当前位置:首页>文档>第三章 第4讲 课时20 世界主要气候类型_9.2025地理总复习_2025年新高考资料_一轮复习_2025高考大一轮复习讲义+练习(完结)_2025高考大一轮复习地理(人教版)

第三章 第4讲 课时20 世界主要气候类型_9.2025地理总复习_2025年新高考资料_一轮复习_2025高考大一轮复习讲义+练习(完结)_2025高考大一轮复习地理(人教版)

  • 2026-03-31 23:40:49 2026-03-14 01:14:29

文档预览

第三章 第4讲 课时20 世界主要气候类型_9.2025地理总复习_2025年新高考资料_一轮复习_2025高考大一轮复习讲义+练习(完结)_2025高考大一轮复习地理(人教版)
第三章 第4讲 课时20 世界主要气候类型_9.2025地理总复习_2025年新高考资料_一轮复习_2025高考大一轮复习讲义+练习(完结)_2025高考大一轮复习地理(人教版)
第三章 第4讲 课时20 世界主要气候类型_9.2025地理总复习_2025年新高考资料_一轮复习_2025高考大一轮复习讲义+练习(完结)_2025高考大一轮复习地理(人教版)
第三章 第4讲 课时20 世界主要气候类型_9.2025地理总复习_2025年新高考资料_一轮复习_2025高考大一轮复习讲义+练习(完结)_2025高考大一轮复习地理(人教版)
第三章 第4讲 课时20 世界主要气候类型_9.2025地理总复习_2025年新高考资料_一轮复习_2025高考大一轮复习讲义+练习(完结)_2025高考大一轮复习地理(人教版)
第三章 第4讲 课时20 世界主要气候类型_9.2025地理总复习_2025年新高考资料_一轮复习_2025高考大一轮复习讲义+练习(完结)_2025高考大一轮复习地理(人教版)
第三章 第4讲 课时20 世界主要气候类型_9.2025地理总复习_2025年新高考资料_一轮复习_2025高考大一轮复习讲义+练习(完结)_2025高考大一轮复习地理(人教版)
第三章 第4讲 课时20 世界主要气候类型_9.2025地理总复习_2025年新高考资料_一轮复习_2025高考大一轮复习讲义+练习(完结)_2025高考大一轮复习地理(人教版)
第三章 第4讲 课时20 世界主要气候类型_9.2025地理总复习_2025年新高考资料_一轮复习_2025高考大一轮复习讲义+练习(完结)_2025高考大一轮复习地理(人教版)
第三章 第4讲 课时20 世界主要气候类型_9.2025地理总复习_2025年新高考资料_一轮复习_2025高考大一轮复习讲义+练习(完结)_2025高考大一轮复习地理(人教版)
第三章 第4讲 课时20 世界主要气候类型_9.2025地理总复习_2025年新高考资料_一轮复习_2025高考大一轮复习讲义+练习(完结)_2025高考大一轮复习地理(人教版)
第三章 第4讲 课时20 世界主要气候类型_9.2025地理总复习_2025年新高考资料_一轮复习_2025高考大一轮复习讲义+练习(完结)_2025高考大一轮复习地理(人教版)
第三章 第4讲 课时20 世界主要气候类型_9.2025地理总复习_2025年新高考资料_一轮复习_2025高考大一轮复习讲义+练习(完结)_2025高考大一轮复习地理(人教版)

文档信息

文档格式
docx
文档大小
1.881 MB
文档页数
13 页
上传时间
