当前位置:首页>文档>2024年高考地理一轮复习(新人教版)第2部分 第1章 课时44 人口迁移_9.2025地理总复习_2024年新高考资料_1.2024一轮复习_2024年高考地理一轮复习讲义(新人教版)

2024年高考地理一轮复习(新人教版)第2部分 第1章 课时44 人口迁移_9.2025地理总复习_2024年新高考资料_1.2024一轮复习_2024年高考地理一轮复习讲义(新人教版)

  • 2026-04-09 15:06:28 2026-03-12 00:09:18

文档预览

2024年高考地理一轮复习(新人教版)第2部分 第1章 课时44 人口迁移_9.2025地理总复习_2024年新高考资料_1.2024一轮复习_2024年高考地理一轮复习讲义(新人教版)
2024年高考地理一轮复习(新人教版)第2部分 第1章 课时44 人口迁移_9.2025地理总复习_2024年新高考资料_1.2024一轮复习_2024年高考地理一轮复习讲义(新人教版)
2024年高考地理一轮复习(新人教版)第2部分 第1章 课时44 人口迁移_9.2025地理总复习_2024年新高考资料_1.2024一轮复习_2024年高考地理一轮复习讲义(新人教版)
2024年高考地理一轮复习(新人教版)第2部分 第1章 课时44 人口迁移_9.2025地理总复习_2024年新高考资料_1.2024一轮复习_2024年高考地理一轮复习讲义(新人教版)
2024年高考地理一轮复习(新人教版)第2部分 第1章 课时44 人口迁移_9.2025地理总复习_2024年新高考资料_1.2024一轮复习_2024年高考地理一轮复习讲义(新人教版)
2024年高考地理一轮复习(新人教版)第2部分 第1章 课时44 人口迁移_9.2025地理总复习_2024年新高考资料_1.2024一轮复习_2024年高考地理一轮复习讲义(新人教版)
2024年高考地理一轮复习(新人教版)第2部分 第1章 课时44 人口迁移_9.2025地理总复习_2024年新高考资料_1.2024一轮复习_2024年高考地理一轮复习讲义(新人教版)
2024年高考地理一轮复习(新人教版)第2部分 第1章 课时44 人口迁移_9.2025地理总复习_2024年新高考资料_1.2024一轮复习_2024年高考地理一轮复习讲义(新人教版)
2024年高考地理一轮复习(新人教版)第2部分 第1章 课时44 人口迁移_9.2025地理总复习_2024年新高考资料_1.2024一轮复习_2024年高考地理一轮复习讲义(新人教版)
2024年高考地理一轮复习(新人教版)第2部分 第1章 课时44 人口迁移_9.2025地理总复习_2024年新高考资料_1.2024一轮复习_2024年高考地理一轮复习讲义(新人教版)
2024年高考地理一轮复习(新人教版)第2部分 第1章 课时44 人口迁移_9.2025地理总复习_2024年新高考资料_1.2024一轮复习_2024年高考地理一轮复习讲义(新人教版)
2024年高考地理一轮复习(新人教版)第2部分 第1章 课时44 人口迁移_9.2025地理总复习_2024年新高考资料_1.2024一轮复习_2024年高考地理一轮复习讲义(新人教版)
2024年高考地理一轮复习(新人教版)第2部分 第1章 课时44 人口迁移_9.2025地理总复习_2024年新高考资料_1.2024一轮复习_2024年高考地理一轮复习讲义(新人教版)
