当前位置:首页>文档>第四章 课时21 水循环_9.2025地理总复习_2025年新高考资料_一轮复习_2025高考大一轮复习讲义+练习(完结)_2025高考大一轮复习地理(人教版)_配套Word版文档第一部分第三~七章

第四章 课时21 水循环_9.2025地理总复习_2025年新高考资料_一轮复习_2025高考大一轮复习讲义+练习(完结)_2025高考大一轮复习地理(人教版)_配套Word版文档第一部分第三~七章

  • 2026-04-04 15:17:14 2026-03-17 02:23:24

文档预览

第四章 课时21 水循环_9.2025地理总复习_2025年新高考资料_一轮复习_2025高考大一轮复习讲义+练习(完结)_2025高考大一轮复习地理(人教版)_配套Word版文档第一部分第三~七章
第四章 课时21 水循环_9.2025地理总复习_2025年新高考资料_一轮复习_2025高考大一轮复习讲义+练习(完结)_2025高考大一轮复习地理(人教版)_配套Word版文档第一部分第三~七章
第四章 课时21 水循环_9.2025地理总复习_2025年新高考资料_一轮复习_2025高考大一轮复习讲义+练习(完结)_2025高考大一轮复习地理(人教版)_配套Word版文档第一部分第三~七章
第四章 课时21 水循环_9.2025地理总复习_2025年新高考资料_一轮复习_2025高考大一轮复习讲义+练习(完结)_2025高考大一轮复习地理(人教版)_配套Word版文档第一部分第三~七章
第四章 课时21 水循环_9.2025地理总复习_2025年新高考资料_一轮复习_2025高考大一轮复习讲义+练习(完结)_2025高考大一轮复习地理(人教版)_配套Word版文档第一部分第三~七章
第四章 课时21 水循环_9.2025地理总复习_2025年新高考资料_一轮复习_2025高考大一轮复习讲义+练习(完结)_2025高考大一轮复习地理(人教版)_配套Word版文档第一部分第三~七章
第四章 课时21 水循环_9.2025地理总复习_2025年新高考资料_一轮复习_2025高考大一轮复习讲义+练习(完结)_2025高考大一轮复习地理(人教版)_配套Word版文档第一部分第三~七章
第四章 课时21 水循环_9.2025地理总复习_2025年新高考资料_一轮复习_2025高考大一轮复习讲义+练习(完结)_2025高考大一轮复习地理(人教版)_配套Word版文档第一部分第三~七章
第四章 课时21 水循环_9.2025地理总复习_2025年新高考资料_一轮复习_2025高考大一轮复习讲义+练习(完结)_2025高考大一轮复习地理(人教版)_配套Word版文档第一部分第三~七章
第四章 课时21 水循环_9.2025地理总复习_2025年新高考资料_一轮复习_2025高考大一轮复习讲义+练习(完结)_2025高考大一轮复习地理(人教版)_配套Word版文档第一部分第三~七章
第四章 课时21 水循环_9.2025地理总复习_2025年新高考资料_一轮复习_2025高考大一轮复习讲义+练习(完结)_2025高考大一轮复习地理(人教版)_配套Word版文档第一部分第三~七章