2026-03-14 01:14:29

文档内容

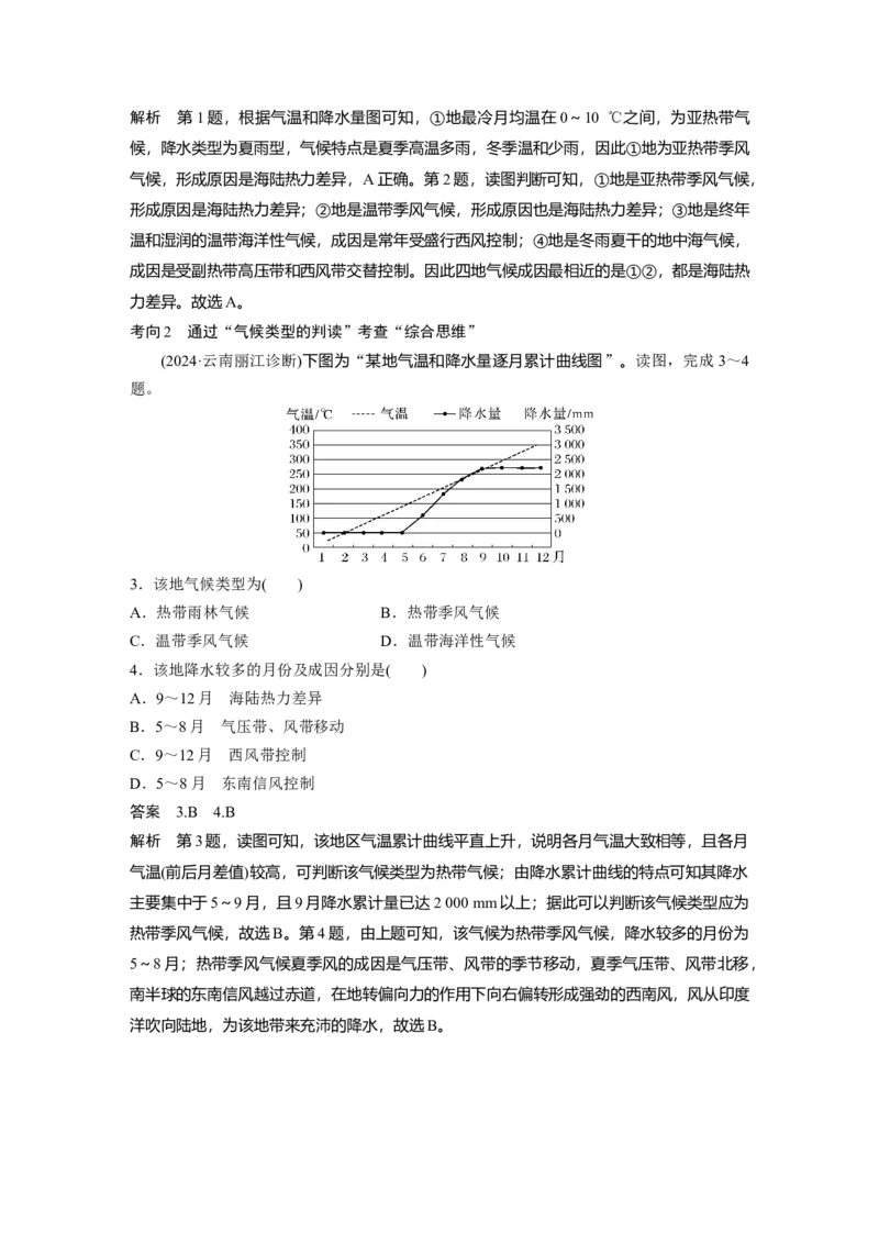
课时 20 世界主要气候类型 1.世界气候分布规律与大气环流、洋流的关系(以北半球为例) 2.世界主要气候类型 气候类型 分布 气候成因 气候特点 受赤道低压带控制, 热带雨林气候 南北纬10°之间 全年高温多雨 盛行上升气流 南北纬10°~20°之 受赤道低压带和信风 全年高温,分 热带草原气候 间 带交替控制 干、湿两季 热带 大致在10°N~ 海陆热力差异和气压 全年高温,分 热带季风气候 25°N大陆东岸 带、风带的季节移动 旱、雨两季 南北纬20°~30°的 受副热带高压带或信 热带沙漠气候 全年高温少雨 大陆内部和西岸 风带控制 亚热带季风和季 南北纬25°~35°的 冬季温和少雨, 海陆热力差异 风性湿润气候 大陆东岸 夏季高温多雨 亚热带 南北纬30°~40°的 受副热带高压带和西 冬季温和多雨, 地中海气候 大陆西岸 风带交替控制 夏季炎热干燥 北纬35°~55°的大 冬季寒冷干燥, 温带季风气候 海陆热力差异 陆东岸 夏季高温多雨 南北纬30°~40°至 冬寒夏热,干旱 温带 温带大陆性气候 60°~65°的大陆内 终年受大陆气团控制 少雨 部与大陆东岸 南北纬40°~60°的 温带海洋性气候 全年受西风带控制 全年温和多雨 大陆西岸 亚寒带针叶林气 北纬50°至北极圈 冬长严寒,夏短 亚寒带 全年受极地气团控制 候 的大陆 温暖 寒带 苔原气候 北半球极地附近的 纬度高,太阳辐射 全年严寒弱,受极地气团或冰 沿海 洋气团控制 南北半球极地附近 纬度最高,太阳辐射 冰原气候 全年酷寒 内陆 弱,受冰洋气团控制 高原、 高大的山地、高原 气温随高度增加而降 气温和降水随高 高原山地气候 高山 地区 低 度而变化 3.几种易混气候类型的比较 相似点 不同点 气温:终年高温(最 ①年降水量较多(>1 500 mm);②7月降水量可突 热带季风气候 冷月均温>15 ℃) 破600 mm;③雨季较短,多为6~9月 降水:有明显的旱 ①年降水量相对较少(750~1 000 mm);②湿季较 热带草原气候 (干)季和雨(湿)季 长,多为5~10月 亚热带季风和季 ①最冷月均温>0 ℃;②雨季较长;③年降水量较 风性湿润气候 多(800~1 500 mm) 雨热同期 ①最冷月均温<0 ℃;②雨季较短;③年降水量较 温带季风气候 少(500~800 mm) 温带海洋性气候 最冷月均温>0 ℃,各月降水分配较均匀 降水总量有时相当 温带季风气候 最冷月均温<0 ℃,降水集中在夏季 ①均温低于0 ℃的月份少;②有明显的雨季;③ 温带季风气候 冬冷夏热,降水集 年降水量相对较多 中在夏季 ①均温低于0 ℃的月份多;②单月降水量一般不 温带大陆性气候 超过100 mm;③年降水量相对较少 4.特殊地区气候类型 气候类型 分布 特殊表现 形成原因 纬度上,这些地区均位于热带地 马达加斯加岛东部、 不在赤道附近, 区,属于热带气候。