2024年高考地理一轮复习(新人教版)第2部分 第1章 课时44 人口迁移_9.2025地理总复习_2024年新高考资料_1.2024一轮复习_2024年高考地理一轮复习讲义(新人教版)
2024年高考地理一轮复习(新人教版)第2部分 第1章 课时44 人口迁移_9.2025地理总复习_2024年新高考资料_1.2024一轮复习_2024年高考地理一轮复习讲义(新人教版)

文档信息

文档格式
docx
文档大小
1.596 MB
文档页数
15 页
上传时间
2026-03-12 00:09:18

文档内容

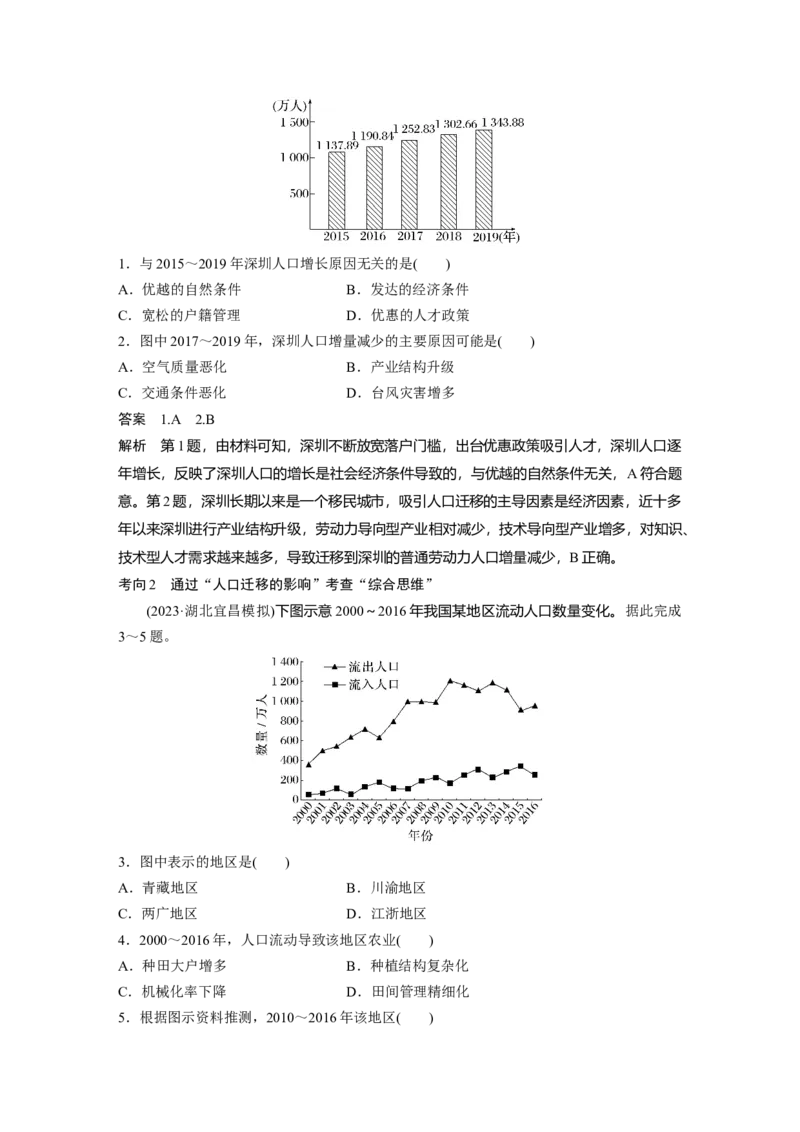
课时 44 人口迁移 一、人口迁移 1.概念:人口居住地发生长期或永久改变的人口移动。 2.分类:国际人口迁移和国内人口迁移。 3.人口机械增长 (1)概念:人口迁移使得某一区域的人口数量发生变化,这种人口数量的变化称为人口机械 增长。 (2)影响 ①区域人口机械增长率为正时,该区域为人口净迁入区;区域人口机械增长率为负时,该区 域为人口净迁出区。 ②一个国家或地区人口数量的变化是由人口自然增长和机械增长共同决定的。 二、影响人口迁移的因素 1.推拉理论 (1)人口迁移的动力由迁出地的推力(排斥力)与迁入地的拉力(吸引力)共同构成。 (2)任何一个地区都同时存在某些促使人口迁出的推力因素和某些吸引人口迁入的拉力因素。 (3)不同的人作出迁移决策时,往往考虑不同的因素。 2.影响人口迁移的因素 (1)自然因素:自然环境优美、气候宜人和资源丰富的地区对人口迁移产生巨大的拉力。环 境问题、自然灾害等对人口迁移产生巨大的推力。 (2)人文因素 ①经济因素往往对人口迁移起着主导作用。 ②政治、军事、文化等多种人文因素也会影响人口的迁移。 三、人口迁移的时空特点 1.国际人口迁移 时间 特点 迁入区 迁出区 19世纪以前 集团性、大规模 19世纪到20世纪 美洲、大洋洲 欧洲、非洲 规模减小、方向不变 上半叶 人口从发展中国家流 第二次世界大战 欧洲、北美、西亚和 向发达国家;外籍工 拉丁美洲 以后 北非 人成为主要形式 近年来 战争移民 欧洲 西亚、北非2.国内人口迁移 (1)改革开放以前:有计划、有组织地进行。20世纪50年代,国家有组织地移民边疆的各类 人员达百万之众。 (2)改革开放以后:大量农村人口向城镇迁移;沿海地区经济发展快,吸引大量内陆人口迁 入。 1.影响人口迁移的因素 (1)主要因素 (2)人口迁移影响因素的分析思路 ①全面分析抓重点:影响某地人口迁移的因素不止一个,既要全面分析,又要抓住主要因素 作重点分析。一般情况下,在现代社会中,社会经济因素是主要的、甚至是起决定性作用的 因素。 ②具体问题具体分析: 差异 主要影响因素 随着生产力水平的提高,自然因素的作用越来越小,社会经济因素的作用越来 时间差异 越大 地域差异 由经济落后地区迁入经济发达地区的主要因素是经济因素 青壮年人口迁移主要是经济因素或婚姻因素;老年人口迁移可能是家庭因素或 年龄差异 环境因素;青少年人口迁移最可能是家庭因素或教育因素 男性人口迁移,迁入区可能重工业发达,以第二产业为主;女性人口迁移,迁 性别差异 入区可能轻工业发达,以第三产业的服务业为主 文化差异 学历水平较高的人群迁移,迁入区一般高新技术产业发达;学历水平较低的人群迁移,迁入区一般劳动密集型产业较多 产业结构 高新技术的发展,促进高端技术人员的迁入,加快普通劳动力技能的提升;伴 调整 随着劳动密集型产业的转移,劳动力迁移方向发生变化 2.