第四章 课时21 水循环_9.2025地理总复习_2025年新高考资料_一轮复习_2025高考大一轮复习讲义+练习(完结)_2025高考大一轮复习地理(人教版)_配套Word版文档第一部分第三~七章

文档信息

文档格式
docx
文档大小
3.012 MB
文档页数
12 页
上传时间
2026-03-17 02:23:24

文档内容

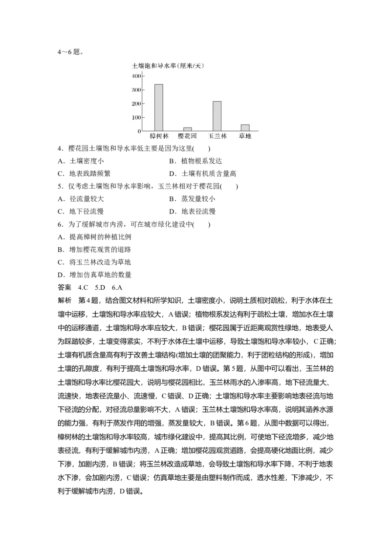
[课程标准] 1.运用示意图,说明水循环的过程及其地理意义。2.绘制示意图,解释各类陆 地水体之间的相互关系。3.运用图表等资料,说明海水性质和运动对人类活动的影响。4.运 用世界洋流分布图,说明世界洋流的分布规律,并举例说明洋流对地理环境和人类活动的影 响。5.运用图表,分析海—气相互作用对全球水热平衡的影响,解释厄尔尼诺、拉尼娜现象 对全球气候和人类活动的影响。 [基本概念] 蒸发、水汽输送、降水、地表径流、下渗、地下径流;河流水文特征、河流水 系特征;海水盐度、海水温度、海水密度;海浪、海啸、风暴潮、潮汐、洋流;海—气相互 作用、水热平衡、厄尔尼诺、拉尼娜。 [基本原理] 水循环的过程及各环节的影响因素;水平衡原理;陆地水体的相互关系;海— 气相互作用与全球水热平衡原理。 [体系架构] 课时 21 水循环 1.水循环(1)概念 水循环是指自然界的水在水圈、大气圈、岩石圈、生物圈中,通过蒸发(蒸腾)、水汽输送、 降水、下渗、径流等环节连续运动的过程。 (2)类型 根据发生的空间范围,水循环可分为海陆间循环、陆地内循环和海上内循环。 类型 主要环节 特点 海上内循环 A蒸发→B降水 循环水量最大,对全球热量输送有重要意义 最重要的循环。使陆地水不断得到补充,水 海陆间循环 资源得以再生 陆地内循环 循环水量少,但对干旱地区非常重要 概念辨析 理论蒸发量(蒸发能力)与实际蒸发量 ①理论蒸发量:下垫面有充足水分供应时的蒸发量。一个地区气温越高、风速越大、空气越 干燥,蒸发能力就越强、理论蒸发量越大。 ②实际蒸发量:下垫面的水以水汽逸出地表进入大气的净散发量(包括水体蒸发、土壤蒸发 和植物蒸腾)。 ③实际蒸发量≤理论蒸发量。 (3)地理意义 读必修第一册教材第48~49页内容,总结水循环的地理意义。 答案 ①维持全球水量的动态平衡。 ②缓解不同纬度地区热量收支不平衡的矛盾。 ③是海陆间联系的主要纽带。 ④塑造地表形态。 ⑤影响着全球的气候和生态。 2.水量平衡原理 在某段时期内,一个地区的储水变化量就是水量收入和支出的差额。1.影响水循环主要环节的因素分析 (1)影响蒸发的因素 (2)影响水汽输送的因素 海洋上空的水汽――――――――――→陆地 (3)影响降水的因素 (4)影响地表径流的因素分析 影响因素 对地表径流的影响 年降水量 决定地表径流量大小的最主要因素,二者呈正相关 流域面积(支流数量) 同地表径流量呈正相关 植被 涵养水源,起到“削峰补枯”的作用 地质条件(土壤质地) 河流流经喀斯特地貌区、沙质土壤区,河水易下渗,减少地表径流量 蒸发 主要在干旱、半干旱地区对地表径流影响大 (5)影响下渗的因素 (6)影响地下径流的因素 影响地下径流的因素可参考影响地表径流、下渗的因素,并重点考虑喀斯特地貌(岩溶地貌), 因为喀斯特地貌区地下溶洞、地下暗河众多,储存有大量的地下水。 2.人类活动对水循环的影响 目前,人类活动对水循环的影响主要体现在对地表径流的影响。 