这些地区均 热带雨林 澳大利亚东北部沿 并非受赤道低压 位于来自海洋的信风的迎风坡, 气候 岸、巴西高原东南部 带控制而形成 加上沿岸受暖流的影响,降水十 沿岸、中美地区东侧 分丰富,故形成热带雨林气候 东非高原、南美安第 位于赤道地区, 地势较高,气温较低,对流运动 热带草原 斯山区的高原内陆地 形成热带草原气 减弱,降水减少,缺乏形成热带 气候 区(赤道地区附近) 候 雨林气候的条件 位于西风带内, 该地位于南北走向的安第斯山脉 温带大陆 南美巴塔哥尼亚高原 且东靠海洋,沿 东侧,位于西风带的背风地带, 性气候 岸有暖流经过, 盛行西风越过安第斯山脉后,气却形成温带大陆 流下沉,降水稀少而形成 性气候 ①南美太平洋沿岸——受秘鲁寒 流的影响,具有降温减湿的作 用。加上东南信风越过安第斯山 脉后,气流下沉,降水十分稀 南美太平洋沿岸5°S 不在副热带高压 少,形成热带沙漠气候。 热带沙漠 ~20°S之间,非洲 带控制之下,形 ②索马里半岛沿岸——冬季受东 气候 索马里半岛沿岸 成热带沙漠气候 北信风带的控制,风由陆地吹 来,降水少;夏季受离岸寒流(西 南季风使表层海水远离海岸,底 层冷海水上泛成为寒流)的影响, 降温减湿 纬度非常高,没 斯堪的纳维亚半岛西 温带海洋 有形成极地气 主要受北大西洋暖流影响,增温 侧,纬度60°N~ 性气候 候,而形成温带 增湿 66°34′N 海洋性气候 5.气候类型的判读 步骤 依据 因素变化 结论 判断南 最高气 6、7、8三个月气温最高 北半球 北半球 温月份 12、1、2三个月气温最高 南半球 最冷月均温>15 ℃ 热带气候 判断所 最冷(热) 最冷月均温在0 ℃~15 ℃之间 亚热带气候、温带海洋性气候 属温度 月均温 最冷月均温在-15 ℃~0 ℃之间 温带气候 带 最热月均温<10 ℃ 寒带气候 热带 热带雨林气候>2 000 mm 年雨型 温带 温带海洋性气候700~1 000 mm 热带草原气候750~1 000 mm; 热带 热带季风气候1 500~2 000 mm 降水量 确定具 夏雨型 亚热带 亚热带季风气候800~1 500 mm 的年内 体的气 温带大陆性气候<300 mm; 分配情 温带 候类型 温带季风气候500~800 mm 况 冬雨型 亚热带 地中海气候300~1 000 mm 热带 热带沙漠气候<200 mm 少雨型 温带 温带沙漠气候<200 mm 寒带 苔原气候、冰原气候<250 mm(全国文综Ⅲ)澳大利亚(图1)某地区降水稀少,自然景观极度荒凉,气温年较差大,夏 季最高气温可达50 ℃,冬季气温较低。早年,该地区的矿工经常在矿井里躲避炎热天气, 长此以往便形成了具有当地特色的地下住宅(图2)。据此完成1~3题。 1.该类地下住宅可能分布于图1所示的( ) A.①地附近 B.②地附近 C.③地附近 D.④地附近 2.该类地下住宅通天井的主要作用是( ) A.收集雨水 B.方便通信 C.增加采光 D.通风换气 3.推测该类地下住宅( ) ①室温不变 ②冬暖夏凉 ③类似黄土高原的窑洞 ④类似草原的蒙古包 A.①③ B.②③ C.①④ D.②④ [关键信息点拨] 该地降水稀少、气温年较差大,可判断该地气候干旱;结合图1中四地的位置和澳大利亚 气候类型的分布,可知①地为地中海气候,②地为热带沙漠气候,③地为热带草原气候,④ 地为亚热带季风和季风性湿润气候,据此可知该地位置。 图2中地下住宅比较封闭,通天井直通地面,外界的新鲜空气可通过通天井进入地下住 宅, 同时地下住宅里的废气也可通过通天井排到地面,主要起到通风换气的作用。 图2中地下住宅位于厚厚的土体和岩石之下,受太阳辐射的影响较小,气温变化较小,具 有冬暖夏凉的特点。[地理原理再现] 世界主要气候类型的分布规律 分别写出热带草原气候、热带沙漠气候、地中海气候、亚热带季风和季风性湿润气候的分布 规律。 