人口迁移的影响 (1)人口迁移对地理环境的影响 (2)人口迁移对年龄结构的影响 对迁出地来说,大量青壮年劳动力的迁出,会使其青壮年人口比重下降,人口老龄化加重; 对迁入地来说,大量青壮年劳动力的迁入,会使其青壮年比重上升,人口老龄化减轻。 (3)人口迁移对城镇化的影响 大量农村人口迁入城镇,为城镇注入了活力,促进了城镇经济的发展。随着人口规模的扩大, 城镇的用地规模也不断扩大,城镇功能区布局也随之发生变化,郊区不断出现住宅小区,促 进了郊区城镇化的进程。 (4)人口迁移对就业结构的影响 伴随人口迁移,会增加对不同职业的需求。如学龄儿童迁移人口增多,则迁入地应增加或加 强中、小、幼教师的师资力量。 (2022·6月浙江选考)下图为“2017年长三角城市群流入人口的主要来源分布图”,图中 线条宽度与流入人口占比相关,线条越宽占比越高。完成1~2题。1.长三角城市群流入人口主要来源于我国四大地区中的( ) A.东部地区 B.中部地区 C.西部地区 D.东北地区 2.甲省人口流入长三角城市群主要考虑( ) ①工资水平 ②空间距离 ③土地价格 ④环境质量 A.①② B.②③ C.③④ D.①④ [关键信息点拨] 线条宽度与流入人口占比呈正相关,根据线条宽度可判断流入长三角城市群人口主要来 源地区。 经济因素是影响人口迁移的最主要因素,地区间经济发展水平的差异是造成人口移动的 最主要原因,此外,空间距离远近等对人口移动也有重要影响。 答案 1.B 2.A 解析 第1题,读图可知,流入长三角城市群的人口占比最高的是安徽省,还有河南、江西 省,都属于中部地区,只有少部分来自西部地区的四川省、东部地区的江苏省,图中没有显 示东北地区人口流入,故选B。第2题,图中甲省是江西省,经济欠发达,外流人口大多是 外出务工人员,长三角城市群的工资水平高,且距离江西省较近,人口流动的交通成本低, 可以获得最大经济效益,①②正确,选A;长三角城市群土地价格高,不利于人口流入,且 流入人口主要为务工人员,地价高低与其关系不大;环境质量高低是解决基本生活需求之后 才会考虑的问题,也不是务工人员主要考虑的因素,③④错误。 考向1 通过“影响人口迁移的因素”考查“区域认知” 近几年,我国许多省市为了经济高质量发展,出台许多政策,比如深圳不断放宽落户 门槛,出台优惠政策吸引人才,深圳人口逐年增长,2019年深圳常住人口达到1 343.88万 人。下图为“2015~2019年深圳常住人口统计图”。据此完成1~2题。1.与2015~2019年深圳人口增长原因无关的是( ) A.优越的自然条件 B.发达的经济条件 C.宽松的户籍管理 D.优惠的人才政策 2.图中2017~2019年,深圳人口增量减少的主要原因可能是( ) A.空气质量恶化 B.产业结构升级 C.交通条件恶化 D.台风灾害增多 答案 1.A 2.B 解析 第1题,由材料可知,深圳不断放宽落户门槛,出台优惠政策吸引人才,深圳人口逐 年增长,反映了深圳人口的增长是社会经济条件导致的,与优越的自然条件无关,A符合题 意。