当前位置:首页>文档>第二部分第一章课时42 人口迁移_9.2025地理总复习_2025年新高考资料_一轮复习_2025高考大一轮复习讲义+练习(完结)_2025高考大一轮复习地理(湘教版)_大一轮复习讲义

第二部分第一章课时42 人口迁移_9.2025地理总复习_2025年新高考资料_一轮复习_2025高考大一轮复习讲义+练习(完结)_2025高考大一轮复习地理(湘教版)_大一轮复习讲义

  • 2026-04-15 15:11:07 2026-03-14 02:26:46

文档预览

第二部分第一章课时42 人口迁移_9.2025地理总复习_2025年新高考资料_一轮复习_2025高考大一轮复习讲义+练习(完结)_2025高考大一轮复习地理(湘教版)_大一轮复习讲义
第二部分第一章课时42 人口迁移_9.2025地理总复习_2025年新高考资料_一轮复习_2025高考大一轮复习讲义+练习(完结)_2025高考大一轮复习地理(湘教版)_大一轮复习讲义
第二部分第一章课时42 人口迁移_9.2025地理总复习_2025年新高考资料_一轮复习_2025高考大一轮复习讲义+练习(完结)_2025高考大一轮复习地理(湘教版)_大一轮复习讲义
第二部分第一章课时42 人口迁移_9.2025地理总复习_2025年新高考资料_一轮复习_2025高考大一轮复习讲义+练习(完结)_2025高考大一轮复习地理(湘教版)_大一轮复习讲义
第二部分第一章课时42 人口迁移_9.2025地理总复习_2025年新高考资料_一轮复习_2025高考大一轮复习讲义+练习(完结)_2025高考大一轮复习地理(湘教版)_大一轮复习讲义
第二部分第一章课时42 人口迁移_9.2025地理总复习_2025年新高考资料_一轮复习_2025高考大一轮复习讲义+练习(完结)_2025高考大一轮复习地理(湘教版)_大一轮复习讲义
第二部分第一章课时42 人口迁移_9.2025地理总复习_2025年新高考资料_一轮复习_2025高考大一轮复习讲义+练习(完结)_2025高考大一轮复习地理(湘教版)_大一轮复习讲义
第二部分第一章课时42 人口迁移_9.2025地理总复习_2025年新高考资料_一轮复习_2025高考大一轮复习讲义+练习(完结)_2025高考大一轮复习地理(湘教版)_大一轮复习讲义
第二部分第一章课时42 人口迁移_9.2025地理总复习_2025年新高考资料_一轮复习_2025高考大一轮复习讲义+练习(完结)_2025高考大一轮复习地理(湘教版)_大一轮复习讲义