答案 热带草原气候主要分布在南北纬10°~20°之间;热带沙漠气候主要分布在南北纬20° ~30°的大陆内部和西岸;地中海气候主要分布在南北纬 30°~40°的大陆西岸;亚热带季风 和季风性湿润气候主要分布在南北纬25°~35°的大陆东岸。 答案 1.B 2.D 3.B 解析 第1题,该地降水少、气温年较差大,只有②地符合,其他几个地点气候比较湿润。 第2题,读图可知,该类地下住宅比较封闭,通天井直通地面,可以给地下住宅里的人提供 足够的新鲜空气,从而保障其正常活动;同时也可以把地下住宅里的废气排到地面,因此通 天井的主要作用是通风换气。第3题,该类地下住宅位于厚厚的土体和岩石之下,受太阳辐 射的影响小,具有冬暖夏凉的特点,但是达不到室温不变,①错、②对;这与黄土高原的窑 洞相类似,窑洞是在厚厚的黄土层之下的住宅,具有冬暖夏凉的特点,而内蒙古草原的蒙古 包则是适应我国西北干旱半干旱的草原地区风大的特点,同时利于搬迁,适于草原地区游牧 生活,③对、④错。 考向1 通过“气候类型的成因”考查“区域认知” (2023·江苏盐城模拟)下图为“四地气温和降水量图”。读图,完成1~2题。 1.①地气候的形成原因是( ) A.海陆热力差异 B.常年受西风带控制 C.常年受赤道低压带控制 D.常年受副热带高压带控制 2.①②③④四地气候成因最相近的是( ) A.①② B.①④ C.③④ D.②④ 答案 1.A 2.A解析 第1题,根据气温和降水量图可知,①地最冷月均温在0~10 ℃之间,为亚热带气 候,降水类型为夏雨型,气候特点是夏季高温多雨,冬季温和少雨,因此①地为亚热带季风 气候,形成原因是海陆热力差异,A正确。第2题,读图判断可知,①地是亚热带季风气候, 形成原因是海陆热力差异;②地是温带季风气候,形成原因也是海陆热力差异;③地是终年 温和湿润的温带海洋性气候,成因是常年受盛行西风控制;④地是冬雨夏干的地中海气候, 成因是受副热带高压带和西风带交替控制。因此四地气候成因最相近的是①②,都是海陆热 力差异。故选A。 考向2 通过“气候类型的判读”考查“综合思维” (2024·云南丽江诊断)下图为“某地气温和降水量逐月累计曲线图”。读图,完成3~4 题。 3.该地气候类型为( ) A.热带雨林气候 B.热带季风气候 C.温带季风气候 D.温带海洋性气候 4.该地降水较多的月份及成因分别是( ) A.9~12月 海陆热力差异 B.5~8月 气压带、风带移动 C.9~12月 西风带控制 D.5~8月 东南信风控制 答案 3.B 4.B 解析 第3题,读图可知,该地区气温累计曲线平直上升,说明各月气温大致相等,且各月 气温(前后月差值)较高,可判断该气候类型为热带气候;由降水累计曲线的特点可知其降水 主要集中于5~9月,且9月降水累计量已达2 000 mm以上;据此可以判断该气候类型应为 热带季风气候,故选B。第4题,由上题可知,该气候为热带季风气候,降水较多的月份为 5~8月;热带季风气候夏季风的成因是气压带、风带的季节移动,夏季气压带、风带北移, 南半球的东南信风越过赤道,在地转偏向力的作用下向右偏转形成强劲的西南风,风从印度 洋吹向陆地,为该地带来充沛的降水,故选B。答题指导 4 气候特征描述 1.