第2题,深圳长期以来是一个移民城市,吸引人口迁移的主导因素是经济因素,近十多 年以来深圳进行产业结构升级,劳动力导向型产业相对减少,技术导向型产业增多,对知识、 技术型人才需求越来越多,导致迁移到深圳的普通劳动力人口增量减少,B正确。 考向2 通过“人口迁移的影响”考查“综合思维” (2023·湖北宜昌模拟)下图示意2000~2016年我国某地区流动人口数量变化。据此完成 3~5题。 3.图中表示的地区是( ) A.青藏地区 B.川渝地区 C.两广地区 D.江浙地区 4.2000~2016年,人口流动导致该地区农业( ) A.种田大户增多 B.种植结构复杂化 C.机械化率下降 D.田间管理精细化 5.根据图示资料推测,2010~2016年该地区( )A.人口的集聚作用有所下降 B.人口老龄化程度逐年下降 C.人口自然增长率逐年增加 D.劳动力需求数量显著增加 答案 3.B 4.A 5.D 解析 第3题,图中显示,该地区人口流动表现为人口净流出,说明其经济发展水平较低, 不可能是两广地区和江浙地区,排除C、D。该地区人口流出规模很大,而川渝地区人口基 数大,经济相对落后,是我国重要的人口流出区,B正确。青藏地区人口基数小,不会有如 此大规模的人口流出量,A错误。故选B。第4题,读图可知,2000~2016年,该地区有大 规模的人口外流(大规模青壮年劳动力外流),因缺少劳动力,农田闲置,因此该地区承包闲 置农田的农业种田大户数量增多,A正确。需要依靠农业机械来弥补劳动力减少,农业机械 化率上升,C错误。劳动力减少导致农业种植结构更简单,田间管理也不会精细化,B、D 错误。第5题,读图可知,2010~2016年,该地区人口流出数量明显减少,流入数量明显 增加,推测劳动力需求数量显著增加,对人口的集聚作用增强,D正确、A错误。根据图中 人口流动状况无法判断该地人口老龄化程度和人口自然增长率变化,B、C错误。 图形判读 9 人口统计图与人口问题 1.曲(折)线图的判读 曲线上升,表示数值增加,水平提高;曲线下降,表示数值减少,水平降低。如 看趋势 上图,从1800年到2008年,人口出生率波动下降 数值大,水平高;数值小,水平低。如图中,人口死亡率在图示时间范围内大部 看水平 分时段低于出生率,反映人口自然增长率大部分时段为正值;2008年死亡率与 出生率接近,人口自然增长率接近于0 曲线越陡,反映变化速度越快;曲线越缓,反映变化速度越慢。如图中,1925 看速度 年到1950年,出生率曲线最陡,反映人口出生率降速最快;而1875年到1900年,出生率曲线平缓,反映人口出生率变化小 根据转折点,可确定发展阶段,一个转折点,划分为两个阶段。如上图,1825 年,死亡率曲线在此与出生率曲线相交,则可认为1825年之前是人口增长的第 分阶段 一阶段,即高出生率、高死亡率、低自然增长率阶段;1825年之后为人口增长 的第二阶段,即高出生率、低死亡率、高自然增长率阶段 2.人口金字塔图的判读 (1)读构成 可直接读出该地区不同年龄段人口占总人口的比重(如下图)。 (2)析变化(特殊变化) ①某年龄段人口比例突然变小(如图中A处)。其原因主要有以下几种情况:一是计划生育政 策实施等导致出生率突然降低,二是重大灾害等导致死亡率上升,三是人口的大量外迁。 ②某年龄段人口比例突然增加(如图中B处)。其原因可能是就业、升学等导致的人口大量迁 入。 ③男女比例的明显失调(如图中C处)。