 相同点 历史时期不同,影响因素会发生变化,使区域资源环境承载力和人口合理容量 具有不确定性;但在一定历史时期,影响因素相对不变的情况下,可以对区域资源环境承载力和人口合理容量进行相对定量估算,即具有相对确定性 (2021·北京地理)M县在制定县域内精准扶贫方案时,规划将某个村实行生态搬迁。读 图,回答1~2题。 1.考虑环境承载力等因素,该村最适宜选址在( ) A.甲 B.乙 C.丙 D.丁 2.搬迁后,该村适宜重点开展的生产经营活动是( ) A.开采矿山 B.放养牛羊 C.种植棉花 D.水上漂流 [关键信息点拨] 由图中河流为时令河,可推断该区域气候干旱,水资源是环境承载力的限制因素。 据图可知,甲地绿洲面积大,环境承载力大;目前甲地居民点规模小,可以接收较多外来 移民。 该区域气候干旱、光照强,有绿洲,灌溉水源较为充足,适合棉花的种植。 答案 1.A 2.C 解析 第1题,由图中河流为时令河,可推断该区域气候干旱,甲地绿洲面积大,环境承载 力大,且甲地居民点规模小,可以接收较多外来移民,A对;乙地在N县,不在M县域内, 跨行政区不便于协调,且乙地绿洲面积虽大但是居民点规模大,有限的环境承载力不能再容 纳更多迁移来的人口, B错;丙地绿洲面积小,居民点多且规模大,环境承载力可能已接 近极限,C错;丁地附近为地质公园,需要减少人类活动的干扰,D错。第2题,该区域气 候干旱、光照强,有绿洲,灌溉水源较为充足,适合棉花的种植,C对、B错。该区域有地 质公园,需要对地质地貌加以保护,重点产业不能以开采矿山为主,A错;该地区河流为时 令河,不适合发展水上项目,D错。 考向1 通过“区域资源环境承载力”考查“区域认知”宁夏经济欠发达,荒漠化问题严重,生态脆弱区占全区总面积的57.8%。下图示意2010 ~2021年宁夏资源环境承载力评价指数及预警结果,指数越趋近于1,表明资源环境承载力 越接近最优水平。据此完成1~2题。 1.宁夏生态脆弱区面积占比高的主要原因是( ) A.气候干旱 B.经济欠发达 C.人口稠密 D.资源匮乏 2.促进宁夏资源环境承载力预警结果由巨警向无警快速转变的措施是( ) A.加快推进城镇化进程 B.实行严格的水资源管理制度 C.执行严格的生育政策 D.严格限制矿产资源开发 答案 1.A 2.B 解析 第1题,宁夏位于我国西北内陆地区,属于温带大陆性气候,降水少,气候干旱,荒 漠化问题严重,因此生态脆弱区面积占比高,A正确;生态脆弱与经济欠发达没有一定相关 性,B错误;宁夏人口稀少,C错误;宁夏矿产资源丰富,水资源匮乏,因此不能笼统说宁 夏资源匮乏,D错误。第2题,由“木桶效应”可知,一个地区资源环境承载力的大小取决 于最少资源拥有量。宁夏位于我国西北内陆地区,降水少,大部分地区水资源匮乏,因此促 进宁夏资源环境承载力预警结果由巨警向无警快速转变的措施是实行严格的水资源管理制度, 保障水资源的供给量,B正确。 考向2 通过“人口合理容量”考查“综合思维” (2023·浙江杭州模拟)在测算区域人口合理容量时,可能—满意度法是应用较为广泛的 方法。可能—满意度0.9为最满意临界点,0.6为可接受临界点。下图为“2015年基于可能 —满意度法绘制的湖南省人口合理容量图”。完成3~4题。3.可能—满意度为0.9时,制约湖南省人口合理容量的主要因素是( ) A.能源供给 B.人居环境 C.粮食供给 D.土地资源 4.为提高湖南省人口合理容量,下列措施合理的有( ) A.提高科技水平 B.山区全面开垦 C.扩大对外开放 D.降低消费水平 答案 3.A 4.C 解析 第3题,根据“木桶效应”原理并结合图可知,当可能—满意度为0.9时,能源供给 所能承载的人口规模最小,故此时制约湖南省人口合理容量的主要因素是能源供给,故选 A。第4题,影响人口合理容量的因素有资源、科技、经济、教育、地区开放程度和生活消 费水平等。短时间来看,科技水平变动较小;山区全面开垦,会造成生态环境的破坏,不可 持续,最终会造成土地资源的减少;扩大对外开放,外部资源和其他有利条件得到充分利用, 人口合理容量会提高,C正确;降低消费水平不是我国经济社会发展追求的目标。 课时精练 (2023·江苏泰州调研)人口分布基尼系数是反映人口分布集中程度的指标。下表示意 2000~2020年我国各区域人口分布基尼系数变化。据此完成1~3题。 2000年 2010年 2020年 全国 0.711 0.718 0.735 胡焕庸线 东南半壁 0.517 0.534 0.566 两侧 西北半壁 0.754 0.748 0.752 东部 0.365 0.398 0.427 四大地区 中部 0.302 0.305 0.336 西部 0.773 0.765 0.771东北 0.449 0.459 0.504 1.据表分析可知( ) A.我国人口分布趋于分散 B.2010~2020年,东北地区人口分散 C.西部地区人口最多 D.2000~2010年,东南半壁人口更加集中 2.2010~2020年,西部地区人口分布趋势( ) ①有助于地区均衡发展 ②有助于人民享受现代化成果 ③利于西部各地乡村振兴 ④利于 持续保障该地区生态功能 A.①③ B.①④ C.②③ D.②④ 3.