改变地表径流 人类引河湖水灌溉、修建水库、跨流域调水、填河改陆、围湖造田等一系列针对河流、湖泊的活动极大地改变了地表径流的自然分布状态 人类对地下水资源的开发利用、局部地区的地下工程建设都不可避免地对 影响地下径流 地下径流产生影响,如雨季对地下水的人工回灌,抽取地下水灌溉,城市 地铁的修建破坏渗流区的地质结构、改变地下水的渗透方向等 影响局部地区 如人工降雨 大气降水 影响蒸发 如植树造林、修建水库可以增加局部地区的水汽供应量 影响下渗 城市铺设渗水砖,可增加下渗;城市路面硬化,会减少下渗 3.水平衡 (1)原理 ①某个地区在某一段时期内,水量收入和支出的差额等于该地区的蓄水变化量,即收入水量 -支出水量=蓄水变量。 ②一个区域长期来看水量是收支平衡的,即收入=支出。但某个区域、某一段时期内,收支 可能不平衡;如果收入>支出,则该区域、该时期水量增加;如果收入<支出,则水量减少。 ③公式 (2)原理应用 水在数量上遵循水平衡原理,即总水量是平衡的。水资源既不会无中生有,也不会无故消失, 一定是此消彼长,总量不变,即一个地区的储水变化量=收入-支出。 收入 大气降水;河流水、湖泊水、冰川融水的输入;地下水的输入;人工调水、灌溉等 支出 蒸发、植物蒸腾;径流输出;下渗;人工取水等 水平衡原理常用于解释湖泊面积大小的变化、湖水盐度的变化、沼泽湿地的演化过程等。如 “死海面积缩小的原因”分析思路如下图所示: 即:水的收入是①②,水的支出是③④,①+②<③+④,即收入<支出,死海面积缩小。(全国文综Ⅰ)利用大型挖泥船将海底岩石搅碎,并将碎石和泥沙一起吹填造地,成为 在海中建设人工岛的主要方式。下图示意人工岛地下淡水分布。据此完成1~2题。 1.参照上图,在造岛物质满足水渗透的前提下,人工岛形成并保持相对稳定的地下淡水区 的条件是( ) ①降水充沛且季节分配均匀 ②降水充沛且季节集中 ③人工岛足够长 ④人工岛足够宽 A.①③ B.①④ C.②③ D.②④ 2.人工岛的地下淡水一般不作为日常生产生活水源,主要因为其( ) A.取水难度大 B.开采周期长 C.水质较差 D.储量较少 [关键信息点拨] 人工岛是由碎石和泥沙一起吹填造地而成,地表物质较疏松,透水性较强,利于地表水下 渗。 人工岛一般面积不大,接受的大气降水数量较少,蓄水量有限。 图中淡、咸水界线是岛屿淡水与海洋咸水相互平衡的结果,岛内地下淡水依靠大气降水补 充,雨水充分且稳定利于保持岛内地下淡水区稳定,一旦降水量少,海水入侵,会导致界线 向岛内退缩,甚至导致淡水消失;岛屿宽度不足,两侧的海水入侵严重,会挤占淡水空间。 答案 1.B 2.D 解析 第1题,岛上淡、咸水界线是岛屿淡水与海洋咸水相互平衡的结果,岛内地下淡水依 靠大气降水补充,降水充沛且季节分配均匀,雨水得到充分稳定的下渗,有利于保持岛内地 下淡水区稳定;如果降水季节变化大就会导致淡、咸水失去平衡,一旦降水量少,海水入侵, 界线向岛内退缩,甚至导致淡水消失;岛屿宽度不足,两侧的海水入侵严重,会挤占淡水空 间,所以选B。第2题,人工岛一般面积不大,接受的大气降水数量较少,蓄水量有限,一 旦开采使用,大气降水很难及时补充,无法保证淡水资源的稳定存在,所以不能作为日常生 产生活用水的来源。 考向1 通过“人类活动对水循环的影响”考查“人地协调观” 北川河流域位于黄河上游半干旱区,蒸发(腾)总量较大。