文档信息

文档格式
docx
文档大小
1.200 MB
文档页数
9 页
上传时间
2026-03-14 02:26:46

文档内容

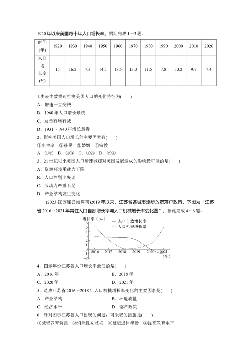
课时 42 人口迁移 1.人口迁移及其影响因素 (1)人口迁移:是人口移动的一种形式,是指人们变更________的空间流动行为。 (2)人口迁移的两个重要属性 (3)分类:国际迁移和__________。 (4)影响人口迁移的因素 ①人口迁移的“推拉理论” ②影响人口迁移的因素 早期的人口迁移:主要受__________的影响。现代的人口迁移:主要受______________的影 响。 思考 说出当前发展中国家人口迁移的主要方向,并说明原因。 ________________________________________________________________________ ________________________________________________________________________ 2.国际人口迁移 (1)影响因素:全球________经济形势的变化。 (2)迁移特点 时间 迁移特点 国际人口迁移的目的地主要是____________的地区和尚未 20世纪以前 开发的“处女地” 两次世界大战期间 难民由________国家迁往________国家 ①国际人口的政治性迁移急剧增加;②国际人口迁移的流 第二次世界大战以后 向发生了很大变化,欧洲由人口________地变为人口 ________地;③________仍是主要的人口迁入地,但迁入人口的主要来源地从欧洲变为________洲和亚洲 思考 写出两次世界大战前国际间的两次大规模人口迁移的方向及原因。 ________________________________________________________________________ ________________________________________________________________________ ________________________________________________________________________ 3.我国人口迁移 (1)历史上人口迁移的原因:主要有政治、经济、战争、灾害等方面。 (2)当代人口迁移 时期 特点 流向 目的 从____部向中部,从 以________为主,自 ______、______向西 开发工业基地、垦 20世纪80年代以前 发性迁移较少 北、东北、西南方向 荒、支援边疆 迁移 组织性迁移的比重逐 从中部、西南、西北 20世纪80年代以来 渐下降,自发性迁移 务工、经商、求学 向____部迁移 的比重迅速上升 概念辨析 户籍人口与常住人口 (1)户籍人口:指我国公民依照《中华人民共和国户口登记条例》在其经常居住地的公安户 籍管理机关登记常住户口的人,主要用于户籍行政管理。 (2)常住人口:指经常在某行政区域内居住达半年及以上人口,既包括有户籍且实际居住的, 也包括无户籍但实际居住的人口,反映的是实际居住人口的情况。 (3)受落户政策等因素的影响,我国人口净迁出区常住人口低于户籍人口,而人口净迁入地 区常住人口高于户籍人口。 1.影响人口迁移的因素 (1)主要因素注:在诸多因素中,经济因素往往起主导作用,但在某种特定的时空条件下,任何一种因素 都有可能成为人口迁移的决定性因素。 (2)人口迁移影响因素的分析思路 ①全面分析抓重点:影响某地人口迁移的因素不止一个,既要全面分析,又要抓住主要因素 作重点分析。一般情况下,在现代社会中,社会经济因素是主要的、甚至是起决定性作用的 因素。 ②具体问题具体分析 差异 主要影响因素 随着生产力水平的提高,自然因素的作用越来越小,社会经济因素的 时间差异 作用越来越大 地域差异 由经济落后地区迁入经济发达地区的主要因素是经济因素 青壮年人口迁移主要影响因素是经济因素或婚姻因素;老年人口迁移 年龄差异 主要影响因素可能是家庭因素或环境因素;青少年人口迁移主要影响 因素最可能是家庭因素或教育因素 男性人口迁移,迁入地可能重工业发达,以第二产业为主;女性人口 性别差异 迁移,迁入地可能轻工业发达,以第三产业或服务业为主 学历水平较高的人群迁移,迁入地一般高新技术产业发达;学历水平 文化差异 较低的人群迁移,迁入地一般劳动密集型产业较多 高新技术产业的发展,促进高端技术人才的迁入,加快普通劳动力技 产业结构调整 能的提升;伴随着劳动密集型产业的转移,劳动力迁移方向发生变化 2.人口迁移的影响 (1)人口迁移对地理环境的影响(2)人口迁移对年龄结构的影响 对迁出地来说,大量青壮年劳动力的迁出,会使其青壮年人口比重下降,人口老龄化加重; 对迁入地来说,大量青壮年劳动力的迁入,会使其青壮年比重上升,人口老龄化减轻。 (3)人口迁移对城镇化的影响 大量农村人口迁入城镇,为城镇注入了活力,促进了城镇经济的发展。随着人口规模的扩大, 城镇的用地规模也不断扩大,城镇功能区布局也随之发生变化,郊区不断出现住宅小区,促 进了郊区城镇化的进程。 (4)人口迁移对就业结构的影响 伴随人口迁移,会增加对不同职业的需求。如学龄儿童迁移人口增多,则迁入地应增加或加 强中、小、幼教师的师资力量。 (2023·山东地理)我国地级市一般由市辖区和其他县级行政区组成。 图 1 示意我国某地 级市 2010 年和 2020 年的常住人口数量 。该市的常住人口变化状况在全国具有一定的代表 性。据此完成1~3题。 1.图2示意四种人口流动情况,与该市2010~2020年情况相符的是( )A.① B.② C.③ D.④ 2.与该市的其他县级行政区相比,市辖区( ) A.老年人口比重大 B.老年人口数量大 C.劳动人口比重大 D.劳动人口平均年龄大 3.具有类似常住人口变化状况的地级市,一般具有相似的( ) A.经济规模 B.经济发展趋势 C.人口规模 D.人口职业构成 [关键信息点拨] 结合材料可知,该地级市总常住人口=__________+______________。 