其原因可能是战争导致大量男性死亡,也可能是服装、 纺织等对职工性别有一定要求的工厂建设导致的。 3.平面正三角形坐标图的判读 (1)三角形统计图 是一个三轴坐标图,通常用来表示三个变量的地理事物的百分比结构。图中数据只表示相对 量,即“比重”或“比例”,不表示绝对量;各构成要素所占比重的总和必须是100%。(2)读取坐标的步骤 ①找点:过要求的某点(图中的“ ”点),分别沿三个坐标轴数值增大的方向(图中的A、B、 C箭头)作3条平行于坐标轴的线(图中a、b、c三条线);三条线分别与坐标轴线相交,分别 有一个交点(图中M、N、P点)。 ②读数:读出三个交点的数值,即为交点所在坐标轴的坐标值(M数值是 70,表示该点15 ~64岁人口占70%;N 数值是5,即65岁及以上人口占5%;P数值为25,即0~14岁人口 占25%)。 ③验算:最后验算三个坐标值的和是否是100%(图中M+N+P的数值为70+5+25=100)。 4.区域人口增长分析 (1)区域人口增长=人口自然增长+人口机械增长。 (2)区域人口自然增长:年净增人口数量=人口基数×人口自然增长率。 (3)区域人口机械增长:年净增人口数量=人口基数×人口机械增长率。 5.人口结构与人口问题 (1)人口的年龄结构与人口问题 人口的年龄结构是指各年龄段人口占总人口的比重。就目前而言,世界人口年龄结构存在的 问题主要表现为人口年轻化和人口老龄化。 人口年轻化 人口老龄化 分布 发展中国家 发达国家 人口年龄 少年儿童人口比重高且不断上 少年儿童人口比重低且不断下降,而 结构趋势 升,而老年人口的比重不断下降 老年人口的比重不断上升 人口老龄化可造成劳动力短缺、国防 人口年轻化可导致人口增长过 兵源不足、社会上用于老年人的退休 人口问题 快,进而引发各种资源问题、环 和养老等费用的增加、老年人生活困 境问题和社会问题 难和孤单等问题 实施计划生育政策、降低人口自 措施 鼓励生育、接纳移民、发展人工智能 然增长率 (2)人口的性别结构与人口问题 人口的性别结构通常用“性别比”来衡量,即用100位女性对应的男性数量来衡量。它用来 反映某一地区或国家人口的性别结构是否合理或协调。性别比失衡会造成婚姻、家庭和社会的不稳定,不利于社会经济的发展。国家应加大思想宣 传教育,严禁非医学需要鉴别胎儿性别。 (3)人口文化素质结构与人口问题 →→ 下图表示0~14岁、15~64岁、65岁及以上三种年龄段人口占总人口的比重。读图回 答1~3题。 1.图中③国家比①国家0~14岁人口比重( ) A.约高6% B.约低6% C.约高1% D.约低1% 2.图中①②③④四个国家中,人口老龄化问题最严重的是( ) A.① B.② C.③ D.④ 3.为实现经济的可持续发展,图中②国应采取的相应措施是( ) A.计划生育 B.鼓励生育 C.采取移民政策 D.鼓励人员出国 答案 1.A 2.C 3.A 解析 第1题,据图可直接读出①点0~14岁年龄段的人口比重约为20%,③点约为26%。 因此③国家比①国家0~14岁人口比重约高6%。故选A。第2题,人口老龄化最严重即老 年人口的比重最大,由图可知③国65岁及以上人口比重最大,占20%,因此人口老龄化最 严重。故选C。第3题,读图可知,②国0~14岁人口比重占60%,人口增长速度过快,应 采取计划生育政策,以降低人口的增长速度,实现经济的可持续发展。