常用的答题思路 思考方向 满分术语 最冷月、最热月 最冷(热)月出现在××月 气温 气温高低 终年高温;夏季高温;全年温和;冬季寒冷等 特征 温差 气温年较差大(小);气温日较差大(小) 降水总量 降水总量多(少) 降水 季节分配均匀(不均);夏季多雨;冬季多雨;全年多雨;全年少雨 季节分配 特征 等 年际变化 年际变化大(小) 光照特征 日照时数长(短);日照强(弱);光照充足(不足) 气候 气温、降水、冬 全年高温多雨;冬季温和多雨;夏季炎热干燥;冬季寒冷;夏季炎 特征 季、夏季、全年 热;全年降水稀少;气温年较差大等 注:高温—最热月均温>20 ℃;温和—最热月均温0~20 ℃之间;寒冷—最冷月均温<0 ℃;降水稀少—月降水量<10 mm;少雨—月降水量10~50 mm;多雨—月降水量50~100 mm;丰富—月降水量>100 mm 2.天气、气候类试题的规范解答及常见失误 (1)天气用语和气候用语相混淆 常见天气用语 晴朗、阴雨、大风、降温、天气转晴、多连续性降水、暴雨等 终年高温多雨、夏季高温多雨、冬季寒冷干燥、降水季节分配均 常见气候用语 匀、气温年较差大等 (2)气候用语表述不当 例如“高温多雨”一词在使用时要注明是“终年”高温多雨,还是“夏季”高温多雨。 (3)气候类型名称与自然带、植被类型相混淆 例如将“热带雨林气候”误写为“热带雨林”“热带雨林带”或“热带雨林带气候”,“热 带沙漠气候”误写为“热带荒漠气候”。 (4)气候类型名称不准 例如将“温带海洋性气候”误写成“温带海洋气候”。 (5)口语化 例如“夏季高温多雨,冬季低温少雨”答成“夏天高温多雨,冬天温度不高,下雨不多”等。1.(2023·山东日照模拟)阅读图文材料,完成下列要求。(20分) 萨尔瓦多地处中美洲,地形以山地、高原为主,山区年降水量在1 800 mm以上,沿海 地带约为1 000 mm。图1为萨尔瓦多地形图,图2为首都圣萨尔瓦多气候资料统计图。 (1)指出萨尔瓦多沿海地区气候类型并描述其气候特征。(8分) (2)分析圣萨尔瓦多4月气温高的原因。(6分) (3)说明造成萨尔瓦多山区和沿海地带降水量差异的主要原因。(6分) 答案 (1)气候类型:热带草原气候。气候特征:全年高温,分干、湿两季;11月至次年4 月降水较少,为干季;5~10月降水丰富,为湿季。 (2)4月太阳直射点位于北半球较低纬度,该地太阳高度较大;赤道低压带尚未移至该地;位 于东北信风背风坡,晴天多,光照强。 (3)萨尔瓦多地势总体上北高南低;干季时北部山区受东北信风的影响,会形成地形雨;湿 季时影响该地的西南风越往内陆抬升越明显,降水越多,所以山区降水量大,沿海地带降水 量小。 2.阅读图文材料,完成下列问题。(18分) 材料一 “华西雨屏带”是指位于我国四川盆地西部地区的一个多雨带,这一地区不仅在气 候上极具特殊性,而且在生物多样性方面也是极为丰富,是一个生物秘境,在生态学上具有 重要意义。 材料二 图1为四川省一月均温等值线分布示意图(单位:℃),图2为华西雨屏带降水季节 分布图。(1)根据图示信息推测四川省东西部地势特征的差异并简述理由。(4分) (2)简述华西雨屏带的降水特征并分析原因。(8分) (3)分析华西雨屏带生物多样性丰富的原因。(6分) 答案 (1)差异:西部比东部地势更高,起伏更大(或西部地势高、起伏大,东部地势低、起 伏小)。 理由:西部比东部等温线数值小,密度大。 (2)特征:年降水量大;降水季节变化较大,夏秋多,冬春少;年降水日数较多。 原因:地处平原(盆地)与高原山地的过渡带,夏季来自海洋的暖湿气流受高山阻挡抬升,多 地形雨;受地形影响,水汽难以扩散,终年雨日较多。 (3)山麓地带水热资源丰富;地势起伏大,气候垂直差异显著;位置偏僻,人口稀少,人类 活动影响小。 课时精练 (2023·辽宁锦州模拟)读“世界局部地区气候类型分布图”,完成1~2题。1.下列气候类型成因和②相似的是( ) A.③ B.④ C.⑤ D.⑥ 2.①气候南北跨越的纬度很大,其主要原因是( ) A.所在陆地南北跨度大 B.受东部高大山脉阻挡 C.副热带高压带强盛 D.受沿岸洋流影响较强 答案 1.B 2.D 解析 第1题,结合图中经纬度信息可以判断该区域位于南美洲西部,②为地中海气候、④ 为热带草原气候,成因是受到气压带和风带的交替控制,B正确;③为温带海洋性气候、⑤ 为热带雨林气候,成因是受到单一气压带或风带控制,A、C错误;⑥是温带大陆性气候, 主要成因是位于盛行西风的背风坡,降水较少,D错误。第2题,结合图中经纬度信息可以 判断①为热带沙漠气候,南北跨越的纬度很大,其主要原因是受到秘鲁寒流减湿的影响,导 致①气候向低纬方向延伸,故选D。 (2023·黑龙江哈尔滨期末)卡卡杜国家公园位于澳大利亚的北部,受气候影响,景观多样, 一年中不断更换着自己的“容颜”。下图为“卡卡杜国家公园位置图”,下表为当地原住居 民对一年内季节的划分。据此完成3~4题。 季节 现象或特征 古吉格 怒吼的瀑布、咆哮的闪电 班格伦 死水潭、水鸟众多 耶格 凉爽、晴朗 乌尔真 凉爽、晴朗 谷融 炎热干燥 滚弥冷 湿度递增 3.“古吉格”的形成主要( )A.受东北信风影响 B.受东南信风影响 C.受西北季风影响 D.受盛行西风影响 4.“谷融”最有可能是( ) A.2~3月 B.5~6月 C.8~9月 D.11~12月 答案 3.C 4.C 解析 第3题,据表格信息可知,“古吉格”季节出现的现象有“怒吼的瀑布、咆哮的闪 电”可推测该季节多雷雨天气、降水丰富。1~3月该地处于夏季,盛行西北季风,从低纬 地区海洋上吹来暖湿气流,降水丰富,C正确;东北信风位于北半球,A错误;7月该地盛 行东南风,从澳大利亚大陆吹来干燥的气流,降水稀少,B错误;盛行西风影响不到该地区, D错误。第4题,结合经纬度信息可知,该地为热带草原气候,分明显的干、湿两季。由表 中不同季节的现象或特征可知,“谷融”是干季的末尾,据此可以推测“谷融”应是每年的 8~9月,此时太阳直射点自北半球向赤道移动,9月下旬该地开始进入湿季,故选C。 (2024·福建漳州模拟)船形屋,是海南岛黎族传统民居,形如倒扣木船。建造过程费工费 料,以竹木搭架,茅草铺盖,盖檐宽而低矮,用木板隔墙或者用稻草混合泥土制成墙体。当 地船形屋经历了从干栏式(图1)到落地式(图2)的演变过程。据此完成5~7题。 5.黎族人建造船形屋的最佳时期是( ) A.2~4月 B.5~7月 C.8~10月 D.11月~次年1月 6.船形屋盖搭铺茅草时采用多层结构,主要原因是当地( ) A.茅草多 B.雨季长 C.蚊虫多 D.冬季冷 7.与干栏式比,落地式船形屋( ) ①方便起居 ②冬暖夏凉 ③更能承重茅盖 ④更能抵御强风 A.①② B.①④ C.②③ D.③④ 答案 5.D 6.B 7.B 解析 第5题,结合材料可知,建造船形屋应该选在当地的旱季,而5~10月该地降水较多, 不利于建造,且建造过程费工费料,建造持续时间较长,因此雨季结束后开始建造更合适。 11月~次年1月气候凉爽,适合建造,D正确。