20世纪80年代至今,流域内 年降水量相对平稳,大规模人工造林使流域植被覆盖率快速增加,在无其他人为干扰的情况 下,流域年蒸发(腾)总量呈下降趋势。据此完成1~3题。1.大规模造林前,该流域( ) A.气温年较差比较小 B.植被年蒸腾量较大 C.降水年内变化较小 D.土壤年蒸发量较大 2.植被覆盖率快速增加过程中,该流域( ) A.河流径流年内波动变大 B.土壤含水量增多 C.地表径流汇流速度变快 D.地下水水位下降 3.大规模造林后,该流域蒸发(腾)总量变小的主要原因是植被( ) ①遮阳降温 ②减小风速 ③吸尘固沙 ④保持水土 A.①② B.①④ C.②③ D.③④ 答案 1.D 2.B 3.A 解析 第1题,根据所学知识可知,该流域位于黄河上游半干旱区,大规模造林前,该流域 植被覆盖率较低,气温年较差较大,植被年蒸腾量较小,降水年内变化较大,A、B、C错 误;大规模造林前,该流域年蒸发(腾)总量大,而植被稀少,植被年蒸腾量小,因此土壤年 蒸发量较大,故选D。第2题,根据所学知识可知,植被覆盖率快速增加过程中,地表植被 覆盖度提高,植被涵养水源能力加强,使地表径流汇流速度变慢,河流径流年内波动变小, A、C错误;在植被阻滞作用下,地表径流流速减慢,下渗量增加,土壤含水量增多,地下 水水位上升,B正确,D错误。第3题,根据所学知识可知,大规模造林后,树木起到遮阳 降温的作用,林下地表温度下降,土壤水分蒸发减弱,①正确;大规模造林后,植被覆盖率 增加,林木起到削减风速的作用,从而减少了水分的蒸发,②正确;流域蒸发(腾)总量的变 化与植被吸尘固沙作用关系不大,③错误;森林植被保持水土,会使土壤中水分含量增加, 土壤水分蒸发应该增加,因此流域蒸发(腾)总量变小与保持水土无关,④错误。故选A。 考向2 通过“水平衡”考查“区域认知” (2023·河南省重点高中联考)乌裕尔河原为嫩江(自北向南流)的支流,因下游排水受阻成 为内流河后,河水泛滥,最终形成面积相对稳定的扎龙湿地。读图完成4~6题。 4.河流排水受阻后一般会形成堰塞湖,而乌裕尔河排水受阻却形成沼泽湿地。与该过程有 关的地理特征是( )A.纬度高,蒸发微弱 B.距海近,降水量大 C.土质密,下渗微弱 D.地势低,平坦开阔 5.乌裕尔河下游排水受阻的原因不包括( ) A.流域上游工农业用水量大 B.流域下游淤积,排水不畅 C.地转偏向力导致嫩江西移 D.嫩江河床不断淤积、抬高 6.乌裕尔河流域发展变化过程中,下列说法正确的是( ) A.乌裕尔河成为内流河之前,流域降水量等于蒸发量 B.乌裕尔河成为内流河初期,流域降水量大于蒸发量 C.扎龙湿地面积相对稳定后,流域降水量小于蒸发量 D.扎龙湿地面积相对稳定后,水中含盐量也相对稳定 答案 4.D 5.A 6.B 解析 第4题,河流排水受阻后一般会形成堰塞湖,是因为河水不断汇聚增多,同时存在能 够储存大量来水的较深洼地。乌裕尔河排水受阻却形成沼泽湿地,则说明乌裕尔河流域气候 较干旱,降水量较小且蒸发量较大,使得流向下游受阻区的水量有限,A、B错误;若下渗 微弱则有利于水分在地表集聚,水量会不断增多,C错误;乌裕尔河排水受阻形成了面积广 大的湿地,表明该地地势低,地形平坦开阔,无较深洼地,故选D。