由图1可直接看出:相比2010年,2020年该地级市市辖区人口少量增加,其他县级行政 区人口大幅________,总人口________;进而可推知,该地级市人口净迁出,主要是 ____________人口大量迁出造成的。 分析图2图例可知,线条粗细反映了人口流动的________;结合箭头与行政区边界的关系 可判断人口流动方向。 [地理原理再现] 人口迁移对地理环境的影响 简述人口迁移对迁出地的影响。 ________________________________________________________________________ ________________________________________________________________________ 答案 1.____ 2.____ 3.____ 考向1 通过“影响人口迁移的因素”考查“综合思维” 近几年,我国许多省市为了经济高质量发展,出台许多政策,比如深圳不断放宽落户门 槛,出台优惠政策吸引人才,深圳人口逐年增长,2019年深圳常住人口达到1 343.88万人。下图为“2015~2019年深圳常住人口统计图”。据此完成1~2题。 1.与2015~2019年深圳常住人口增长原因无关的是( ) A.优越的自然条件 B.发达的经济条件 C.宽松的户籍管理 D.优惠的人才政策 2.图中2017~2019年,深圳常住人口增量减少的主要原因可能是( ) A.空气质量恶化 B.产业结构升级 C.交通条件恶化 D.台风灾害增多 考向2 通过“人口迁移的影响”考查“区域认知” (2024·广西北海模拟)下表为“七普”江苏省外来人口主要来源地及占比统计。据此完成 3~5题。 省(市、区) 甲 豫 川 鲁 黔 鄂 赣 占江苏省外来人口比重 29.9% 21.3% 6.0% 5.7% 4.8% 3.4% 3.1% 3.甲省为( ) A.黑 B.浙 C.湘 D.皖 4.江苏省外来人口中,来自豫、鲁两省的占比差异大,主要影响因素是( ) A.交通联系 B.空间距离 C.人口总量 D.产业活动 5.外来人口流入对江苏省的主要影响是( ) A.促进土地开发 B.优化劳动力结构 C.增加就业岗位 D.缩小区域差距 地理实践 10 人口问题 1.人口结构与人口问题 (1)人口的年龄结构与人口问题 人口的年龄结构是指各年龄段人口占总人口的比重。就目前而言,世界人口年龄结构存在的 问题主要表现为人口年轻化和人口老龄化。人口年轻化 人口老龄化 分布 发展中国家 发达国家 少年儿童人口比重高且不断上 少年儿童人口比重低且不断下 人口年龄结构趋势 升,而老年人口比重不断下降 降,而老年人口比重不断上升 人口老龄化可造成劳动力短 人口年轻化可导致人口增长过 缺、国防兵源不足、社会上用 人口问题 快,进而引发各种资源、环境和 于老年人的退休和养老等费用 社会问题 的增加、老年人生活困难和孤 单等问题 实施计划生育政策,降低人口自 鼓励生育,接纳移民,发展人 措施 然增长率 工智能 (2)人口的性别结构与人口问题 人口的性别结构通常用“性别比”来衡量,即用100位女性对应的男性数量来衡量。它用来 反映某一地区或国家人口的性别结构是否合理或协调。 性别比失衡会造成婚姻、家庭和社会的不稳定,不利于社会经济的发展。国家应加大思想宣 传教育,严禁非医学需要鉴别胎儿性别。 (3)人口文化素质结构与人口问题 2.当前我国面临的人口问题及对策 人口问题及表现 对策 增长 净增规模大 发展经济,增加就业机会 问题 自然增长速度缓慢 调整计划生育政策 发展经济,提高和改善欠发达地区社会经 分布问题 地区分布不平衡 济条件 性别比偏高 调整计划生育政策,转变生育观念 人口素质较低 发展教育和科技,提高人口素质 结构问题 调整计划生育政策;完善社会保障,发展 老龄化 养老产业 发展交通、经济,缩小地区发展差距,增 流动规模大 加当地就业机会 流动问题 完善社会保障;发展经济,增加当地就业 空巢老人、留守儿童增多 岗位和机会 (2024·陕西西安测评)至2020年4月1日,美国人口总数达到 3.315亿人。下表示意1920年以来美国每十年人口增长率。据此完成1~3题。 时间 1920 1930 1940 1950 1960 1970 1980 1990 2000 2010 2020 (年) 人口 增 15 16.2 7.3 14.5 18.5 13.3 11.5 7.8 13.2 9.7 7.4 长率 (%) 1.由表中数据可推测美国人口的变化特征为( ) A.增速一直变快 B.1960年人口增长最快 C.总量有增有减 D.1931~1940年增长最慢 2.影响美国人口增长的主要因素有( ) ①出生率 ②移民 ③婚姻 ④宗教 A.①② B.②③ C.①③ D.②④ 3.21世纪以来美国人口增速减缓对美国发展造成的影响最可能的是( ) A.资源环境承载力下降 B.人口性别比失调 C.劳动力严重不足 D.产业结构发生变化 (2023·江苏连云港调研)2019年以来,江苏省各城市逐步放宽落户政策。下图为“江苏 省2016~2021年常住人口自然增长率与人口机械增长率变化图”。据此完成4~6题。 4.图示年份江苏省人口增长率最低的是( ) A.2016年 B.2018年 C.2020年 D.2021年 5.造成江苏省2016~2018年人口机械增长率变化的主要因素是( ) A.产业结构 B.环境质量 C.经济水平 D.落户政策 6.针对图示江苏省人口出现的问题,可采取的措施是( ) ①减轻养育负担 ②消除性别歧视 ③延迟退休年龄 ④提高教育水平A.①② B.①③ C.②④ D.③④ 眼下的中国,“银发浪潮”扑面而来。武汉市2017年户籍总人口数为853.65万人,60 岁以上人口数达178.85万人。目前当地老年人口主要选择三种养老方式,即居家养老、社 区养老和机构养老(比例为90∶7∶3)。下图为“三种养老方式结构图”。读图完成7~8题。 7.图中,正确表示武汉市养老方式结构的是( ) A.① B.② C.③ D.④ 8.未来几年,武汉市可能提出的人口政策是( ) A.按照大步调整、分类推进等原则,延迟法定退休年龄 B.发展“银发”经济,开发适老化技术,培育智慧养老新业态 C.完善养老服务网络,构建以社区养老为主体的养老体系 D.推进用人单位、私营企业提供幼儿托育、养老照护服务