影响我国人口分布格局的最主要因素是( ) A.自然环境 B.经济水平 C.政策影响 D.社会发展 答案 1.D 2.D 3.A 解析 第1题,根据表中信息可知,人口分布基尼系数在大部分地区呈上升趋势,表明我国 人口分布趋于集中,A错误;2010~2020年,东北地区人口分布基尼系数变大,说明东北 地区人口分布的集中程度增加,B错误;根据所学知识,胡焕庸线东南半壁人口较多,C错 误;2000~2010年,东南半壁人口分布基尼系数增加,且东南半壁人口数量较多,东南半 壁人口更加集中,D正确。第2题,根据图表信息,2010~2020年,西部地区人口基尼系 数在增加,说明西部地区人口分布的集中程度增加,不利于区域均衡发展,①错误;西部地 区人口多集中于经济较发达地区,有助于人民享受现代化成果,但不利于西部各地乡村振兴, ②正确、③错误;西部地区人口分布趋势较为集中,使得生态脆弱区人口较少,有利于保障 该地区生态功能,④正确。故选D。第3题,根据所学知识可知,影响我国人口分布格局最 主要的因素在于自然环境,一般人口集中分布于自然环境较为优越的地区,如我国人口集中 分布于胡焕庸线东南半壁,故选A。 (2024·湘豫名校联考)第七次全国人口普查结果显示,福建省人口较第六次全国人口普查 增长了近500万,但增长数量各市并不均衡。下图示意2020年福建省各市常住人口数量(单 位:万人)。完成4~6题。4.福建省人口空间分布不均衡的主导因素是( ) A.气候因素 B.地形因素 C.历史因素 D.经济因素 5.与2010年相比,福州市人口与福建省其他地市相比占全省人口比重上升较明显,这是因 为福州市具有的突出优势是( ) A.交通通达,为国家级交通枢纽 B.省会城市,优质生产要素集聚 C.改革开放,政府优惠政策诸多 D.气候凉爽,公共服务设施完善 6.三明、南平、龙岩三市与福建省东部地区的城市相比人口数量较少,其原因可能是( ) A.外迁人数较多 B.人口死亡率较高 C.大学升学率低 D.人口老龄化严重 答案 4.D 5.B 6.A 解析 第4题,读图可知,福建省东部沿海地区人口数量多、西部地区人口数量少,这与经 济发展水平密切相关,福建省东部沿海地区经济发展水平高,其西部地区经济发展水平相对 较低,故福建省人口空间分布不均衡的主导因素是经济因素,故选D。第5题,联系所学知 识可知,福州市是福建省的省会城市,又是沿海开放城市,聚集了全省最为优质的生产要素, 对人口的吸引力大,人口增长较快,占全省人口比重不断上升,交通、政策、气候等方面福 州市与省内其他地市差异较小,故选B。第6题,联系所学知识可知,三明、南平和龙岩三 市与福建省东部地区的城市之间存在较大的经济发展水平差异,故三市外迁人数较多,故选 A。 (2023·辽宁农村重点中学协作体模拟)河西走廊地势平坦、土壤肥沃,分布着疏勒河流域、 黑河流域、石羊河流域三个相互独立的内陆河流域,孕育着人类赖以生存的绿洲。下图示意 1986~2018年三大流域农村居民地的面积变化。读图,完成7~8题。7.推测河西走廊地区农村居民地的分布特征是( ) A.规模大,较分散 B.规模小,较分散 C.规模小,较集中 D.规模大,较集中 8.图示时期农村居民地面积增长幅度最大的流域及原因是( ) A.疏勒河流域 资源环境承载力与原人口数量相差大 B.疏勒河流域 水资源条件优越,资源环境承载力大 C.石羊河流域 水资源条件优越,资源环境承载力大 D.黑河流域 资源环境承载力与原人口数量相差大 答案 7.B 8.A 解析 第7题,河西走廊地处西北干旱、半干旱的内陆地区,该区域农村居民地规模是由该 区域水资源丰歉程度决定,由于该区域水资源总量少,河湖分布稀疏,且河湖分布区域的水 资源数量有限,导致农村居民地具有规模小、较分散的分布特征。故选B。第8题,农村居 民地面积增长幅度等于农村居民地增长面积除以农村居民地面积基数,读图可知疏勒河流域 农村居民地面积增长幅度约为40÷50=80%,在三大流域中增幅最大。从农村居民地面积多 少看,疏勒河流域比石羊河流域、黑河流域少,说明疏勒河流域比石羊河流域、黑河流域水 资源数量少。自然环境条件较差,人口分布相对少,而这种情况下其农村居民地面积增长幅 度最大,人口增长相对较多,只能说明其原人口数量较少,与该流域的资源环境承载力之间 差值相对较大。故选A。 9.阅读图文材料,回答下列问题。(16分) 区域资源环境对人口数量的支持能力是有一定限度的,如果人口数量超越这一限度,便 会造成资源和环境问题。下图示意亚洲中部地区部分地理事物的分布情况。(1)推测图示地区的人口分布特点。(3分) (2)与B区域相比,判断A区域资源环境承载力的高低,并分析原因。(7分) (3)分析图示区域不适宜人口大量迁入的原因。(6分) 答案 (1)人口分布不均匀;人口主要沿高山山麓冲积扇、河流和交通干线分布;沙漠地区 人口稀少。 (2)高。A区域有河流流经,水资源充足;位于山麓地带,地形较平缓,土壤肥沃,土地生 产力较高;靠近城市,经济基础较好;铁路交通便利,对外开放程度较高。 (3)该地区气候干旱,水资源短缺;沙漠广布,生态环境脆弱,资源环境承载力小;人口大 量迁入会导致该地资源短缺、环境恶化,生态平衡遭到破坏,生态系统功能严重失调。