第5题,乌裕尔河下游 不断淤积,使得中上游来水排水不畅,B正确,不合题意;嫩江是干流,淤积量更大,河床 抬高更快,其河床淤积、抬高是乌裕尔河下游排水受阻的原因之一,D正确,不合题意;嫩 江自北向南流,在地转偏向力的作用下不断侵蚀右岸,逐渐西移,使得乌裕尔河排水受阻, C正确,不合题意;若乌裕尔河流域上游工农业用水量大,则中上游来水量会减小,不会出 现下游排水受阻问题,A错误,符合题意,故选A。第6题,根据水平衡原理,乌裕尔河成 为内流河之前为外流河,降水量等于蒸发量加径流量,故降水量大于蒸发量,A错误;乌裕 尔河成为内流河初期,湿地面积不断扩大,说明流域内水平衡大致处于盈余状态,即降水量 大于蒸发量,B正确;扎龙湿地面积相对稳定后,说明流域内水量大致处于收支平衡状态, 即降水量等于蒸发量,C错误;扎龙湿地面积相对稳定后,河水不断将盐分带入封闭的水体 中,沼泽湿地水体盐度不断升高,D错误。 课时精练 (2023·福建莆田模拟)多年冻土分为两层,上层为夏季融化、冬季冻结的活动层,下层为多年冻结层。受全球气候变化和人类活动的影响,多年冻土层发生局部融化,地表土层塌陷, 积水后形成的湖塘称为热喀斯特湖(图1)。图2示意长江源北麓河盆地某热喀斯特湖6月份 水深与降水变化情况。据此完成1~3题。 1.6月6日开始降水导致湖塘水位迅速升高,但6月20日的降水并未引起湖塘水位增加是 因为( ) A.降水持续时间较长 B.湖塘蓄满产流外泄 C.暖季升温蒸发旺盛 D.植被生长耗水增多 2.研究发现该区域近几十年来少数湖塘消失,推测其变化过程是( ) A.人口增加—农牧业用水多—湖水枯竭 B.暖季降水—水土流失严重—湖床淤塞 C.水体蓄热—多年冻土融穿—湖水下泄 D.城市发展—平整建设用地—湖盆填充 3.热喀斯特湖季节性扩张与退缩过程对湖岸带环境的影响是( ) A.增加地表比热容,减慢冻土融化 B.空气湿度增加,昼夜温差减小 C.水分周期性补给,植被更加繁茂 D.改变土壤特性,加剧土地沙化 答案 1.B 2.C 3.D 解析 第1题,据图2可知,湖塘水位自6月6日开始增加,到6月14日后水位保持稳定, 因此可判断14日后湖塘已经蓄满水,降水汇入后外泄导致水位不再增加,B正确。第2题, 据材料可知,该地位于长江源即青藏高原。热喀斯特湖形成后,水体向下方冻土提供热量, 融穿冻土层,湖水下泄导致水量减少直至消失,C正确;青藏高原人口稀少,经济落后,农 牧业用水量较少,城市建设占地较少,A、D错误;该盆地周围地势起伏不大,且降水量较 少,水土流失对湖床影响较小,B错误。第3题,湖水季节性扩张与退缩导致湖岸土壤反复 冻融,土壤特性发生变化,土地荒漠化加剧,植被减少,D正确,C错误;湖泊季节性扩张 与退缩会使冻土反复冻融,空气湿度和昼夜温差也会出现季节性变化,A、B错误。 (2024·广东深圳模拟)土壤饱和导水率是反映径流入渗和水分渗漏快慢的重要参数,主要 与土壤疏松度密切相关。下图示意我国某城市不同绿地类型表层土壤饱和导水率状况。完成4~6题。 4.樱花园土壤饱和导水率低主要是因为这里( ) A.土壤密度小 B.植物根系发达 C.地表践踏频繁 D.土壤有机质含量高 5.仅考虑土壤饱和导水率影响,玉兰林相对于樱花园( ) A.径流量较大 B.蒸发量较小 C.地下径流慢 D.地表径流慢 6.为了缓解城市内涝,可在城市绿化建设中( ) A.