第6题,该地雨季持续时间长,茅草多层结 构可以有效防止雨水渗入房间,B正确。第7题,落地式船形屋直接建在地面,可方便居民 起居,①正确;干栏式船形屋被支起,夏季通风效果更好,更凉爽,②错误;茅盖主要是竹木和茅草,重量并不大,两种船形屋都可承重,③错误;落地式船形屋直接建在地面,结构 更稳定,抵御强风能力更强,④正确。故选B。 (2023·山东枣庄市模拟)下图示意①②两地1月和7月气温、降水量资料。据此完成8~9 题。 8.①②两地的气候类型分别是( ) A.地中海气候、温带海洋性气候 B.地中海气候、亚热带季风气候 C.温带海洋性气候、地中海气候 D.温带季风气候、热带季风气候 9.①地冬夏季气温低于②地,主要原因是①地( ) A.海拔较高 B.纬度较高 C.位于内陆 D.受寒流影响 答案 8.C 9.B 解析 第8题,①地1月与7月降水较多,而且降水量相差不大,即降水分配较均匀,最低 月均温在0 ℃以上,最高月均温在20 ℃左右,为温带海洋性气候;②地7月气温高,降水 少,1月气温低,降水多,雨热不同期,为地中海气候。故选 C。第9题,①地为温带海洋 性气候,分布于南北纬40°~60°之间。②地为地中海气候,分布于南北纬30°~40°之间,① 地的纬度高于②地,气温较低。故选B。 下图为“世界某地区气候资料统计图”(平均每月降水量=年平均降水量的1/12;月降 水距平=该月多年平均降水量-平均每月降水量;本月平均气温累计=本月平均气温+上月 平均气温累计)。读图,完成10~11题。 10.该地区可能位于( ) A.中国东南部 B.地中海北部C.巴西东北部 D.澳大利亚西南部 11.该地区月降水距平季节变化大的主要影响因素是( ) A.纬度位置 B.大气环流 C.海陆位置 D.洋流 答案 10.D 11.B 解析 第10题,读图可知,根据各月平均气温累计曲线,该地 1月气温高,平均气温大于 20 ℃,1月气温累计增长快,6、7月份气温累计增长慢,说明1月是夏季,6、7月是冬季, 应位于南半球,根据月降水距平,该地1月降水少,7月降水多,应是地中海气候,澳大利 亚西南部属于地中海气候,D对;中国东南部和地中海北部都位于北半球,A、B错;巴西 东北部属于热带雨林气候,C错。第11题,由上题分析可知,该地区是地中海气候,受副 热带高压带和西风带交替控制,使得月降水距平季节变化大,故选B。 12.(2023·广东广州模拟)阅读图文资料,完成下列问题。(16分) 位于非洲地区的马拉维具有独特的自然景观,该国气候受某气压带和某风带交替控制。 马拉维湖常年温度基本在24~29 ℃,但每年7~8月,马拉维湖最南端的水域表层水温会 下降到20 ℃左右。下左图为马拉维的地理位置示意图,右图为该国A地降水资料图。 (1)据材料信息,指出A地气候特征。(4分) (2)说明7~8月马拉维湖最南端表层水温下降的原因。(6分) (3)根据A、B两地的位置差异,推测年降水量较多的是哪一地?并分析原因。(6分) 答案 (1)全年高温;干湿季分明。 (2)7~8月,气压带、风带位置北移,东南信风控制湖区,湖泊最南端在离岸风的吹拂下, 表层湖水被吹离湖岸,底层冷湖水上泛补充,使表层水温下降;7~8月为南半球冬季,正 午太阳高度小,温度低。 (3)B地年降水量较多。 原因:B地纬度较低(或离赤道更近),受赤道低压带控制时间较长;B地位于湖泊西侧,(东 南)信风经湖泊增湿,受山地抬升,形成地形雨,故降水较多,雨季较长。