故选A。 眼下的中国,“银发浪潮”扑面而来。武汉市2017年户籍总人口数为853.65万,60岁 以上人口数达178.85万。目前当地老年人口主要选择三种养老方式,即居家养老、社区养 老和机构养老(比例为90∶7∶3)。下图为“三种养老方式结构图”。读图完成4~5题。4.图中,正确表示武汉市养老方式结构的点是( ) A.① B.② C.③ D.④ 5.未来几年,武汉市可能提出的人口政策是( ) A.按照大步调整、分类推进等原则,延迟法定退休年龄 B.发展“银发”经济,开发适老化技术,培育智慧养老新业态 C.完善养老服务网络,构建以社区养老为主体的养老体系 D.推进用人单位、私营企业提供幼儿托育、养老照护服务 答案 4.B 5.B 解析 第4题,由材料可知,武汉市居家养老、社区养老和机构养老比例为90∶7∶3,据 图分析可知,②点居家养老、社区养老和机构养老比例约为 90∶7∶3,因此图中正确表示 武汉市养老方式结构的点是②,B正确。第5题,由材料“武汉市2017年户籍总人口数为 853.65万,60岁以上人口数达178.85万”可知,武汉市60岁以上人口比重超过20%,说明 其面临严重老龄化,未来几年武汉市可能提出的人口政策是发展“银发”经济,开发适老化 技术,培育智慧养老新业态,B正确。人口政策应该小幅调整,如我国生育政策就是小幅调 整、逐步过渡,A错误。完善养老服务网络,构建以居家养老为主体的养老体系,C错误。 幼儿托育、养老照护服务应该有专门的机构去承担,不是用人单位、私营企业,D错误。 (2023·福建三明市模拟)人口统计学常以劳动年龄人口占比等相关指标来代表人口数量 红利、以教育和健康相关指标来代表人口质量红利,并将其带来的贡献率分别等同于人口数 量红利贡献率和人口质量红利贡献率。下图示意两个红利在2005年至2019年间的贡献率变 化。据此完成6~7题。 6.未来我国人口的变化趋势是( ) A.劳动年龄人口占比将逐渐升高B.抚养比将逐渐降低 C.人口质量对经济的影响逐渐增加 D.人口健康状况将逐渐恶化 7.我国未来应( ) A.大力发展电子装配产业 B.加大对高中和高等教育的投入 C.鼓励企事业职工提前退休 D.削减引进高层次人才的力度 答案 6.C 7.B 解析 第6题,由图可知,我国人口数量红利呈波动下降趋势,说明劳动年龄人口占比呈波 动下降趋势,A错误。劳动年龄人口占比波动下降,非劳动年龄人口占比则波动上升,抚养 比应该逐渐上升,B错误。人口质量红利贡献率呈上升趋势,说明其带来的贡献率升高,人 口质量对经济的影响逐渐增加,C正确。人口质量红利呈明显的波动上升趋势,说明教育和 健康相关指标提升,人口健康状况应该有所好转,D错误。故选C。第7题,根据图中信息 可知,人口质量红利贡献率提高,说明人口质量的重要性提高,因此应该加大对高中和高等 教育的投入,提高人口的受教育水平,提升人口质量,B正确。人口数量红利波动下降,说 明我国劳动年龄人口占比变低,易出现劳动力短缺情况。电子装配产业属于劳动力导向型工 业,对廉价劳动力需求大,大力发展电子装配产业会增大劳动力短缺情况,A错误。鼓励企 事业职工提前退休会加剧劳动力短缺问题,C错误。削减引进高层次人才的力度不利于人口 质量的提高,D错误。故选B。 课时精练 人口迁移选择指数是指从一个地区向另外一个地区的实际迁移人数与期望迁移人数之 比,指数越大,表明迁出地的人口向迁入地的迁移强度越大,反之越小。