提高樟树的种植比例 B.增加樱花观赏的道路 C.将玉兰林改造为草地 D.增加仿真草地的数量 答案 4.C 5.D 6.A 解析 第4题,结合图文材料和所学知识,土壤密度小,说明土质相对疏松,利于水体在土 壤中运移,土壤饱和导水率应较大,A错误;植物根系发达有利于疏松土壤,增加水在土壤 中的运移通道,土壤饱和导水率应较大,B错误;樱花园属于近距离观赏性绿地,地表受人 为踩踏较多,土壤变得紧实,不利于水体在土壤中运移,导致土壤饱和导水率较小,C正确; 土壤有机质含量高有利于改善土壤结构(增加土壤的团聚能力,利于团粒结构的形成),增加 土壤的孔隙度,有利于提高土壤饱和导水率,D错误。第5题,从图中可以看出,玉兰林的 土壤饱和导水率比樱花园大,说明与樱花园相比,玉兰林雨水的入渗率高,地下径流量大、 流速快,地表径流量小、流速慢,C错误、D正确;土壤饱和导水率主要影响地表径流与地 下径流的分配,对径流总量影响不大,A错误;玉兰林土壤饱和导水率高,说明其涵养水源 的能力强,有利于蒸发作用的增强,蒸发量较大,B错误。第6题,从图中数据可以得出, 樟树林的土壤饱和导水率较高,城市绿化建设中,提高其比例,可使地下径流增多,减少地 表径流,有利于缓解城市内涝,A正确;增加樱花园观赏道路,会提高硬化地面比例,减少 下渗,加剧内涝,B错误;将玉兰林改造成草地,会导致土壤饱和导水率下降,不利于地表 水下渗,会加剧内涝,C错误;仿真草地主要是由塑料制作而成,透水性差,下渗减少,不 利于缓解城市内涝,D错误。(2023·山东济南模拟)在大尺度流域易形成复杂的水汽自循环。若流域两端海拔高程差比 较大,在温差和气压差作用下,会驱动大气从低海拔向高海拔流动,实际效果与“烟囱效 应”类似,一定程度上会对水汽产生影响。下图为干旱、半干旱区大高程差流域水循环模型。 据此完成7~9题。 7.“烟囱效应”直接加强了( ) A.地表蒸发 B.大气降水 C.水汽输送 D.地表径流 8.随着流域地表植被的增加,中下游地区地表反而呈现干裂化现象。对此解释合理的是( ) A.中下游地区水分因蒸腾迁移而失衡 B.上游地区地下水蒸散量大于补水量 C.流域内植被恢复增大了蒸腾水汽量 D.“烟囱效应”将上游水分输送至下游 9.要缓解局部干裂缺水症状,中下游地区适宜( ) A.降低植被覆盖率 B.进行生态调水、补水 C.增加人工降雨量 D.降低流域两端高差 答案 7.C 8.A 9.B 解析 第7题,“烟囱效应”会驱动大气从低海拔向高海拔流动,而大气的流动会挟带一定 的水汽,所以“烟囱效应”直接加强了水汽输送作用,C正确。第8题,“烟囱效应”会导 致大气挟带水汽从低海拔地区向高海拔地区流动,而中下游地区海拔较低,植被蒸腾的水汽 向高海拔地区流动会导致本地区水汽减少,从而导致地表水分缺乏而出现干裂化现象,A正 确;水汽向较高海拔的上游地区输送,上游水汽的补给量会增加,且上游地下水埋藏相对较 深,地下水蒸散量相对较小,对中下游地表干裂化现象影响小,B错误;流域内植被恢复增 大了蒸腾水汽量,会在一定程度上导致气候变湿润,降水增多,地表不应出现干裂化现象, C错误;“烟囱效应”会导致大气挟带水汽从低海拔地区向高海拔地区流动,D错误。第9题,降低植被覆盖率会导致气候失衡,生态恶化,A错误;为回补中下游地区的缺水问题, 应设法增加水源补给,进行生态调水、补水,B正确;人工降雨只能解决短时缺水问题,对 中长期缺水问题影响很小,C错误;降低流域两端高差工程量大,且会破坏地表生态环境, D错误。 下图为“我国西北内陆地区某城市局部微规划示意图”。图中砂层和砾石层由上部砂层 和下部砂石层组成。该地区一次降水过程中,土层含水量一般未达到饱和。入渗率是指一次 降水过程中从地表渗入土层的水量占本次降水总量的百分比。据此完成10~12题。 10.图示区域实际蒸发量差异显著,实际蒸发量大小的排序正确的是( ) A.坡地>浅凹绿地>停车场 B.浅凹绿地>坡地>停车场 C.浅凹绿地>停车场>坡地 D.停车场>浅凹绿地>坡地 11.若其他条件相同,下列关于图中坡地入渗率的叙述,正确的是( ) A.降水强度越大,入渗率越大 B.降水时间越长,入渗率越大 C.土壤湿度越大,入渗率越大 D.土壤黏度越大,入渗率越大 12.下列关于该城市微规划的叙述,正确的是( ) A.布置浅凹绿地主要是为了绿化城市环境 B.布置浅凹绿地主要是为了减少水土流失 C.砂层和砾石层对下渗雨水净化作用明显 D.土层和砂层对下渗雨水净化作用较明显 答案 10.B 11.B 12.D 解析 第10题,图示区域实际蒸发量差异显著,实际蒸发量大小与土壤入渗率有关,绿地 的入渗率最高,可蒸发水分充足。坡地其次,停车场是水泥地,入渗率最低,可蒸发水分最 少。所以实际蒸发量是浅凹绿地>坡地>停车场, 选B。第11题,若其他条件相同,图中 坡地入渗率状况是降水强度越大,径流快,入渗率越小,A错;降水时间越长,入渗率越大, B正确;土壤湿度越大,入渗率越小,C错;土壤黏度越大,水不易下渗,入渗率越小,D 错。第12题,该城市微规划布置浅凹绿地主要是为了增加下渗,减少城市内涝,A错;城 市地表硬化,水土流失问题少,B错;砾石层对下渗雨水净化作用差,C错;土层和砂层对下渗雨水净化作用较明显,D正确。 13.阅读图文材料,完成下列要求。(18分) 月牙泉位于我国甘肃省敦煌市城南、祁连山西段北麓党河洪积扇上,因其形状酷似一弯 新月而得名,月牙泉四周被高大的鸣沙山环绕,千百年来山泉共处,沙水共生,干旱却不枯 竭。直到1960年前,月牙泉都没有大的变化,但20世纪70年代开始,随着敦煌市人口增 加,特别是党河上游水库的修建,月牙泉水位急剧下降,2000年后,当地政府采取多种措 施对其进行救治。下面两图分别为月牙泉位置示意图(图1)及其景观图(图2)。 (1)据图1描述月牙泉的形成过程。(4分) (2)从补给角度解释月牙泉干旱而不枯竭的原因。(4分) (3)说出20世纪70年代前后月牙泉的入湖水量与蒸发量、下渗量的数据关系的变化。(4分) (4)列举当地政府为保护月牙泉可能采取的措施。(6分) 答案 (1)古党河流经洪积扇,由于泥沙淤积,风沙掩埋,导致河流改道,其中一段残余河 道由于河床低于地下水位而积水,形成月牙泉。 (2)该地区为温带大陆性气候,降水较少、气候干旱;月牙泉以地下水补给为主,党河洪积 扇地下水丰富,而且地下水补给比较稳定,所以月牙泉干旱而不枯竭。 (3)20世纪70年代前,月牙泉湖区的入湖水量等于蒸发量加下渗量;70年代后,月牙泉湖区 的入湖水量小于蒸发量加下渗量。 (4)回灌地下水补给月牙泉;修建水渠,从其他地区向湖区引水;植树种草,涵养水源;调 整农业结构,提高灌溉技术,节约用水。