下图示意 2005~ 2015年黑龙江主要迁入省份人口迁移选择指数变化。据此完成1~2题。 1.2005~2015年,图示黑龙江主要迁入省份中( ) A.北京市人口迁移选择指数呈上升趋势B.河北省人口迁移选择指数上升幅度最大 C.山东省人口迁移选择指数在逐年下降 D.辽宁省人口迁移选择指数下降幅度最小 2.近年来,海南省成为黑龙江省人口迁移选择指数增长最快的省区,其主要优势是( ) A.农业发展水平高 B.旅游资源丰富 C.临海的区域位置 D.冬季气候适宜 答案 1.B 2.D 解析 第1题,读图可知,北京市2005~2010年人口迁移选择指数呈下降趋势,A错误; 四个省份中,只有河北省人口迁移选择指数上升,B正确;图中只显示2005~2015年人口 迁移选择指数的变化趋势,无法反映山东省每年的人口迁移指数的变化,C错误;辽宁省人 口迁移选择指数下降幅度最大,D错误。第2题,与黑龙江省相比,海南省纬度低,冬季气 候温和湿润,吸引大量人口迁入。 (2023·安徽合肥模拟)安徽省是我国13个主粮产区之一和重要的商品粮基地,近些年因 为长三角区域一体化推进而加速发展,正处在“乡—城”人口流动的高峰时期,农业人口 年龄结构变动明显。下图示意2006~2016年安徽省农村人口年龄结构变化。据此完成3~5 题。 3.2006~2016年,安徽省农村人口变化特点是( ) A.老龄化程度大幅提升 B.青少年人口占比快速提升 C.劳动年龄人口数量明显减少 D.青壮年人口流动性大 4.2006~2016年,安徽省农村39~49岁人口占比变化特点的主要成因是( ) A.受家庭因素影响人口外流增多 B.外出务工人员回流 C.1967~1977年人口出生率明显降低 D.长三角其他省(市)人口迁入 5.2006~2016年,安徽省农村29~39岁人口占比变化对其农业发展带来的影响是( ) A.阻滞土地流转 B.抛荒、弃耕率降低C.农业技术推广困难 D.经济作物比例提升 答案 3.D 4.B 5.C 解析 第3题,由图可知,与2006年相比,2016年老年人口比重增加,但增加幅度小,A 错误。青少年人口可参照图中19岁以下人口比重,可看出2016年占比快速下降,B错误。 由于总人口数量不确定,所以无法判断劳动年龄人口数量是否减少,C错误。图中青壮年人 口(19~49岁)比重变化较大,说明人口流动性大,D正确。第4题,2016年39~49岁人口 占比增加,应是外出务工人员回流造成的,B正确、A错误。图中39~49岁人口是在1967 ~1977年期间出生,若1967~1977年人口出生率明显降低,则39~49岁的比重应该明显低 于其他年龄段,图中这个年龄段比重没有大幅低于其他年龄段,C错误;长三角是发达地区, 一般人口不会迁往相对欠发达地区,D错误。第5题,由图可知,2016年,安徽省29~39 岁的人口占比减少,29~39岁人口是中青年,这部分人口占比减少,对农业发展带来的影 响是导致农业技术推广困难,C正确。29~39岁人口占比减少,不会阻滞土地流转,可能 会促进土地流转,A错误。29~39岁人口占比减少,抛荒、弃耕率可能增加,B错误。经济 作物种植需要大量劳动力,29~39岁人口占比减少,经济作物比例可能降低,D错误。 人户分离人口是指居住地与户口登记地所在的乡镇街道不一致且离开户口登记地半年 以上的人口。与第六次全国人口普查相比,第七次全国人口普查人户分离人口增长 88.52%;全国各省级行政区流动人口增长69.73%,涌现了大量留守、空巢家庭。完成6~7 题。 6.人户分离现象大幅增长的主要原因是( ) A.区域经济发展不平衡 B.房价地区差异显著 C.文化教育水平提高 D.思想观念发生转变 7.针对留守、空巢家庭大量涌现的现象,当地政府应采取的有效措施是( ) A.推行三孩生育政策 B.完善社会保障体系 C.稳定房价促进民生 D.取消户籍落户限制 答案 6.A 7.B 解析 第6题,区域经济发展不平衡,导致人口由经济欠发达地区去往经济发达地区务工, 导致人户分离现象大幅增长,A正确;房价差异、文化教育水平、思想观念都不是导致人户 分离现象大幅增长的主要原因,B、C、D错误。第7题,留守、空巢家庭的出现,导致养 老等问题加重,当地政府应该完善社会保障制度,缓解养老等的压力,B正确。 (2023·山东德州期末)陶朗阿位于新西兰北部,是新西兰第五大城市,也是新西兰国内 人口移居的主要城市(下图)。其旅游资源丰富,交通便利,生态宜居。近年来大力发展新兴 制造业,成为新西兰经济发展最快的城市。据此完成8~9题。8.移居陶朗阿的人口多来自北岛的主要原因是( ) A.北岛提供的就业机会多 B.北岛城市多,人口基数大 C.南岛纬度较高,气候冷湿 D.南岛距离较远,交通不便 9.人口移居使陶朗阿( ) A.城镇化水平提高 B.就业压力增大 C.老龄化水平降低 D.资源环境承载力降低 答案 8.B 9.A 解析 第8题,北岛城市众多,且有新西兰的首都,人口基数大,加之陶朗阿经济发展较快, 吸引大量北岛人口移居陶朗阿,故B正确。第9题,陶朗阿近年来大力发展新兴制造业,成 为新西兰经济发展最快的城市,人口的不断增加,将促进陶朗阿城镇化的发展,故 A正确; 由于近年来大力发展新兴制造业需要大量劳动力,故不会出现就业压力增大的问题,B错误; 目前陶朗阿作为新西兰第五大城市,经济发展快,青壮年劳动力丰富,暂时不存在老龄化问 题,也就无老龄化水平降低之说,C错误;资源环境承载力不随人口的增加而降低,D错误。 10.阅读图文材料,完成下列要求。(16分) 在农村劳动力持续外流的同时,农村地区的劳动力存在着弱回流,农村回流劳动力对 乡村振兴与重构极为重要。研究人员对珠江三角洲外围地区15个村的部分回流劳动力进行 了问卷调查。下图为本次问卷调查中回流劳动力回流前后工作的行业类型分布统计图。(1)简述珠江三角洲地区农村人口出现回流现象的主要原因。(6分) (2)概括珠江三角洲地区农村回流劳动力就业选择的特点。(4分) (3)指出回流人口对振兴乡村经济所具有的意义。(6分) 答案 (1)珠江三角洲地区产业升级,对普通劳动力需求减少,就业机会减少;农村基础设 施逐步完善,生活环境改善;国家实施振兴乡村政策,鼓励农村人口回乡创业。 (2)珠江三角洲地区农村回流劳动力回流前后从事的行业具有一定的关联性;回流后其职业 选择倾向于批发零售业、社会服务业等行业;回流后从事制造加工业的人数较回流前减少较 多;回流后从事农业的人数较回流前增加较多。(任答两点即可) (3)为农村经济发展提供充足的劳动力;增加农村各行业的经济活动,促进农村经济发展; 促进农村基础设施进一步完善,加快社会主义新农村建设;有利于解决“空巢”老人、留守 儿童等社会问题。(任答三点即可)